所屬科目:技檢◆電力電子-乙級
1. 下圖所示暫存器,其輸入端之三角符號表示
(A)時脈 (B)負緣觸發 (C)同步 (D)正緣觸發。
2. 身為公司員工必須維護公司利益,下列何者是正確的工作態度或行為? (A)將公司逾期的產品更改標籤 (B)施工時以省時、省料為獲利首要考量,不顧品質 (C)工作時謹守本分,以積極態度解決問題 (D)服務時首先考慮公司的利益,然後再考量顧客權益。
3. 下圖所示電路,若時間常數 RC<,則 之波形為何?
(A)(B)(C)(D) 。
4. 4k byte 的記憶體,其資料線為 8 位元,則其位址線(address line)須多少? (A)12 (B)8 (C)9 (D)11。
5. 有效而正確的節能從選購產品開始,就一般而言,下列的因素中,何者是選購電氣設備的最優先 考量項目? (A)安全第一,一定要通過安規檢驗合格 (B)用電量消耗電功率是多少瓦攸關電費支 出,用電量小的優先 (C)名人或演藝明星推薦,應該口碑較好 (D)採購價格比較,便宜優先。
6. 關於單相全橋式二極體整流器之直流鏈電容的敘述,下列何者正確? (A)直流鏈電容愈大,濾波效 果愈佳 (B)直流鏈電容愈大,濾波效果差 (C)直流鏈電容愈大,瞬時充電電流小 (D)直流鏈電容愈 大,單相輸入功因愈高。
7. 為解決環境保護與經濟發展的衝突與矛盾,1992 年聯合國環境發展大會(UN Conference on Environment and Development, UNCED)制定通過: (A)京都議定書 (B)日內瓦公約 (C)蒙特婁公約 (D)21 世紀議程。
8. 下圖所示之符號,為何種元件之圖示符號?
(A)UJT (B)MOSFET (C)SCR (D)PUT。
9. 單相橋式全波全控整流器(Full converter)共用幾個 SCR? (A)8 個 (B)2 個 (C)6 個 (D)4 個。
10. 加於 SCR 閘極之觸發脈波信號愈寬,則閘、陰極接合面所生之熱量將 (A)增加 (B)無關於觸發信號 時間 (C)不變 (D)減少。
11. 下列哪一種功率轉換器不可用以驅動交流感應電動機 (A)變流器(Inverter) (B)換頻器 (Cycloconverter) (C)交流電壓調整器(AC Voltage Regulator) (D)截波器(Chopper)。
12. 某電動機滿載時轉速為 2000rpm,無載時轉速為 2150rpm,則其速度調整率為多少? (A)7.5% (B)5% (C)10% (D)12.5%。
13. 下圖所示電路中, 為多少?
(A)8V (B)-8V (C)4V (D)-4V。
14. kW-H(千瓦-小時)表示何種單位? (A)功率 (B)電壓 (C)電度(電能) (D)電流。
15. 以下哪一種電容的高頻特性最好? (A)鉭質電容 (B)紙質電容 (C)電解電容 (D)陶瓷電容。
16. 下列何者之工資日數得列入計算平均工資? (A)請事假期間 (B)放無薪假期間 (C)職災醫療期間 (D)發 生計算事由之前 6 個月。
17. 下圖所示電路中,集極的飽和電流近似值為多少?
(A)4.0mA (B)5mA (C)50mA (D)10mA。
18. 波形因數之定義為 (A)平均值/最大值 (B)有效值/平均值 (C)最大值/有效值 (D)平均值/有效值。
19. 下圖所示電路其放大倍數為
(A)(B)(C) (D) 。
20. 關於雙接面電晶體(BJT)做開關元件,下列敘述何者正確? (A)可用基極電流控制此電晶體之導通 與截止狀態 (B)電晶體之導通接面不會儲存電荷 (C)做開關使用,其工作於作用區 (D)當此電晶體為 飽和區操作時,其集-射極之電壓非常高。
21. 可將八進制轉換為二進制的電路為 (A)解碼器 (B)編碼器 (C)多工器 (D)解多工器。
22. 下圖所示電路中,其電流 I 為多少安培?
(A)12A (B)14A (C)22A (D)24A。
23. 下列何種生活小習慣的改變可減少細懸浮微粒排放,共同為改善空氣品質盡一份心力? (A) 使用吸塵器 (B)每天喝 500cc 的水 (C)少吃燒烤食物 (D)養成運動習慣。
24. 對溫室氣體管制之「無悔政策」係指: (A)各類溫室氣體均有相同之減量邊際成本 (B)減輕溫室氣 體效應之同時,仍可獲致社會效益 (C)持續研究溫室氣體對全球氣候變遷之科學證據 (D)全世界各 國同時進行溫室氣體減量。
25. 測量電感值可使用下列何種儀器? (A)電壓表 (B)LCR 表 (C)示波器 (D)電源供應器。
26. 下圖為何種元件之圖示符號?
(A)GTO (B)TRIAC (C)UJT (D)SCR。
27. 50Hz 之交流三相感應電動機,若接於 60Hz 電源時,其無載轉速 (A)不一定 (B)較慢 (C)較快 (D)相 等。
28. 下圖中 Q1 及 Q2 觸發延遲角均為 90°,則輸出電壓之有效值為
(A)0.5Vrms (B)1.414Vrms (C)Vrms (D)0.707Vrms。
29. 降壓型直流截波器(buck dc chopper)在電流為連續模式下操作,關於電感電流的敘述,下列何者 正確? (A)電感電流之峰對峰值與切換頻率無關 (B)電感電流之峰對峰值與電感值成反比 (C)電感電 流之峰對峰值與電感值成正比 (D)電感電流之峰對峰值與切換頻率成正比。
30. 電力電子電路中,使用緩衝電路的優點,下列何者有誤? (A)保護功率元件 (B)減少開關元件的功 率損失 (C)增快開關切換速度 (D)增加開關使用壽命。
31. 下列何者為 RS-232C 界面之示意圖? (A)(B)(C)(D) 。
32. 示波器可用來直接測量 (A)波形振幅及頻率 (B)電流振幅及電阻 (C)電壓、電流及電阻 (D)電壓振幅及 電阻。
33. 下列對射極隨耦器的描述,何者為非? (A)輸出電阻很大 (B)可做阻抗匹配 (C)電壓增益≒1 (D)輸入 電阻很大。
34. 下列何者不會直接影響 CPU 的執行速度? (A)電腦內部頻率 (B)記憶體容量 (C)資料匯流排的位元數 (D)CPU 之位元數。
35. 下列何種方式有助於節省洗衣機的用水量? (A)購買洗衣機時選購有省水標章的洗衣機,可有效節 約用水 (B)無需將衣物適當分類 (C)洗濯衣物時盡量選擇高水位才洗的乾淨 (D)洗衣機洗滌的衣物盡 量裝滿,一次洗完。
36. 比壓器的英文代號是 (A)CT (B)KW (C)AT (D)PT。
37. 勞工為節省時間,在未斷電情況下清理機臺,易發生危害為何? (A)缺氧 (B)墜落 (C)捲夾感電 (D)崩 塌。
38. 電阻為 3Ω,電感抗為 8Ω 及電容抗為 4Ω,則其串聯總阻抗之絕對值為 (A)15Ω (B)5Ω (C)11Ω (D)7Ω。
39. 檢視邏輯電路之時序,最適合採用 (A)示波器 (B)邏輯探棒 (C)邏輯分析儀 (D)電力分析儀。
40. 電磁相容性測試,基本上驗證產品量產上市前是否符合電磁相容規範,下列測試何者非為電磁相 容性測試項目? (A)輻射發射(radiated emission,RE)測試 (B)產品可靠度(products reliability)測試 (C)傳導耐受性(conducted susceptibility,CS)測試 (D)傳導發射(conducted emission,CE)測試。
41. 宜樺家中養了一隻貓,由於最近生病,獸醫師建議要有人一直陪牠,這樣會恢復快一點,因為上 班家裡都沒人,所以準備帶牠到辦公室一起上班,請問下列何者最適當? (A)可以,只要我放在寵 物箱,不要影響工作即可 (B)不可以,建議送至專門機構照護,以免影響工作 (C)可以,雖然貓會 發出聲音,大小便有異味,只要處理好不影響工作即可 (D)可以,同事們都答應也不反對。
42. 根據性騷擾防治法,有關性騷擾之責任與罰則,下列何者錯誤? (A)對他人為性騷擾者,如果沒有 造成他人財產上之損失,就無需負擔金錢賠償之責任 (B)對他人為權勢性騷擾以外之性騷擾者,由 直轄市、縣(市)主管機關處 1 萬元以上 10 萬元以下罰鍰 (C)對於因教育、訓練、醫療、公務、 業務、求職,受自己監督、照護之人,利用權勢或機會為性騷擾者,得加重科處罰鍰至二分之一 (D)意圖性騷擾,乘人不及抗拒而為親吻、擁抱或觸摸其臀部、胸部或其他身體隱私處之行為者, 處 2 年以下有期徒刑、拘役或科或併科 10 萬元以下罰金。
43. 將輸入波形截去一部份而輸出其餘部份者是為 (A)截波器 (B)積分器 (C)箝位器 (D)微分器。
44. 可藉由下列何者改善河川水質且兼具提供動植物良好棲地環境? (A)運動公園 (B)滯洪池 (C)人工溼 地 (D)水庫。
45. 小吳是公司的專用司機,為了能夠隨時用車,經過公司同意,每晚都將公司的車開回家,然而, 他發現反正每天上班路線,都要經過女兒學校,就順便載女兒上學,請問可以嗎? (A)可以,要資 源須有效使用 (B)可以,只要不被公司發現即可 (C)可以,反正順路 (D)不可以,這是公司的車不能 私用。
46. 若有兩級電壓放大器,其增益 A V皆為-10,若輸入信號 vi (t)=sin ωt mV,則輸出信號為 (A)-0.01sin ωt V (B)0.1sin ωt V (C)0.01sin ωt V (D)-0.1sin ωt V。
47. 下列何者非為防範有害物食入之方法? (A)有害物與食物隔離 (B)不在工作場所進食或飲水 (C)穿工 作服 (D)常洗手、漱口。
48. (0.1μF+120Ω,250V)係下列何種元件的規格? (A)緩震器(snubber) (B)變阻器 (C)EMI 過濾器 (D)突 波吸收器。
49. 兩電阻器各為 1Ω 及 2Ω,其額定功率均為 0.5W,串聯使用時,最大能加多少電壓而不超過額定 功率損耗? (A)0.5V (B)3V (C)1V (D)1.5V。
50. 在做同步計數器的電路設計時,主要使用何種圖表? (A)列表法 (B)卡諾圖 (C)激勵表 (D)真值表。
51. 下圖所示的矽控整流器(SCR)之閘極接有 100Ω 之電阻,如 G、K 間正向切入電壓為 0.7V,閘極 電流需 30mA,則 Y、K 間可使 SCR 激發之電壓應為
(A)3V (B)3.4V (C)3.7V (D)3.5V。
52. 偵測電路上發燙元件,使用下列何種方式最適當? (A)紅外線攝影機拍攝 (B)手指頭觸摸 (C)用眼睛 看 (D)以鼻子聞。
53. 關於保險絲的敘述,下列何者不正確? (A)它與負載串聯 (B)它熔點比導線高 (C)其額定電流應高於 最大負載電流 (D)過電流保護功能。
54. 某三相平衡負載在負載端之線電壓為 200V 有效值,其線電流為 10A 有效值,則此三相負載之總 視在功率為 (A)2kVA (B)(C)(D)6kVA。
55. 有 10 歐姆之電感與 10 歐姆之電容並聯,其總電抗為多少歐姆? (A)0Ω (B)20Ω (C)∞Ω (D)10Ω。
56. 如果馬桶有不正常的漏水問題,下列何者處理方式是錯誤的? (A)因為馬桶還能正常使用,所以不 用著急,等到不能用時再報修即可 (B)立刻檢查馬桶水箱零件有無鬆脫,並確認有無漏水 (C)滴幾 滴食用色素到水箱裡,檢查有無有色水流進馬桶,代表可能有漏水 (D)通知水電行或檢修人員來檢 修,徹底根絕漏水問題。
57. 澆花的時間何時較為適當,水分不易蒸發又對植物最好? (A)半夜十二點 (B)清晨或傍晚 (C)正中午 (D)下午時段。
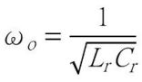
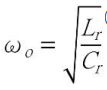
58. 示波器“Level”控制鈕是控制其 (A)觸發準位 (B)振幅 (C)頻率 (D)焦距。
59. 對於化學燒傷傷患的一般處理原則,下列何者正確? (A)立即用大量清水沖洗 (B)使用酸鹼中和 (C) 於燒傷處塗抹油膏、油脂或發酵粉 (D)傷患必須臥下,而且頭、胸部須高於身體其他部位。
60. 下圖所示電路中,A、B 兩端之等效電阻為多少?
(A)4Ω (B)12Ω (C)2Ω (D)6Ω。
61. 下圖所示之具有濾波電容半波整流電路,輸入電源為,ω=2πf,f 表示頻率 (Hz),下列哪些選項正確?
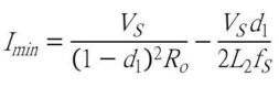
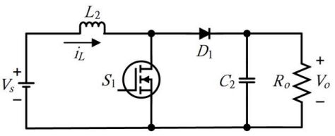
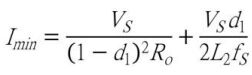
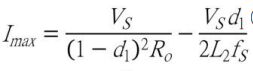
(A)峰對峰值輸出漣波電壓約為 (B)二極體電流為脈波 (C)二極體截 止時輸出電壓為 0V (D)二極體導通時輸出電壓為 。
62. 元件佈線圖中佈線線路之折角應為幾度? (A)60 (B)90 (C)45 (D)135。
63. 下圖所示電路中,若 Q1 與 Q2 相同,下列何者正確?
(A)頻率約為 1.4RC (B)頻率約為 0.72÷(RC) (C)該電路為單穩態多諧振盪器 (D)該電路為無穩態多諧振盪器。
64. 下列哪些是類比/數位轉換器(ADC)常用的設計架構? (A)逐次逼近型暫存器(successive approximation register) (B)並聯比較器(parallel-comparator) (C)雙斜率轉換器(dual-ramp converter) (D)R-2R 梯形(R-2R ladder-shape)。
65. 不適合於需要高起動轉矩的應用場合之直流馬達為 (A)分激馬達 (B)串激馬達 (C)差複激馬達 (D)他激 馬達。
66. 下圖所示單相半波整流電路具有純電阻負載,輸入電源為 110V、60Hz,電阻負載為 5Ω,下列哪 些選項正確?
(A)送至負載之平均功率約為 1210W (B)負載之電壓有效值約 77.8V (C)負載之電壓平 均值約 49.5V (D)二極體 D 峰值逆向電壓為 110V。
67. 下圖所示電路,下列敘述何者正確?
(A)該電路為非反相放大器 (B)該電路可做為積分器 (C)該電路 可做為微分器 (D)電阻器可避免輸出電壓飽和問題。
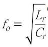
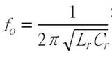
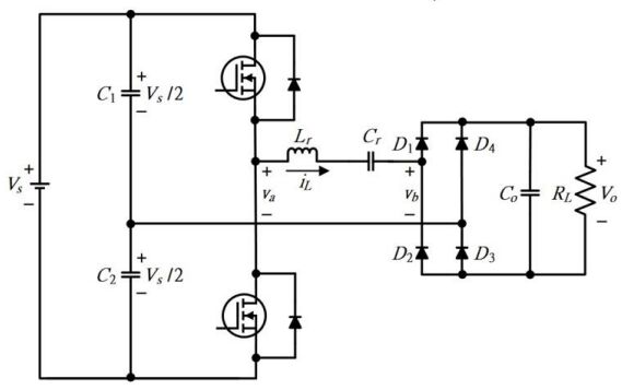
68. 下圖為串聯諧振式直流-直流(dc-dc)轉換器的電路,此電路的諧振頻率及角頻率為
69. 交流負載以相量(phasor)表示 Z∠θ,其負載端電壓 E 與負載電流 I 以有效值表示,下列何者正 確? (A)Q=EIcosθ (B)P=EIsinθ (C)P=EIcosθ (D)Q=EIsinθ。
70. 全波整流器之輸出電壓 ,下列哪些選項正確? (A)平均值為 0V (B)有效值為 (C)有效值為 (D)平均值為 。
71. 下列關於半導體中電流的描述何者正確? (A)半導體內載子若分布不均勻就會產生飄移電流 (B)半 導體內載子因擴散產生的電流叫做飄移電流 (C)飄移電流是半導體中自由電子及電洞被電場加速所 產生 (D)當半導體材料外加電壓時就會產生飄移電流。
72. 關於國家標準,下列敘述何者正確? (A)ANSI 係指美國國家標準 (B)CNS 係指中華民國國家標準 (C)DIN 係指德國國家標準 (D)JIS 係指英國國家標準。
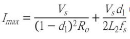
73. 升壓型轉換器如下圖,若為 S1 的切換頻率,d1 為 S1 導通的責任週期,為電感電流峰對峰值。在電感電流連續操作之電感電流最大值及電感電流最小值為
(A)(B) (C)(D) 。
74. 關於軟性切換(soft switching)轉換器的特性,下列哪些選項正確? (A)切換損失高 (B)在零電流時切 換 (C)在零電壓時切換 (D)切換損失極低。
75. 有電路已加入電壓源,判斷其電路的開路及短路,下列何者正確? (A)開路時,流經電路的電流為 零 (B)短路時,端電壓為零 (C)短路時,流經電路電流為零 (D)開路時,端電壓為零。
76. 對於下圖的邏輯電路的描述,下列何者正確?
(A)屬於同步計數器 (B)除 4 的除頻電路 (C)屬於漣波 計數器 (D)除 3 的除頻電路。
77. 兩平行極板夾上介電質所構成之電容器中,其電場強度、儲存的能量和電容值決定於 (A)平行極板 距離 (B)平行極板面積 (C)平行極板形狀 (D)介電材料。
78. 針對電阻器的四個色碼標示,下列哪些敘述是正確的? (A)銀色於於第 4 條誤差位數代表±1% (B) 銀色於第 3 條指數位數代表 10- 2 (C)金色於第 4 條誤差位數代表±5% (D)金色於第 3 條指數位數代 表 10- 1。
79. 下圖為降壓型轉換器,開關元件 S1 的切換頻率為 100kHz,輸入電壓為 12V,輸出電壓 為3V,若電感電流為連續模式操作,則下列哪些選項為正確?
(A)開關元件 S1 的導通責任週期為 0.5 (B)開關元件 S1 的截止狀態時間為 7.5μs (C)開關元件 S1 的導通狀態時間為 2.5μs (D)開關元件 S1 的導通責任週期為 0.25。
80. 一般示波器可直接觀測出下列何者信號? (A)功率值 (B)波形 (C)週期 (D)電壓峰到峰值。