阿摩線上測驗
登入
首頁
>
技檢◆測量-丙級
> 114年 - 04200 測量 丙級 工作項目 01:基本學能 51-78(2025/10/27 更新)#132619
114年 - 04200 測量 丙級 工作項目 01:基本學能 51-78(2025/10/27 更新)#132619
科目:
技檢◆測量-丙級 |
年份:
114年 |
選擇題數:
28 |
申論題數:
0
試卷資訊
所屬科目:
技檢◆測量-丙級
選擇題 (28)
51. 測量精度與標準誤差成何種關係? (A)相等 (B)正比 (C)反比 (D)對比 。
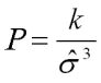
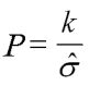
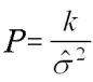
52. 假設以 P 來表示一觀測量的權,而該觀測量的標準誤差為
,則權與標準誤差的關係為? (A)
(B)
(C)
(D)
。
53. 最小自乘法原理係指下列何項意義? (A)觀測值改正數之和應符合最小原則(B)觀測值改正數之和的開方應符合最小原則 (C)觀測值改正數之平方和應符合最小原則 (D)觀測值改正數之平方和的開方應符合最小原則 。
54. 觀測三角形之三內角,結果閉合差為 20 秒,下列改正何者最符合最小自乘法原理? (A)一角不改,二角各改 10 秒 (B)一角改 10 秒,另兩角各改 5秒 (C)各角改 20/3 秒 (D)二角不改,一角改 30 秒 。
55. 60 度的正弦函數值等於多少? (A)1 (B)1/2 (C)
(D)0 。
56. 測量點位之橫坐標的計算公式為下列何式? (A)
(B)
(C)
(D)
。
57. 測量點位之縱坐標的計算公式為下列何式? (A)
(B)
(C)
(D)
。
58. 長 125m 寬 40m 之長方形土地,面積為多少坪? (A)1512.5 (B)1521.5 (C)2512.5 (D)2521.5 。
59. 因應臺灣位於板塊碰撞劇烈地帶之影響,內政部依「大地基準及坐標系統更新維護機制」所公告之基準坐標成果,稱之為 (A)TWD97(2009) (B)TWD97(2010) (C)TWD97(2011) (D)TWD97(2012) 。
60. 1/500 地圖上矩形土地之長為 10 公分,寬為 5 公分,其實地面積相當於幾坪? (A)75.625 (B)375.125 (C)378.125 (D)378.50 。
61. 一圓弧長度等於此圓半徑長度時,此圓弧所對應的圓心角稱為一個半徑角,以ρ"表示之,其值為 (A)206065" (B)202665" (C)206265" (D)206625" 。
62. 測量成果與真值之間的差異程度,稱之為 (A)精密度 (B)精確度 (C)符合度 (D)密合度 。
63. 每顆 GPS 衛星訊號產生的基本頻率是 (A)10.32MHz (B)10.23MHz (C)13.20MHz (D)15.75MHz 。
64. GPS 衛星定位測量中下列何者不屬於衛星傳送資料 (A)導航訊息 (B)載波 (C)天頂距 (D)測距碼 。
65. GPS 衛星定位測量中,L2 觀測量調制了下列何種電碼 (A)C/A 碼 (B)P 碼 (C)C/A 碼及 P 碼 (D)M 碼 。
66. GPS 衛星定位測量中,L1 觀測量調制了下列何種電碼 (A)C/A 碼 (B)P 碼 (C)C/A 碼及 P 碼 (D)M 碼 。
67. GPS 衛星定位系統中,L1 頻率之波長為 (A)18.05cm (B)19.05cm (C)24.45cm(D)29.31cm 。
68. GPS 衛星定位系統中,P碼的波長約為 (A)0.293m (B)2.93m (C)29.3m (D)293m 。
69. GPS 系統之控制部份包括幾個地面監測站 (A)1 (B)2 (C)3 (D)5 。
70. 利用 GPS 衛星定位測量,欲得到三度空間位置,至少需接收幾個衛星 (A)二個 (B)三個 (C)四個 (D)五個 。
71. GPS 衛星距離地表高度約為 (A)1100km (B)11000km (C)2200km (D)20200km 。
72. 下列何種誤差將影響 GPS 的訊號傳送 (A)軌道誤差 (B)接收儀時錶誤差 (C)電離層折射誤差 (D)天線相位誤差 。
73. 常用於外業進行控制測量的 GPS 接收儀為 (A)導航型接收儀 (B)授時型接收儀 (C)大地型接收儀 (D)手機型接收儀 。
74. 茲觀測得到三段高程差結果為:
=15.752m ± 0.005m、
=7.305m ± 0.003m 及
=9.532m ± 0.004m,試問A到D間的高程差之標準誤差為多少? (A)±3.5 ㎜ (B)±4.0 ㎜ (C)±7.1 ㎜ (D)±7.7 ㎜ 。
75. 某圓形建築物的半徑R=3m±0.02m,則其圓周長中誤差為 (A)±0.03πm (B)±0.04πm (C)±0.05πm (D)±0.06πm 。
76. GPS 顆衛星分佈於 6 個軌道面上,衛星軌道相對地球赤道面的傾角為多少度? (A)50 (B)55 (C)60 (D)65 。
77. GPS 衛星將其基本頻率調成 L1 及 L2 兩種載波,試問 L2 載波為原基本頻率的幾倍? (A)110 (B)120 (C)130 (D)140 。
78. GPS 衛星定位系統中 C/A 碼的波長約為 (A)0.293m (B)2.93m (C)29.3m (D)293m 。
申論題 (0)
相關試卷
114年 - 04200 測量 丙級 工作項目 08:測量基本準則 1-31(2025/10/27 更新)#132634
114年 · #132634
114年 - 04200 測量 丙級 工作項目 07:儀器之一般保養與維護 1-36(2025/10/27 更新)#132633
114年 · #132633
114年 - 04200 測量 丙級 工作項目 06:埋石設標 1-20(2025/10/27 更新)#132632
114年 · #132632
114年 - 04200 測量 丙級 工作項目 05:基本繪圖 51-71(2025/10/27 更新)#132631
114年 · #132631
114年 - 04200 測量 丙級 工作項目 05:基本繪圖 1-50(2025/10/27 更新)#132630
114年 · #132630
114年 - 04200 測量 丙級 工作項目 04:角度測量(含光學式、電子式經緯儀) 151-178(2025/10/27 更新)#132629
114年 · #132629
114年 - 04200 測量 丙級 工作項目 04:角度測量(含光學式、電子式經緯儀) 101-150(2025/10/27 更新)#132628
114年 · #132628
114年 - 04200 測量 丙級 工作項目 04:角度測量(含光學式、電子式經緯儀) 51-100(2025/10/27 更新)#132627
114年 · #132627
114年 - 04200 測量 丙級 工作項目 04:角度測量(含光學式、電子式經緯儀) 1-50(2025/10/27 更新)#132626
114年 · #132626
114年 - 04200 測量 丙級 工作項目 03:高程測量 101-162(2025/10/27 更新)#132625
114年 · #132625