阿摩線上測驗
登入
首頁
>
技檢◆測量-丙級
> 114年 - 04200 測量 丙級 工作項目 02:距離測量 1-50(2025/10/27 更新)#132620
114年 - 04200 測量 丙級 工作項目 02:距離測量 1-50(2025/10/27 更新)#132620
科目:
技檢◆測量-丙級 |
年份:
114年 |
選擇題數:
50 |
申論題數:
0
試卷資訊
所屬科目:
技檢◆測量-丙級
選擇題 (50)
1. 在緩傾斜地區之 AB 兩點,距離約 2 公里,欲迅速而確實的測量其長度,宜採用 (A)鋼卷尺量法 (B)銦鋼尺量法 (C)間接距離計算法 (D)電子測距儀測量法 。
2. 在傾斜地區實施直立尺式視距測量,必須使標尺 (A)直立 (B)垂直望遠鏡 (C)稍向前傾 (D)稍向後傾 。
3. 在距離測量時,小誤差出現之頻率較大誤差為 (A)高 (B)低 (C)相等 (D)不一定 。
4. 使用鋼卷尺量距時,彈簧秤之作用為 (A)消除鋼卷尺彎曲 (B)使用適度張力(C)減少鋼卷尺偏斜 (D)避免鋼卷尺伸縮 。
5. 規定量距之精度為 1/2000,則測量 100 公尺長之標準誤差不得超過 (A)5 公分 (B)10 公分 (C)15 公分 (D)20 公分 。
6. 視距測量水平距離精度之最佳值為 (A)1/100 (B)1/300 (C)1/1000 (D)1/3000 。
7. 一鋼卷尺之刻劃長為 30.00 公尺,但經檢定該鋼卷尺之實長為 29.99 公尺,以該鋼卷尺量得一距離為 150.00 公尺,則其修正後之距離應為? (A)149.90 公尺 (B)149.95 公尺 (C)150.05 公尺 (D)150.10 公尺 。
8. 下列量距方法中,何者精度最高? (A)視距測量 (B)視角測量 (C)布卷尺量距(D)電子測距法 。
9. 某角度分別由技術相當之甲、乙、丙三人觀測,甲觀測一次為 47°37'40",乙觀測九次其平均值為 47°37'30",丙觀測四次其平均值為 47°37'22",則此角度最或是值為 (A)47°37'20" (B)47°37'00" (C)47°37'28" (D)47°37'30" 。
10. 量距之目的在求得兩點間之 (A)斜距 (B)垂距 (C)平距 (D)等距 。
11. 橫距桿長為 b,應用經緯儀測得兩端夾角為α,則水平距離 D 為 (A)
(B)
(C)
(D)
。
12. 橫距桿長通常為 (A)50 公分 (B)2 公尺 (C)5 公尺 (D)10 公尺 。
13. 視角測量測距之誤差與距離 (A)平方成正比 (B)平方成反比 (C)平方根成正比(D)平方根成反比 。
14. 所使用之量距卷尺較標準尺長度為長,則量距時之距離誤差稱為 (A)錯誤(B)偶然誤差 (C)系統誤差 (D)中誤差 。
15. 後尺手讀數為 25 公尺,前尺手讀數為 0.456 公尺,則此段距離長為 (A)25.456 公尺 (B)24.456 公尺 (C)24.544 公尺 (D)25.544 公尺 。
16. 量距時因讀數或記簿錯誤而導致之誤差乃屬 (A)系統誤差 (B)偶然誤差 (C)人為誤差 (D)相消誤差 。
17. 所謂兩點間之距離,一般係指兩點間之 (A)垂直距離 (B)水平距離 (C)傾斜距離 (D)直線距離 。
18. 在等傾斜地面直接量得兩點間之斜距為 100m,已知兩點間之高程差為2.00m,則此兩點間之平距為 (A)99.99m (B)99.98m (C)99.96m (D)99.95m 。
19. 距離測量時,後尺手之讀數為 30m,前尺手之讀數為 0.23m,則此段之距離為 (A)30.23m (B)29.77m (C)29.87m (D)29.83m 。
20. 用 30 公尺鋼卷尺測得二點之距離為 210.00 公尺,事後與標準尺比較,該尺長為 30.01 公尺,則此距離之真實長度為 (A)209.93 公尺 (B)209.97 公尺(C)210.07 公尺 (D)210.03 公尺 。
21. 電子測距儀最適用於 (A)高程測量 (B)距離測量 (C)斷面測量 (D)方位角測量 。
22. 電子測距儀上所測得之距離,在未化算前為兩點間之 (A)水平距離 (B)垂直距離 (C)傾斜距離 (D)海水面距離 。
23. 設標尺之夾距為 L,K 為乘常數,C 為加常數,當望遠鏡視準線呈水平時,則平坦地視距測量之距離公式為 (A)D=K.L+C (B)D=K-L-C (C)
(D)D=K-L.C 。
24. 一鋼卷尺之刻劃長為 30 公尺,但經檢定該鋼卷尺之實長為 30.01 公尺,以該鋼卷尺量得一距離為 150.00 公尺,則其修正後之距離應為 (A)149.90 公尺 (B)149.95 公尺 (C)150.05 公尺 (D)150.10 公尺 。
25. 下列何種測距儀器適合於室內或約 100m 以內短距離之量測,觀測方便迅速? (A)全測站經緯儀 (B)微波測距儀 (C)手持式雷射測距儀 (D)GPS 衛星接收儀 。
26. 量得兩點之傾斜距離為 S,傾斜角為α,則該兩點間之水平距離為 (A)S.sinα (B)S.cosα (C)S.tanα (D)S.cotα 。
27. 精度較高之量距尺為 (A)測繩 (B)布卷尺 (C)塑膠卷尺 (D)銦鋼尺 。
28. 視距測量之視距乘常數一般為 (A)0 (B)50 (C)100 (D)200 。
29. 一公尺等於 (A)10 公分 (B)12 公分 (C)50 公分 (D)100 公分 。
30. 高精度之直接距離測量,使用 (A)尼龍卷尺 (B)測繩 (C)銦鋼尺 (D)竹尺 。
31. 精密量距時,測尺端連彈簧秤之作用,可以保持該測尺與檢定長度時之______ 相等。(A)溫度 (B)張力 (C)傾斜 (D)偏倚
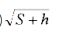
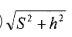
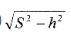
32. 測得 A、B 兩點之高程差為 h,兩點之傾斜距離為 S,則兩點間之水平距離為(A)
(B)
(C)
(D)
。
33. 距離測量之精度,用電子測距儀較尼龍卷尺為 (A)高 (B)低 (C)相等 (D)或高或低 。
34. 用電子測距儀測距時,在其發射器與反射器之間,須為 (A)無聲 (B)無光 (C)無阻擋 (D)無風 。
35. 在平坦地區用經緯儀作視距測量,望遠鏡視線水平讀得標尺夾距為 1.12 公尺,則儀器與標尺間之距離為 (A)11.2 公尺 (B)112 公尺 (C)110 公尺 (D)11 公尺 。
36. 依據二個已知點的平面坐標值,即可計算得此兩點間的 (A)傾斜距離 (B)垂直距離 (C)水平距離 (D)圓弧長度 。
37. 一台尺約等於 (A)100.00 公分 (B)33.00 公分 (C)30.48 公分 (D)30.30 公分 。
38. 卷尺長度不合標準時,對量距總長產生的誤差是 (A)相消誤差 (B)系統誤差(C)閉合誤差 (D)偶然誤差 。
39. 一英哩約等於 (A)1.509 公里 (B)1.609 公里 (C)1.709 公里 (D)1.809 公里 。
40. 紅外線測距儀所發射的光波是 (A)可見光 (B)不可見光 (C)低頻電磁波 (D)極低頻電磁波 。
41. 兩點間距離為 1,000 公尺,其量距誤差為 100 公分,則量距精度為 (A)1/100 (B)1/1000 (C)1/5000 (D)1/10000 。
42. 三邊測量是測量三角形的 (A)內角 (B)三邊之方位角 (C)三邊之邊長 (D)三邊之天頂距 。
43. 台制一甲土地的面積等於 (A)2,934 坪 (B)3,025 坪 (C)3,000 坪 (D)2,735 坪 。
44. 標桿上漆有紅白相間油漆,每段長為 (A)5 公分 (B)10 公分 (C)20 公分 (D)25公分 。
45. 在 1/500 比例尺地圖上之兩點長度為 10 公分,則相應實地距離為 (A)20 公尺 (B)30 公尺 (C)50 公尺 (D)100 公尺 。
46. 在平坦地量距時,卷尺未保持水平,對量距總長所產生之總誤差為 (A)相消誤差 (B)偶然誤差 (C)系統誤差 (D)自然誤差 。
47. 卷尺量距時所用之拉力不同,其所產生之誤差為 (A)人為誤差 (B)偶然誤差(C)系統誤差 (D)自然誤差 。
48. 使用 30 公尺長之普通卷尺量得距離為 119.92 公尺,但該卷尺與標準尺比較時,卷尺上 29.98 公尺分劃處相當於標準尺 30.00 公尺,則此段正確距離為? (A)120.08 公尺 (B)120.00 公尺 (C)119.84 公尺 (D)119.76 公尺 。
49. 在斜坡上設置經緯儀實施視距測量時,標尺應保持 (A)垂直豎立 (B)向後或向前任意傾斜豎立 (C)與經緯儀視準軸垂直豎立 (D)向左右任意偏斜 。
50. A、B、C 三點在斜坡同一直線上,AB、BC 之斜距 SA B、SBC,及傾斜角αAB、αBC,則 AC 之水平距離為(A)
(B)
(C)
(D)
。
申論題 (0)
相關試卷
114年 - 04200 測量 丙級 工作項目 08:測量基本準則 1-31(2025/10/27 更新)#132634
114年 · #132634
114年 - 04200 測量 丙級 工作項目 07:儀器之一般保養與維護 1-36(2025/10/27 更新)#132633
114年 · #132633
114年 - 04200 測量 丙級 工作項目 06:埋石設標 1-20(2025/10/27 更新)#132632
114年 · #132632
114年 - 04200 測量 丙級 工作項目 05:基本繪圖 51-71(2025/10/27 更新)#132631
114年 · #132631
114年 - 04200 測量 丙級 工作項目 05:基本繪圖 1-50(2025/10/27 更新)#132630
114年 · #132630
114年 - 04200 測量 丙級 工作項目 04:角度測量(含光學式、電子式經緯儀) 151-178(2025/10/27 更新)#132629
114年 · #132629
114年 - 04200 測量 丙級 工作項目 04:角度測量(含光學式、電子式經緯儀) 101-150(2025/10/27 更新)#132628
114年 · #132628
114年 - 04200 測量 丙級 工作項目 04:角度測量(含光學式、電子式經緯儀) 51-100(2025/10/27 更新)#132627
114年 · #132627
114年 - 04200 測量 丙級 工作項目 04:角度測量(含光學式、電子式經緯儀) 1-50(2025/10/27 更新)#132626
114年 · #132626
114年 - 04200 測量 丙級 工作項目 03:高程測量 101-162(2025/10/27 更新)#132625
114年 · #132625