所屬科目:泉勝◆程式設計實習
1.寫出程式不可能的執行結果。(A)11 (B) 17 (C) 15(D)29
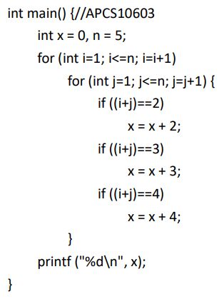
2.寫出程式執行結果。(A)20 (B) 35 (C) 15(D)40
3.寫出程式執行結果。(A)2^3*7^2(B)2^3*7^2*11^3(C)7^2*11^3(D)1
4.寫出程式不可能的執行結果。
(A)153 (B)370 (C) 407(D)408
5.寫出程式不可能的執行結果。
6.寫出程式不可能的執行結果。(A)1634 (B)8208 (C)9474(D)9475
7.程式填空。
(A)5 (B) i (C) 5-i(D)i+1
8.程式填空。
(A)5 (B) i (C) 6-i(D)i+1
9.程式填空。(A)5 (B) i (C)2*i-1(D)i+1
10.程式填空。(A)5 (B) i (C)2*i-1(D)i+1
11.程式填空。
(A)5 (B)6-j (C)2*i-1(D)i+1
12.程式填空。(A)i (B)6-j (C)2*i-1(D)64+i
13.寫出程式執行結果。(A)72 (B)8 (C) 9(D)1
14.寫出程式執行結果。(A)72 (B)5050 (C) 4900(D)100
15.寫出程式執行結果。(A)72 (B)3 (C) 9(D)1
16.寫出程式執行結果。(A)72 (B)3 (C) 3.2(D)1
17.寫出程式執行結果。(A)2 (B)3 (C) 5(D)1
18.寫出程式執行結果。(A)-1 (B)5 (C)-1 5(D)1
19.寫出程式執行結果。(A)1 2 5 10 (B)5 (C)2(D)1
20.寫出程式執行結果。(A)7 (B)5 (C)2(D)1
21.寫出程式執行結果。(A)3 (B)5 (C)2(D)1
22.寫出程式執行結果。
(A)3 (B)5 (C)2(D)4
23.寫出程式執行結果最接近。(A)3 (B)5 (C)2(D)4
24.寫出輸出第 2 個輸出結果最接近以下何值?(A)4.5 (B)2.25 (C)2(D)4
25.寫出程式執行結果最接近。(A)3 (B)5 (C)2(D)9
26.寫出程式執行結果最接近。
(A)3 (B)5 (C)2(D)9
27.寫出程式執行結果。(A)1011 (B)1101 (C)2(D)1
28.寫出程式執行結果。(A)1111 (B)111 (C)21(D)1
29.寫出程式執行結果。(A)144 (B)5 (C)8(D)72
30.寫出程式執行結果。(A)144 (B)75 (C)78(D)72
31.寫出程式執行結果。(A)5 (B)6 (C)7(D)8
32.寫出程式執行結果。(A)10 (B)20 (C)70(D)80
33.寫出程式執行結果。(A)2 (B)3 (C)4(D)5
34.寫出程式執行結果。(A)13300(B)13301(C)13310(D)13311
35.寫出程式執行結果。
(A)13300 (B)11111 (C)13311(D)9999
36.寫出程式執行結果最接近。(A)10 (B)50 (C)60(D)100
37.寫出程式執行結果最接近。(A)10 (B)50 (C)60(D)2
38.寫出程式執行結果最接近。(A)1 (B)5 (C)3.14(D)2
39.寫出程式執行結果最接近。(A)3.14 (B)2.71(C)3(D)2