所屬科目:技檢◆冷作-丙級
1. 捲板機捲圓發生扭曲現象,其原因為 (A)材料切割邊緣粗糙 (B)滾筒大小選擇不當 (C)材料與滾筒不垂直 (D)材料裁剪錯誤
2. 使用鑽床鑽孔時所選用的轉速應根據 (A)鑽頭大小及工件材質 (B)鋼板鑽孔後的變形量 (C)加工順序的難易 (D)鋼板厚度
3. 依勞動基準法規定,主管機關或檢查機構於接獲勞工申訴事業單位違反本法及其他勞工法令規定後,應為必要之調查,並於幾日內將處理情形,以書面通知勞工? (A)30 (B)14 (C)60 (D)20
4. 腕道症候群常發生於下列何種作業? (A)潛水作業 (B)第一種壓力容器作業 (C)堆高機作業 (D)電腦鍵盤作業。
5. 鎯頭之手柄以何材料最合適 (A)黃銅 (B)橡膠 (C)金屬 (D)木材
6. 下列何者非屬使用合梯,應符合之規定? (A)梯腳與地面之角度應在 80 度以上 (B)合梯材質不得有顯著之損傷、腐蝕等 (C)有安全之防滑梯面 (D)合梯應具有堅固之構造
7. 欲切斷圓管可利用 (A)圓規二支 (B)直邊紙樣板 (C)鋼尺畫切割線 (D)水平尺。
8. 違反環境保護法律或自治條例之行政法上義務,經處分機關處停工、停業處分或處新臺幣五千元以上罰鍰者,應接受下列何種講習? (A)消防講習 (B)衛生講習 (C)環境講習 (D)道路交通安全講習。
9. 在幾何圖之術語中所謂鈍角是表示 (A)大於 90° (B)等於 90° (C)小於 90° (D)二角相等。
10. 根據消除對婦女一切形式歧視公約(CEDAW)之間接歧視意涵,下列何者錯誤? (A)察覺間接歧視的 一個方法,是善加利用性別統計與性別分析 (B)一項法律、政策、方案或措施表面上對男性和女性無任何歧視,但實際上卻產生歧視女性的效果 (C)不論在任何情況下,只要以相同方式對待男性和女性,就能避免間接歧視之產生 (D)如果未正視歧視之結構和歷史模式,及忽略男女權力關係之不平等,可能使現有不平等狀況更為惡化。
11. 5/8"或 M16 螺絲接合之主構件上螺孔徑常為 (A)孔徑較螺絲徑大 1.0~1.5mm (B)孔徑較螺絲徑大 0.1 ~0.5mm (C)孔徑較螺絲徑大 3mm (D)孔徑與螺絲徑相同。
12. 根據性別平等工作法,下列何者非屬職場性騷擾? (A)公司員工執行職務時,遭到同事以「女人就是沒大腦」性別歧視用語加以辱罵,該員工感覺其人格尊嚴受損 (B)公司員工下班後搭乘捷運,在捷運上遭到其他乘客偷拍 (C)公司員工執行職務時,客戶對其講黃色笑話,該員工感覺被冒犯 (D)雇主對求職者要求交往,作為僱用與否之交換條件。
13. 基於節能減碳的目標,下列何種光源發光效率最低,不鼓勵使用? (A)LED 燈泡 (B)省電燈泡 (C)螢光 燈管 (D)白熾燈泡。
14. 銲接前預熱措施之主要目的是 (A)清除水分 (B)避免龜裂 (C)燒除雜物 (D)加強銲藥附著力。
15. 任意一直角欲求三等分,其每一等分應該是 (A)90° (B)60° (C)45° (D)30°
16. 下列材料之鑽削速度快慢排列,何者正確 (A)不銹鋼>鑄鐵>軟鋼>黃銅 (B)鑄鐵>不銹鋼>黃銅>軟鋼 (C)黃銅>軟鋼>鑄鐵>不銹鋼 (D)軟鋼>鑄鐵>黃銅>不銹鋼
17. 直尺除用於量測長度外,亦常用於 (A)量角度 (B)檢驗垂直度 (C)檢驗平面度 (D)測節徑
18. 溫室氣體易造成全球氣候變遷的影響,下列何者不屬於溫室氣體? (A)二氧化碳(CO2) (B)甲烷 (CH4) (C)氫氟碳化物(HFCs) (D)氧氣(O2)
19. E4327 銲條適於那一種姿勢銲接 (A)立銲 (B)平銲 (C)仰銲 (D)全姿
20. 虎鉗大小規格是以 (A)鉗口的寬度 (B)承受力的大小決定 (C)虎鉗的長度 (D)虎鉗的重量
21. 手提砂輪機可使用於 (A)鎯頭木柄之整修 (B)工件變形之矯正 (C)工件之開孔 (D)工件毛邊之磨平
22. 如圖斜度切割 12mm 厚鋼板時,S 是多少 mm (A)8mm (B)10mm (C)14mm (D)12mm
23. 施銲時,銲縫間隙愈大,則銲件收縮 (A)愈大 (B)不會收縮 (C)無關 (D)愈小
24. 鋼板之落樣符號表示鋼板 (A)組合 (B)割斜 (C)切斷 (D)彎曲
25. 下列何者非為銲縫間隙應考慮的原因 (A)施工場地 (B)開槽角度 (C)銲接方法 (D)板厚
26. 研磨鑽頭時應使鑽頭中心線與砂輪面成 (A)75° (B)59° (C)65° (D)50°
27. 已知正視圖為試選出其右側視圖(第一角法) (A)(B)(C)(D)
28. 下列何種物質或物品,受毒性及關注化學物質管理法之管制? (A)製造醫藥之靈丹 (B)製造農藥之蓋普丹 (C)含汞之日光燈 (D)使用青石綿製造石綿瓦
29. 受雇者因承辦業務而知悉營業秘密,在離職後對於該營業秘密的處理方式,下列敘述何者正確? (A) 離職後仍不得洩漏該營業秘密 (B)聘雇關係解除後便不再負有保障營業秘密之責 (C)僅能自用而不得 販售獲取利益 (D)自離職日起 3 年後便不再負有保障營業秘密之責
30. 鑽孔前之劃線作業標準程序是 (A)劃中心點、孔圓、中心點及孔四周打密集心沖 (B)劃中心點、輔助圓 (C)劃中心點、孔圓、輔助圓及孔圓四周四點與孔中心打心沖 (D)劃圓孔、中心點、打心沖
31. 落樣工作應注意構件在鋼板上之排列,以下何者為非 (A)切割線切須平齊 (B)構件組合較多之面為落樣面 (C)平直角鋼在腹面落樣 (D)大構件應先落樣
32. 劃線後用中心沖沖打記號主要目的是 (A)防止線模糊不清之依據 (B)美觀 (C)作硬度試驗 (D)作銲接依據
33. 二手菸中包含多種危害人體的化學物質,甚至多種物質有致癌性,會危害到下列何者的健康? (A)全民皆有影響 (B)只有 65 歲以上之民眾有影響 (C)只對 12 歲以下孩童有影響 (D)只對孕婦比較有影響
34. 游標卡尺主尺之每條刻度為 (A)0.5mm (B)0.05mm (C)0.1mm (D)1.0mm
35. 下列何者非為銲接時工作物容易產生變形的原因 (A)銲接後局部強度加大而變形 (B)銲接後其組織變化引起變形 (C)銲機的廠牌 (D)銲接處溫度與附近之溫度差極大產生變形
36. 潮濕銲條使用後 (A)銲道上有氣孔 (B)無法引弧 (C)噴濺物較多 (D)會有凝結水在銲道邊出現
37. 大樓電梯為了節能及生活便利需求,可設定部分控制功能,下列何者是錯誤或不正確的做法? (A)電梯設定隔樓層停靠,減少頻繁啟動 (B)縮短每次開門/關門的時間 (C)加感應開關,無人時自動關閉電燈與通風扇 (D)電梯馬達加裝變頻控制
38. 圓錐面展開可採用 (A)放射線及平行線 (B)三角形及多角形 (C)平行線及三角形 (D)放射線及三角形
39. 一般機械加工最常用之修磨工具為 (A)砂布 (B)磨棒 (C)磨石 (D)砂輪
40. 依水污染防治法,事業排放廢(污)水於地面水體者,應符合下列哪一標準之規定? (A)水體分類水質標準 (B)下水水質標準 (C)放流水標準 (D)土壤處理標準
41. L 之意義是表示________代號。(A)角鐵 (B)鋼板 (C)槽鋼 (D)鋼管
42. 以火焰切割鋼板時,選擇正確火口應依 (A)節省時間 (B)鋼板厚度 (C)鋼板材質 (D)火焰調整容易
43. 下列何項為銲接變形後之整形方法 (A)冷卻法 (B)加熱整形法 (C)逆應變法 (D)抑制法
44. 通常冷作工件要求表面粗糙度的符號是 (A)(B)(C)(D)
45. 正六角形二鄰邊夾角為 (A)90° (B)60° (C)30° (D)120°
46. 吊索承受力量 F (A)577kg (B)775kg (C)707kg (D)1000kg
47. 我國中央勞工行政主管機關為下列何者? (A)內政部 (B)勞動部 (C)勞工保險局 (D)經濟部
48. 正五邊形之內角和為 (A)360° (B)540° (C)460° (D)390°
49. 可量取尺寸又可作劃線用之量具為 (A)游標高度規 (B)分厘卡 (C)內外卡尺 (D)角度規
50. 切割火焰之燃料為 (A)煤氣與空氣 (B)乙炔與氧氣 (C)乙炔與空氣 (D)乙炔與煤氣
51. 有關商標權的下列敘述何者錯誤? (A)要取得商標權一定要申請商標註冊 (B)在夜市買的仿冒品,品質不好,上網拍賣,不會構成侵權 (C)商標註冊後,3 年不使用,會被廢止商標權 (D)商標註冊後可取得 10 年商標權
52. 低碳鋼的含碳量為________%以下(A)0.55 (B)0.45 (C)0.35 (D)0.25
53. 電銲前之預熱措施,其目的為 (A)防止龜裂 (B)增加銲接強度 (C)增加銲接速度 (D)防止銲蝕
54. 瓦斯切割工作如發現逆火時,應先採取何種措施 (A)馬上把橡皮管切斷 (B)關氧氣瓶閥 (C)關乙炔瓶閥 (D)關閉高壓氧氣閥
55. 以硬化為目的之熱處理稱為 (A)退火 (B)正常化 (C)回火 (D)淬火
56. 氧乙炔切割火焰之溫度最高約為 (A)2500℃ (B)3500℃ (C)4500℃ (D)1500℃
57. 1 英呎等於 (A)6 英吋 (B)8 英吋 (C)10 英吋 (D)12 英吋
58. 2mm 以下之薄板欲鑽較大之孔徑時,可將鑽頭磨成_______以穩定鑽削。 (A)(B)(C)(D)
59. 鋸切時不直的原因 (A)鋸齒裝置反方向 (B)鋸條生銹 (C)鋸條磨鈍 (D)鋸條緊度不夠。
60. 通常在工作圖上之尺寸皆以_______為單位。(A)公丈 (B)公尺 (C)公厘 (D)公寸
61. 以直角尺所畫之垂直線是否正確與_________有關。(A)角尺之厚薄 (B)角尺本體之精度 (C)角尺之大小 (D)角尺之材質
62. 四邊形,其對邊長相等,對角線相等,對角線互成直角則此四邊形為 (A)長方形 (B)梯形 (C)正方形 (D)不等邊四邊形
63. 銲接時所謂母材係指 (A)銲條 (B)熔融金屬 (C)銲接手把 (D)被銲接物。
64. 梅花扳手有 (A)15 (B)8 (C)4 (D)12 個。
65. 政府為推廣節能設備而補助民眾汰換老舊設備,下列何者的節電效益最佳? (A)將桌上檯燈光源由螢 光燈換為 LED 燈 (B)優先淘汰 10 年以上的老舊冷氣機為能源效率標示分級中之一級冷氣機 (C)汰換 電風扇,改裝設能源效率標示分級為一級的冷氣機 (D)因為經費有限,選擇便宜的產品比較重要。
66. 氧氣是無色無味的氣體其特性為 (A)自燃 (B)自燃及助燃 (C)助燃 (D)惰性。
67. 乙炔閥打開通常約 1/2 轉為宜,但氧氣瓶閥則以 (A)3/4 轉 (B)全開為宜 (C)1/2 轉 (D)1/4 轉。
68. 劃線針所使用的材料是 (A)軟鋼 (B)高張力鋼 (C)鑄鋼 (D)工具鋼。
69. 下列所述剪床功能主要部份何者為誤 (A)齒輪蓋 (B)下刀刃 (C)壓板 (D)上刀刃。
70. 一般鋼結構用之高張力鋼板含碳量為 (A)0.21~0.25% (B)0.15~0.20% (C)0.26~0.30% (D)0.31%以上。
71. 放射線式之展開法可做 (A)球體形狀 (B)錐體形狀 (C)柱體形狀 (D)不規則形狀之圖形。
72. 有尺寸寫成 100其意義 (A)無意義 (B)0 為其尺寸上限,-0.5為下限 (C) -0.5為上限 (D)±0.5 為其尺寸上下限。
73. 使用#1 切割之火口銳利標準火焰長為 (A)310~350mm (B)200~250mm (C)260~300mm (D)100~150mm
74. 電銲條 E4311「43」是表示抗張強度 (A)43 磅/平方吋 (B)43 磅/平方公分 (C)43 公斤/平方吋 (D)43 公斤/平方公厘
75. 電銲機在額定電流下超過額定使用率時,對電銲機 (A)減少故障 (B)會損害 (C)無影響 (D)會延長銲機壽命
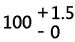
76. 圖面上標註表示其極限公差為 (A)1.0 (B)1.5 (C)0.5 (D)0 公厘。
77. 氧氣與乙炔不可混合使用以免危險,其管線顏色區分 (A)氧氣為黑色,乙炔為綠色 (B)乙炔為紅色, 氧氣為綠色 (C)氧氣為紅色,乙炔為綠色 (D)氧氣為綠色,乙炔為黑色
78. 一般軟鋼用之麻花鑽頭的鑽唇角度是 (A)105° (B)90° (C)118° (D)135°
79. 銲接時銲條前端與熔池的距離通稱 (A)銲接長度 (B)銲接間隙 (C)滲透深度 (D)電弧長度
80. 火焰切割操作時,若火口不潔,所切割的面會產生 (A)過熱 (B)凹焰 (C)熔渣 (D)表面過熔