所屬科目:技檢◆測量-工程測量-甲級
1. 檢測地層沉陷之變化量,宜定期、定點實施 (A)位置測量 (B)溫度測量 (C)水準測量 (D)方向測量。
2. 攝影測量作業中,相對方位判定是處理哪兩個坐標系統間之關係? (A)像片坐標系統與模型坐標 系統 (B)儀器坐標系統與像片坐標系統 (C)儀器坐標系統與物空間坐標系統 (D)模型坐標系統與物空間坐標系統。
3. 地球曲率差之大小與距離 (A)之平方成正比 (B)成正比 (C)成反比 (D)之平方成反比。
4. 在一張平坦地區之垂直航空像片,攝影機焦距 f 為 15cm,像片比例尺為五千分之一,則距地面 之航高 h 為 (A)1500m (B)3000m (C)750m (D)4500m。
5. 緩和曲線之 A 端與直線相接,B 端與一單曲線相接,則 A 端之曲線半徑為 (A)零 (B)與單曲線之 半徑相同 (C)隨緩和曲線之線形而定 (D)無限大。
6. 天文年曆記錄之星體位置,係以地心為中心,而天文觀測時係在地球表面,所以觀測較近之星 體,須加何項改正? (A)傾斜改正 (B)曲率改正 (C)角半徑改正 (D)視差改正。
7. GPS 衛星定位測量,「對流層延遲誤差」通常分類為與下列何者有關的誤差? (A)GPS 衛星 (B)訊 號傳播 (C)地質 (D)接收儀。
8. 依「都市計畫樁測定及管理辦法」,以 N 表導線點數,精密導線測量之水平角閉合差不得超過 (A)10" √N(B)20"√N (C)15"√N (D)5" √N。
9. 下列何種行為對生態環境會造成較大的衝擊? (A)設立自然保護區 (B)引進外來物種 (C)種植原生 樹木 (D)設立國家公園。
10. 為了節能與降低電費的需求,應該如何正確選用家電產品? (A)選用能效分級數字較高的產品, 效率較高,5 級的比 1 級的電器產品更省電 (B)優先選用取得節能標章的產品 (C)選用高功率的產 品效率較高 (D)設備沒有壞,還是堪用,繼續用,不會增加支出。
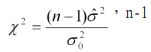
11. 假設某一變形監測網,某單位一直使用甲廠牌經緯儀進行監測,其測角變方為 20 秒 2,因故欲 改採乙廠牌經緯儀進行監測。為檢驗此兩種廠牌經緯儀的測角精度是否有顯著差別?按相同操 作規範由乙廠牌經緯儀觀測 25 測回,得測角中誤差為 4.3 秒,請計算統計測試所需之統計量 ( 為自由度、 為已知變方、 代為樣本變方)為 (A)25.9 (B)22.2 (C)23.1 (D)21.2。
12. 下列何者不為 GPS 衛星信號之訊號分量? (A)衛星影像 (B)載波 (C)測距碼 (D)導航訊息。
13. 假設苗栗火燄山於某一夜晚崩塌,土石覆蓋縣道,現因救災須於當晚快速測繪崩塌地區之三維 地形,請問下列何種測量方法較適合此任務? (A)航空攝影測量 (B)地面光達 (C)水準測量 (D)eGPS。
14. 在三角測量中,三角形內角不能太小,因為 (A)對點不易準確 (B)影響圖形強弱因數 (C)會增加讀 數時間 (D)計算困難。
15. 下列何種方式沒有辦法降低洗衣機之使用水量,所以不建議採用? (A)選擇有自動調節水量的洗 衣機 (B)選擇快洗行程 (C)使用低水位清洗 (D)兩、三件衣服也丟洗衣機洗。
16. 計畫樁之編號係依何種原則辦理? (A)測角方便 (B)測角順序 (C)用途不同 (D)量距方便。
17. 受雇者因承辦業務而知悉營業秘密,在離職後對於該營業秘密的處理方式,下列敘述何者正 確? (A)自離職日起 3 年後便不再負有保障營業秘密之責 (B)離職後仍不得洩漏該營業秘密 (C)聘 雇關係解除後便不再負有保障營業秘密之責 (D)僅能自用而不得販售獲取利益。
18. 依職業安全衛生法規定,事業單位勞動場所發生死亡職業災害時,雇主應於多少小時內通報勞 動檢查機構? (A)8 (B)24 (C)48 (D)12。
19. 由數位影像之行列坐標計算像片坐標之過程中,不必用到 (A)影像總行數與總列數 (B)影像解析度 (C)像主點位置 (D)焦距。
20. 天文觀測時,若視高度為 29°49' 40",折光差改正為 1' 43",視差改正為 8",則真高度為 (A)29°51' 15" (B)29°51' 31" (C)29°47' 49" (D)29°48' 05"。
21. 一對稱豎曲線,長度為 160m,前切線(下坡)之坡度-2%,後切線(上坡)之坡度為+1%,兩切線 交點處之高程為 280.00m,則此交點上面之曲線高為 (A)280.10m (B)280.30m (C)280.60m (D)280.20m。
22. 如下圖所示測得四邊形之 8 個角,圖形平差中之獨立條件數是
(A)6 (B)4 (C)2 (D)8。
23. 依「都市計畫樁測定及管理辦法」,都市計畫樁測量所採用之坐標系統為 (A)六度分帶橫梅氏投 影坐標 (B)二度分帶橫梅氏投影坐標 (C)三度分帶橫梅氏投影坐標 (D)地籍坐標。
24. 有流產病史之孕婦,宜避免相關作業,下列何者為非? (A)避免重體力勞動的職務 (B)避免提舉 3 公斤重物的職務 (C)避免砷或鉛的暴露 (D)避免每班站立 7 小時以上之作業。
25. 使用經緯儀觀測水平角時,用正倒鏡觀測不能消除 (A)視準軸誤差 (B)垂直軸誤差 (C)水平軸誤差 (D)望遠鏡之偏心誤差。
26. 假設欲進行中油儲油槽本體之變形監測,請問下列何種測量方法或儀器較不適合此任務? (A)近 景攝影測量 (B)電子水準儀 (C)全測站經緯儀 (D)地面光達。
27. 大雄擔任公司部門主管,代表公司向公務機關投標,為使公司順利取得標案,可以向公務機關 的採購人員為以下何種行為? (A)為社交禮俗需要,贈送價值昂貴的名牌手錶作為見面禮 (B)為與 公務機關間有良好互動,招待至有女陪侍場所飲宴 (C)為避免報價錯誤,要求提供底價作為參考 (D)為了解招標文件內容,提出招標文件疑義並請說明。
28. 天球上黃道與赤道之夾角約為 (A)45°00' (B)20°30' (C)23°27' (D)35°27'。
29. 甲公司嚴格保密之最新配方產品大賣,下列何者侵害甲公司之營業秘密? (A)甲公司授權乙公司 使用其配方 (B)甲公司與乙公司協議共有配方 (C)甲公司之 B 員工擅自將配方盜賣給乙公司 (D)鑑 定人 A 因司法審理而知悉配方。
30. GPS 衛星軌道相當高,約為 (A)42,000 公里 (B)20,000 公里 (C)12,000 公里 (D)32,000 公里。
31. 下列何者屬於主動式感測器? (A)光達(LIDAR) (B)沿徑掃瞄儀(Along-Track Scanner) (C)底片式攝 影機 (D)數位式攝影機。
32. 小吳是公司的專用司機,為了能夠隨時用車,經過公司同意,每晚都將公司的車開回家,然 而,他發現反正每天上班路線,都要經過女兒學校,就順便載女兒上學,請問可以嗎? (A)可 以,要資源須有效使用 (B)可以,只要不被公司發現即可 (C)不可以,這是公司的車不能私用 (D) 可以,反正順路。
33. 依「都市計畫樁測定及管理辦法」,檢測都市計畫樁與其鄰近之道路中心樁或界樁間之距離, 與原成果比較,其誤差在多少以內者視為無誤? (A)1/1000 (B)1/2000 (C)1/4000 (D)1/3000。
34. 某丘陵地,面積 200m2,其中最高點高程為 41.93m,最低點為 30.00m。當施工基面為 31.93m 時,其填、挖土方量平衡。今若將該地區設計高程定為 40m 時,其土方數應為 (A)過剩 386m3 (B) 不足 2386m3 (C)不足 1614m3 (D)不足 2000m3。
35. 以 R 表地球之平均半徑,L 表距平均海平面高程 h 處所測得之距離,則基線測量中之平均海平 面歸化改正公式為 (A)(B)(C) (D) 。
36. 水準測量觀測記錄如下表,單位為 m,已知 C 點高程為 45.000m,則 A 點高程為
(A)44.680m (B)44.660m (C)44.700m (D)44.720m。
37. 精密水準測量時,應使前後視距離相等,但此一作法亦無法消除 (A)視準軸之傾斜差 (B)地球曲率 差 (C)儀器及標尺之下陷誤差 (D)折光差。
38. 每一個 GPS 衛星所發射的 L-band 的電磁波敘述,下列何者正確? (A)L2 上調制 C/A 碼及 P 碼 (B)L1 上僅調制 P 碼 (C)一種人為的干擾波,以加大誤差 (D)為一種載波。
39. 觀測下列何種星體時,必須作角半徑改正? (A)牛郎星 (B)北極星 (C)織女星 (D)太陽。
40. 設視準軸未與橫軸垂直,而有 i 角之誤差,如觀測目標之垂直角為 h,則上述誤差影響水平方向 之誤差為 z 時,則 (A)z=i cos h (B)z=i cot h (C)z=i tan h (D)z=i sec h。
41. GPS 定位時,以單獨一個觀測站接收訊號而得定位結果,不可稱為 (A)相對定位 (B)單點定位 (C) 絕對定位 (D)導航定位。
42. 勞工若面臨長期工作負荷壓力及工作疲勞累積,沒有獲得適當休息及充足睡眠,便可能影響體 能及精神狀態,甚而較易促發下列何種疾病? (A)多發性神經病變 (B)腦心血管疾病 (C)皮膚癌 (D) 肺水腫。
43. 根據觀測所得,潮汐與月之位置相互間有一定之關係,以下各點何者久已為人所公認? (A)高潮 時逐日前移 (B)一日間恆有一次高潮及一次低潮 (C)潮位在春分及秋分最大,夏至最小 (D)新月及 望月時潮位最低。
44. 家裡有過期的藥品,請問這些藥品要如何處理? (A)繼續服用 (B)送給相同疾病的朋友 (C)交由藥 局回收 (D)倒入馬桶沖掉。
45. 依勞工職業災害保險及保護法規定,職業災害保險之保險效力,自何時開始起算,至離職當日 停止? (A)到職當日 (B)勞雇雙方合意之日 (C)通知當日 (D)雇主訂定當日。
46. 垂直照片所涵蓋之地面面積,係與攝影機之焦距 (A)平方成正比 (B)成反比 (C)平方成反比 (D)成正 比。
47. 已知 A、B 兩點之 XY 坐標如下:A(3762.464m,1739.812m),B(4106.732m,1804.964m),C 在 AB 直線上,實量得 =227.643m,由上述資料得到 C 點之 X(橫)坐標是 (A)3990.224m (B)3982.468m (C)3986.137m (D)3974.123m。
48. 四邊形 ABCD 之坐標分別為 A(0,0)、B(-100,200)、C(200,400)、D(100,-100),單位為公尺。此 四邊形之面積為 (A)20,000m2 (B)10,000m2 (C)70,000m2 (D)140,000m2。
49. 有關台灣能源發展所面臨的挑戰,下列選項何者是錯誤的? (A)化石能源所占比例高,溫室氣體 減量壓力大 (B)能源密集度較先進國家仍有改善空間 (C)進口能源依存度高,能源安全易受國際影 響 (D)自產能源充足,不需仰賴進口。
50. 下列 GPS 誤差中,何者之性質不宜視為系統誤差? (A)軌道誤差 (B)衛星時鐘誤差 (C)多路徑效應 (D)大氣折射誤差。
51. 電鍋剩飯持續保溫至隔天再食用,或剩飯先放冰箱冷藏,隔天用微波爐加熱,就加熱及節能觀 點來評比,下列何者是對的? (A)兩者一樣 (B)持續保溫較省電 (C)優先選電鍋保溫方式,因為馬 上就可以吃 (D)微波爐再加熱比較省電又方便。
52. 一四邊形三角網如下圖示,若 ABCD 四點皆設置儀器作對向觀測,但 BD 間有障礙,無法作對 向觀測,此時之獨立圖形條件數是
(A)1 (B)4 (C)3 (D)2。
53. 使用經緯儀延長一直線,為消除儀器誤差,通常採用 (A)二次複測法 (B)單次複測法 (C)二次縱轉 法 (D)一次縱轉法。
54. 從事廢棄物清除、處理業務者,應向直轄市、縣(市)主管機關或中央主管機關委託之機關取 得何種文件後,始得受託清除、處理廢棄物業務? (A)運輸車輛駕駛證明 (B)公民營廢棄物清除處 理機構許可文件 (C)運輸車輛購買證明 (D)公司財務證明。
55. 高速公路旁常見有農田違法焚燒稻草,除易產生濃煙影響行車安全外,也會產生下列何種空氣 污染物對人體健康造成不良的作用? (A)沼氣 (B)二氧化碳(CO2 ) (C)懸浮微粒 (D)臭氧(O3 )。
56. 下列何者不是 GPS「即時動態測量」(Real Time Kinematic,RTK)之特點? (A)內業計算時間 較長 (B)產量大 (C)作業效率高 (D)可達公分級之精度。
57. 依「都市計畫樁測定及管理辦法」,控制測量應檢測已知控制點,至少應有 (A)四點 (B)二點 (C) 三點 (D)視情況而定。
58. 依「都市計畫樁測定及管理辦法」規定,精密導線點的樁位符號為 (A)○ (B)◎ (C)☉ (D)♁。
59. 就三角網圖形強弱因數值而言,一等三角測量與其他等級三角測量相比,其數值應 (A)相等 (B)較 小 (C)視圖形形狀而定 (D)較大。
60. 赤經是由春分點起沿天球赤道 (A)向西量 (B)向北量 (C)向東量 (D)向南量。
61. 如下圖,已知 Ea=100.000m、Na=300.000m、Eb=180.000m、Nb=330.000m,觀測 =60.000m、 =70.000m,下列敘述哪些正確?
(A)∠BAP=54°15'57" (B)Np=266.773m (C)=123°37'35" (D)=69°26'38"。
62. 有關導線測量,下列敘述哪些正確? (A)自由導線之自由度通常為 3 (B)附和導線之自由度通常為3 (C)導線網之自由度通常為 3 (D)閉合導線之自由度通常為 3。
63. 如下圖所示,一附和導線 AB123CD,其中 A、B、C、D 點坐標為已知,下列敘述哪些正確?
(A)必須觀測 4 段水平距 (B)通常點 3 坐標誤差最大 (C)必須觀測 4 個水平角 (D)可先進行折角閉合 差改正,之後再進行縱距及橫距閉合差改正。
64. 從工程實務而言,工程測量人員可以從 1/1000 地形圖上獲取下列哪些有用的測繪數據或資訊? (A)點位坐標 (B)建物樓層數 (C)土方量 (D)屬性資料。
65. 測量時通常要求測角及測距精度必須配合,下列敘述哪些正確? (A)測角誤差 20"時,測距精度 要求為 1/20000 (B)測距精度為 1/50000 時,測角誤差要求為 4" (C)測角誤差 10"時,對於 80m 距 離之測距誤差要求為 0.004m (D)測角誤差要求為 3"時,對於一測回中誤差為 6"之儀器必須觀測 2 測回。
66. WMS(Web Map Service)、WFS(Web Feature Service)皆是由開放式地理資訊系統協會(Open Geospatial Consortium ,簡稱 OGC)所提出的網路服務標準,有關前二者,下列敘述哪些正確? (A)WFS 提供能夠在各種不同的作業平台上,直接透過標準網路呼叫取得地理圖徵的方法 (B)WMS 所提供的地圖可以進行編輯 (C)WMS 所提供檔案為電腦螢幕上的影像檔,如 PNG、GIF、JPEG (D)WFS 傳遞資料的標準格式為 GML(地理標記語言)。
67. 如下圖所示,在 A、B 二已知點上實施角度前方交會測定 P 點時,則下列敘述哪些正確?
(A)P 點將會在 N 軸方向具有較大的定位誤差 (B)若增加角度觀測量∠BPA 有助於改善其誤差情形 (C) 若增加距離觀測量 或 有助於改善其誤差情形 (D)P 點將會在 E 軸方向具有較大的定位誤 差。
68. 如下圖,已知 Ea=100.000m、Na=300.000m、Eb=160.000m、Nb=330.000m,觀測 ∠BAP=50°30'40"、 =60.000m,下列敘述哪些正確?
(A)Np=270.961m (B)=118°56'46" (C)Ep=152.550m (D)=63°26'06"。
69. 某一煙囪竣工時的垂直高度為 5 公尺,使用五年後,使用全測站儀器測得煙囪頂端投射至底部 水平地面的投影點位置,得知投影點偏離原煙囪中心之量值為向東 0.3 公尺,向南 0.4 公尺,則 下列敘述哪些正確? (A)煙囪頂端的投影水平位移為 0.5 公尺 (B)假設煙囪柱的傾斜量與時間呈線 性關係,則其每年約傾斜 1 度 8 分 32 秒 (C)煙囪柱與水平地面的夾角約為 80 度 50 分 03 秒 (D)煙 囪柱傾斜的方位角約為 143 度 07 分 48 秒。
70. 我國的國土資訊系統資料建置,分為核心圖資以及基礎圖資,下列哪些為核心圖資? (A)數值地 形模型 (B)地形圖 (C)都市計畫圖 (D)公共管線資料。
71. 如下圖,一般數學常採圖一所示之 XY 坐標系,並知△X=S cosθ、△Y=S sinθ、 、;若改為測量常用如圖二中之 NE 坐標系與方位角 α,則以上四個方程式各應改為
(A) (B)△E=S tanα (C)α=tan1(∣△E∣/∣△N∣)+180∘ (D)△N=S cosα。
72. 有關 GIS 環域分析的操作,下列敘述哪些正確? (A)需要給定分析距離 (B)點圖層跟線圖層間不能 進行環域分析 (C)至少需要兩個圖層 (D)點圖層跟面圖層間不能進行環域分析。
73. 如下圖所示,A,B,C 為已知點,且假設無誤差,於 P 點觀測距離 以計算 P 點坐標,因幾何構形不良,P 點定位誤差大。現擬增加測角以提升 P 點定位精度。假設測角與測距精度相當,則下列敘述哪些正確?
(A)未增加測角時,P 點定位誤差在 E 方向較大 (B)增加 α 角的 觀測繪有效的提升定位精度 (C)增加 β 角的觀測繪有效的提升定位精度 (D)未增加測角時,P 點 定位誤差在 N 方向較大。
74. 設 h 為幾何高,H 為正高,N 為大地起伏,下列敘述哪些正確? (A)地勢越高如山區,則通常 N 值越大 (B)三者的關係為 H=h-N (C)三者的關係為 h=H-N (D)在高於海平面之陸地區域的 N 值通常為負。
75. 有關緩和曲線配置之一般規定,下列敘述哪些正確? (A)緩和曲線設置於複曲線中間處,其外超 高應與後圓弧部分相同 (B)緩和曲線與直線之銜接處,其外超高與圓弧部分相同 (C)緩和曲線設置 於反向曲線中間者,將緩和曲線全長各半分別設於前後之圓弧部分 (D)緩和曲線設置於單曲線之 兩端者,將緩和曲線全長之半設於圓弧部分,另一半設於直線部分。
76. 與導線測量有關之敘述,下列敘述哪些錯誤? (A)導線愈長愈有利於點位誤差橢圓之精度,因此 導線愈長愈好 (B)相鄰導線點間之夾角不得大於 120°或小於 30° (C)導線網平差以逐級平差為最佳 之選擇 (D)導線網中,各節點間之導線點數不應過多。
77. 要建立一個小區域平面三角網,至少必須確定下列哪些必要參數及一般或得方法? (A)一個已知 基線長,可以引用已知坐標點 (B)一個確定的方位,可以實施天文觀測獲得 (C)一個已知高程值, 可以引用已知水準點 (D)起算坐標,可以引用一個已知坐標點。
78. 有關緩和曲線,下列敘述哪些正確? (A)克羅梭曲線為曲度隨曲線長成反比的一種曲線 (B)曲線半 徑 R、曲線長 L 和曲線參數 A 為克羅梭曲線之三要素,三者之關係為 RL=A2 (C)設置於直線與單 曲線或兩不同曲度之單曲線之間 (D)緩和曲線之使用在公路常用三次拋物線(cubic parabola),在 鐵路常用克羅梭曲線(clothoid curve)。
79. 有關天文觀測應用於測量及空間資訊,下列敘述哪些正確? (A)不可經由全站儀之望遠鏡直接觀 測太陽,以免傷害眼睛或全站儀之零件,通常觀測太陽時望遠鏡之鏡頭前必須加一個濾鏡 (B)採 用全站儀觀測太陽時,以十字絲直接對準太陽中心時觀測之精度較低,而以十字絲之縱絲切太 陽之邊緣時觀測精度較高 (C)天文觀測之計算時,通常採用之天球是以太陽為中心,其半徑為無 限大 (D)通常夜間觀測北極星之方位角精度高於日間觀測太陽之精度。
80. 如下圖所示,一附合導線,已知方位角 =148°00'05"、 =42°00'20",觀測水平角 ∠AB1=79°00'15"、∠B1C=268°00'20"、∠1CD=87°00'25",並已經完成折角閉合差改正,下列敘 述哪些正確?
(A)∠B1C=268°00'05" (B)∠1CD=87°00'05" (C)=135°00'10" (D)=47°00'05"。