阿摩線上測驗
登入
首頁
>
技檢◆測量-丙級
> 114年 - 04200 測量 丙級 工作項目 01:基本學能 1-50(2025/10/27 更新)#132618
114年 - 04200 測量 丙級 工作項目 01:基本學能 1-50(2025/10/27 更新)#132618
科目:
技檢◆測量-丙級 |
年份:
114年 |
選擇題數:
50 |
申論題數:
0
試卷資訊
所屬科目:
技檢◆測量-丙級
選擇題 (50)
1. 我國現時土地測量所採用之長度單位為 (A)公尺 (B)市尺 (C)英尺 (D)台尺 。
2. 市場上房屋建築面積一般以坪為單位,一坪等於 (A)3.344 ㎡ (B)3.305 ㎡ (C)36 平方呎 (D)18 平方台尺 。
3. 目前台灣地區使用 TM 二度分帶坐標系統,下列何者不符合此坐標系統之定義? (A)原點為中央經線與赤道交點 (B)中央經線尺度比率為 0.9999 (C)東經 121°為中央經線 (D)原點之 X 坐標為 500,000 公尺 。
4. 長 125m 寬 35m 之長方形土地一塊,面積為若干公頃? (A)0.4375 (B)4.375(C)43.75 (D)44 。
5. 土地面積換算,下列何者錯誤? (A)一公頃等於 10,000 平方公尺 (B)一公畝等於 100 平方公尺 (C)一公頃約等於 2,934 坪 (D)一甲約等於 0.9699 公頃 。
6. 多色地圖中,水稻田使用之顏色一般為 (A)藍色 (B)綠色 (C)紅色 (D)黑色 。
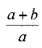
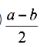
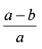
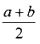
7. 地球參考橢球體之長軸半徑為 a,短軸半徑為 b,則扁率為 (A)
(B)
(C)
(D)
。
8. 測繪 1/500 地形圖,兩點間距離實地為 70 公尺,在圖上長度應為 (A)7 公分(B)10 公分 (C)14 公分 (D)20 公分 。
9. 1/2000 地圖上 10 ㎝之實地長為 (A)2m (B)200m (C)20m (D)2,000m 。
10. 大比例尺開闊地區之細部測量常用之方法為 (A)交會法 (B)縱橫線法 (C)半導線法 (D)光線法 。
11. 測繪 1/500 地圖,測得至某地物點之距離為 40 公尺,縮繪在圖上的距離為(A)2 ㎝ (B)4 ㎝ (C)8 ㎝ (D)20 ㎝ 。
12. 1/2500 圖上距離 16.4mm,地上距離多少? (A)25m (B)16m (C)41m (D)40m 。
13. 若比例尺縮小 1/3,則面積之縮小率為 (A)1/3 (B)1/6 (C)1/9 (D)1/12 。
14. 1/500 地圖圖幅大小為 30 ㎝×40 ㎝,其所涵蓋之面積為 (A)3 公頃 (B)4 公頃(C)12 公頃 (D)5 公頃 。
15. 測量工作主要測量地球表面之 (A)地理、地系 (B)地系、地表 (C)地形、地面(D)地物、地貌 。
16. 測量的三項基本要素為 (A)距離、方向、高程 (B)大小、方向、作用點 (C)角度、大小、距離 (D)方向、作用點、高程 。
17. 面積範圍在多少平方公里以下之測量作業,可視為平面測量?______平方公里以下。 (A)200 (B)300 (C)400 (D)500
18. 測量作業程序為 (A)作業計畫→繪圖→測量→計算 (B)作業計畫→測量→計算→製圖 (C)作業計畫→計算→測量→製圖 (D)作業計畫→製圖→計算→測量 。
19. 若水平角觀測得角度值為零度八分五秒,則手簿應記成為 (A)0°8'5" (B)0°08'5" (C)0°08'05" (D)00°08'05" 。
20. 若容許球面角超在 2 秒以內,則在半徑多少公里的圓面積內進行水平角測量工作時,可以不必考慮地球曲率的誤差? (A)10 公里 (B)20 公里 (C)30 公里 (D)40 公里 。
21. 人造衛星之發射及軌道計算、海洋資源之開發及地球科學之研究與應用、天然資源之探勘及開採、大地水準面之計算等,均需下列何項資料? (A)重力資料 (B)正高資料 (C)磁力資料 (D)潮汐資料 。
22. 玉山主峰三角點,內政部採水準測量施測結果公布高程為 3,951.798 公尺,此為 (A)力高 (B)正常高 (C)正高 (D)橢球高 。
23. 基本測量實施規則中規定,坐標系統採用 (A)TWD67 (B)WGS84 (C)WGS97(D)TWD97 。
24. 基本測量實施規則中規定,坐標系統採用地球原子的長半徑為若干? (A)6,378,130m (B)6,378,137m (C)6,378,157m (D)6,378,160m 。
25. 台灣地區目前所採用的地圖投影為下列何種方法? (A)橫麥卡托 1 度分帶投影 (B)橫麥卡托 2 度分帶投影 (C)橫麥卡托 3 度分帶投影 (D)橫麥卡托 6 度分帶投影 。
26. 台灣地區目前所採用的橫麥卡托地圖投影,中央經線位於何處? (A)東經119 度 (B)東經 120 度 (C)東經 121 度 (D)東經 123 度 。
27. 澎湖、金門地區目前所採用的橫麥卡托地圖投影,中央經線位於何處? (A)東經 119 度 (B)東經 120 度 (C)東經 121 度 (D)東經 123 度 。
28. 台灣地區橫麥卡托 TM2 度分帶地圖投影,橫坐標西移量為多少? (A)200,000 公尺 (B)250,000 公尺 (C)350,000 公尺 (D)500,000 公尺 。
29. 世界橫麥卡托投影(Universal Transverse Mercator,簡稱 UTM),在國內亦稱為 (A)二度 TM 坐標 (B)三度 TM 坐標 (C)六度 TM 坐標 (D)八度 TM 坐標 。
30. 台灣地區現行高程系統採用的基準是下列何項? (A)TWVD2000 (B)TWVD2001 (C)TWVD2002 (D)TWVD2003 。
31. 台灣地區目前高程基準採用下列何處驗潮站之潮汐平均值化算? (A)花蓮港驗潮站 (B)高雄港驗潮站 (C)台中港驗潮站 (D)基隆港驗潮站 。
32. 台灣地區水準點高程,採用下列何種系統? (A)力高系統 (B)正常高系統 (C)正高系統 (D)地形高系統 。
33. (本題刪題)台灣地區之水準原點設立於何處? (A)基隆市海門公園 (B)台中市公園 (C)南投虎子山 (D)高雄市西子灣 。
34. 潮汐之形成主要是由於月球、太陽等天體對地球各處引力不同所引起之週期性海水面升降現象,我國在定義水準原點之參考平均海水面時,需取約多少年之驗潮站紀錄? (A)5 年 (B)9 年 (C)14 年 (D)19 年 。
35. 一個半徑角約為多少? (A)28.6475 度 (B)31.8609 度 (C)57.2957 度 (D)63.6619度 。
36. 已知實地距離為 8 公里,在 5 萬分之一地圖上距離為多少? (A)8 ㎝ (B)10㎝ (C)16 ㎝ (D)40 ㎝ 。
37. 已知甲地到乙地的圖上距離為 10 公分,而兩地的實地距離為 1 公里,則該圖之比例尺為何? (A)1/100 (B)1/1000 (C)1/10000 (D)1/100000 。
38. 一平方公尺等於多少坪? (A)3.3052 (B)3.3025 (C)0.3052 (D)0.3025 。
39. 一甲土地等於多少公頃? (A)1.0310 (B)1.3010 (C)0.9699 (D)0.7686 。
40. 測量作業時,在同一環境下觀測多次,得其各次結果而取平均值,可減少下列何者對平均值之影響? (A)常差 (B)偶然誤差 (C)累積誤差 (D)錯誤 。
41. 測量時,由於儀器改正未妥善或製造上有問題而造成之誤差,稱為 (A)必然誤差 (B)儀器誤差 (C)自然誤差 (D)人為誤差 。
42. 測量時,由於觀測者之習慣所造成之誤差,是為 (A)必然誤差 (B)儀器誤差(C)自然誤差 (D)人為誤差 。
43. 測量時,由於溫度變化、大氣折光及氣候關係等所造成之誤差,是為 (A)必然誤差 (B)儀器誤差 (C)自然誤差 (D)人為誤差 。
44. 評定測量精度時,採用觀測誤差絕對值的平均值,稱之為 (A)平均誤差 (B)或是誤差 (C)標準誤差 (D)相對誤差 。
45. 距離測量時,以同一量測系統重複觀測同一段距離,由其重複觀測計算出之標準偏差與距離平均值的比值,屬於下列何種精度表示方式? (A)絕對精度 (B)相對精度 (C)平均精度 (D)傳播精度 。
46. 一組觀測成果經計算得其標準誤差為±0.85,則其平均誤差為若干? (A)±0.57 (B)±0.68 (C)±1.07 (D)±1.26 。
47. 一組觀測成果經計算得其平均誤差為±0.785,則其標準誤差為若干? (A)±0.529 (B)±0.626 (C)±0.984 (D)±1.164 。
48. 在一般測量取三倍中誤差作為誤差極限,則其機率為? (A)0.50 (B)0.687 (C)0.950 (D)0.997 。
49. 下列圖形為打靶時彈著點位置,其中各同心圓之圓心為靶心,何者為高精密度但卻低準確度? (A)
(B)
(C)
(D)
。
50. 在 1:500 的圖上,量得某兩點間的距離 d=36.7 ㎜,d 的中誤差為 md= ±0.2mm,求該兩點的實地距離 D 及其中誤差 為 (A)18.35m±0.05m (B)18.35m±0.1m (C)18.35m±0.15m (D)18.35m±0.2m 。
申論題 (0)
相關試卷
114年 - 04200 測量 丙級 工作項目 08:測量基本準則 1-31(2025/10/27 更新)#132634
114年 · #132634
114年 - 04200 測量 丙級 工作項目 07:儀器之一般保養與維護 1-36(2025/10/27 更新)#132633
114年 · #132633
114年 - 04200 測量 丙級 工作項目 06:埋石設標 1-20(2025/10/27 更新)#132632
114年 · #132632
114年 - 04200 測量 丙級 工作項目 05:基本繪圖 51-71(2025/10/27 更新)#132631
114年 · #132631
114年 - 04200 測量 丙級 工作項目 05:基本繪圖 1-50(2025/10/27 更新)#132630
114年 · #132630
114年 - 04200 測量 丙級 工作項目 04:角度測量(含光學式、電子式經緯儀) 151-178(2025/10/27 更新)#132629
114年 · #132629
114年 - 04200 測量 丙級 工作項目 04:角度測量(含光學式、電子式經緯儀) 101-150(2025/10/27 更新)#132628
114年 · #132628
114年 - 04200 測量 丙級 工作項目 04:角度測量(含光學式、電子式經緯儀) 51-100(2025/10/27 更新)#132627
114年 · #132627
114年 - 04200 測量 丙級 工作項目 04:角度測量(含光學式、電子式經緯儀) 1-50(2025/10/27 更新)#132626
114年 · #132626
114年 - 04200 測量 丙級 工作項目 03:高程測量 101-162(2025/10/27 更新)#132625
114年 · #132625