阿摩線上測驗
登入
首頁
>
技檢◆測量-工程測量-甲級
> 114年 - 04202 測量─工程測量 甲級 工作項目 01:控制測量 101-150(2025/10/28 更新)#132642
114年 - 04202 測量─工程測量 甲級 工作項目 01:控制測量 101-150(2025/10/28 更新)#132642
科目:
技檢◆測量-工程測量-甲級 |
年份:
114年 |
選擇題數:
50 |
申論題數:
0
試卷資訊
所屬科目:
技檢◆測量-工程測量-甲級
選擇題 (50)
101. 測量三角補點之方法中,欲於某適當位置設站,可採用下列何種方法定出該設站點位置? (A)後方交會法 (B)前方交會法 (C)側方交會法 (D)截線法 。
102. 下列何者不是自由測站法之主要作業程序? (A)作業計畫及準備 (B)選點及埋設標誌 (C)測定方位角 (D)水平角測量 。
103. 與三角(三邊)測量比較,下列何者不是導線測量常見之優點? (A)只要求相鄰導線點間通視 (B)較適合於市街、森林地區 (C)精度較高 (D)較簡便、快速 。
104. 下列各種導線中,何者無檢核條件,不宜採用? (A)閉合導線 (B)附合導線 (C)自由展開導線 (D)導線網 。
105. 假設導線各邊之方位角如下: Φ
AB
=36°52', Φ
BC
=41°25', Φ
CD
=48°35',Φ
DE
=53°08'。而導線縱橫距閉合差如下:Wy=4m,Wx=3m,則應先檢查下列哪一邊長之量距? (A)
(B)
(C)
(D)
。
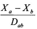
106. 點 A 及點 B 間之距離
,欲依泰勒級數展開(Taylor's Expansion)予以線性化時,其中
= (A)
(B)
(C)
(D)
。
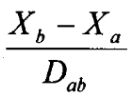
107. 點 A 及點 B 間之距離
,欲依泰勒級數展開(Taylor'sExpansion)予以線性化時,其中
= (A)
(B)
(C)
(D)
。
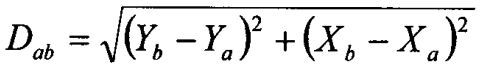
108. 點 A 及點 B 間之距離
,欲依泰勒級數展開(Taylor's Expansion)予以線性化時,其中
= (A)
(B)
(C)
(D)
。
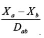
109. 點 A 及點 B 間之距離
,欲依泰勒級數展開(Taylor's Expansion)予以線性化時,其中
= (A)
(B)
(C)
(D)
。
110. 實施 GPS 定位測量,下列敘述何者正確? (A)測站間必須互相通視,且透空度良好 (B)測站間不必互相通視,但透空度必須良好 (C)透空度不需考慮,只要測站間互相通視即可 (D)測站間不必互相通視,透空度亦不需考慮 。
111. GPS 定位測量必須同時觀測之衛星數目 (A)最少一個 (B)最少二個 (C)最少三個 (D)最少四個 。
112. GPS 動態定位測量,必須同時觀測之衛星數目 (A)最少一個 (B)最少二個(C)最少三個 (D)最少四個 。
113. GPS 之相對定位最少須使用 (A)一部接收器 (B)二部接收器 (C)三部接收器(D)四部接收器 。
114. GPS 測量若須與原有之平面控制網連接,則測區內之已知平面控制點最少要 (A)一個 (B)二個 (C)三個 (D)四個 。
115. DGPS 是利用何種方法來消除大部份誤差來源? (A)最少自乘平差法 (B)差分法 (C)交叉補正法 (D)長基線法 。
116. GPS 衛星軌道相當高,約為 (A)12,000 公里 (B)20,000 公里 (C)32,000 公里 (D)42,000 公里 。
117. 每個 GPS 衛星在軌道上的運行一週之時間約為 (A)10 小時 (B)12 小時 (C)24 小時 (D)30 小時 。
118. 國際大地測量協會為了統一各國的 GPS 坐標系統,建議各國採用 (A)WGS84 (B)GRS67 (C)GRS76 (D)WGS48 。
119. GPS 觀測時,因電離層遲滯所產生的誤差,屬於 (A)軌道誤差 (B)時表誤差 (C)傳播誤差 (D)測站偏差 。
120. GPS 衛星測量中,要藉由下列何者以辨別訊號是自哪顆衛星播送下來?(A)PRN (B)DPM (C)NNSS (D)GPS 。
121. GPS 的衛星發射訊號中,下列何種碼不包括其中? (A)C/A (B)P (C)Y (D)X 。
122. GPS 之坐標系統採用 (A)GRS64 (B)WGS84 (C)UTM (D)Tm2° 。
123. 下列何種原子鐘穩定性較高? (A)石英鐘 (B)銣鐘 (C)銫鐘 (D)氫鐘 。
124. 下列何者不為 GPS 衛星信號之訊號分量? (A)載波 (B)測距碼 (C)導航訊息 (D)衛星影像 。
125. 澎湖現行的高程基準係用何處之平均海水面? (A)馬公 (B)基隆 (C)高雄(D)廈門 。
126. 有關 GPS 衛星測距的空間後方交會法之概念,下列敘述何者不合宜?(A)一個測距可決定一個球面 (B)二個測距可決定一個圓 (C)三個測距可決定一個定點 (D)考慮時鐘誤差,最少要四顆衛星 。
127. GPS 定位時,下列何者之電離層造成距離誤差最小? (A)夜間衛星處於天頂方向 (B)日間衛星處於天頂方向 (C)夜間衛星接近地平線 (D)日間衛星接近地平線 。
128. GPS 定位時,下列何者對於對流層延遲誤差較為正確? (A)可藉由雙頻的特性改正 (B)儘量採用低於 15 度之角度衛星觀測量 (C)與衛星之高度無關 (D)隨著測站緯度及測站位置而異 。
129. GPS 定位時,下列有關多路徑效應誤差的影響,何者較為正確? (A)與測站周圍之物理環境無關 (B)接收儀與 GPS 衛星之間的幾何位置無關 (C)不具週期性的特徵 (D)天線加設金屬擋板可降低影響 。
130. 所謂 RTK 測量乃指 (A)快速靜態測量 (B)半動態測量 (C)虛擬快速動態測量 (D)即時動態測量 。
131. GPS 外業觀測前之規劃衛星分佈狀況作業,下列何者較不適宜? (A)各測站同時有 3 顆衛星在仰角 5°以上 (B)一等精度需均勻分佈於 4 個象限(C)二等精度需均勻分佈於至少 3 個象限 (D)三等精度需均勻分佈於至少 2個象限 。
132. 下列有關 GPS 之 SA(Selective Availability) 效應,何者較不正確? (A)廣播衛星曆中加入誤差 (B)衛星時鐘的信號中加入誤差 (C)P 碼與保密的W 碼相加而成 Y 碼 (D)人為刻意的誤差,以保持美國的國家利益 。
133. 下列有關 GPS 之 AS(Anti-spoofing) 效應,何者較不正確? (A)人為刻意的誤差,以保持美國的國家利益 (B)自然的誤差、可以修正 (C)P 碼與保密的 W 碼相加而成 Y 碼 (D)對精密碼的碼結構進行保密 。
134. GPS 廣播星曆含軌道參數共幾個? (A)16 (B)20 (C)24 (D)28 。
135. 下列有關單頻 GPS 接收儀之敘述,何者較不適宜? (A)修正模式十分完備 (B)只能接收經調製的 L1 信號 (C)基線較短時,可採用簡化之方式來處理電離層的影響 (D)精度較差,僅用於基線較短的精密定位工作和導航 。
136. 下列有關雙頻 GPS 接收儀之敘述,何者較不適宜? (A)可接收 L1 信號(B)可接收 L2 信號 (C)仍無法建立修正模式 (D)可以消除或減弱電離層折射對觀測量的影響 。
137. 每一個 GPS 衛星所發射的 L-band 的電磁波敘述,下列何者正確? (A)為一種載波 (B)L1 上僅調制 P 碼 (C)L2 上調制 C/A 碼及 P 碼 (D)一種人為的干擾波,以加大誤差 。
138. GPS 系統之 24 顆操作衛星中,每一顆衛星繞行地球一周約為 (A)11 時58 分 (B)12 時 10 分 (C)12 時 30 分 (D)24 時 。
139. 下列有關 DGPS 之敘述,下列何者較不適宜? (A)為差分之 GPS 定位法(B)即時性處理時可立即獲得成果 (C)後處理時,可獲得較高精度 (D)導航應用時,應採用後處理式之 DGPS 。
140. GPS 定位時,以單獨一個觀測站接收訊號而得定位結果,不可稱為 (A)單點定位 (B)絕對定位 (C)導航定位 (D)相對定位 。
141. GPS 衛星繞行一週之時間約為若干小時? (A)6 小時 (B)12 小時 (C)18 小時 (D)24 小時 。
142. GPS 坐標系統採用 (A)GRS67 (B)TGD80 (C)TMS80 (D)WGS84 。
143. GPS 衛星訊號不包含 (A)載波 (B)摩爾斯碼 (C)測距碼 (D)數據碼 。
144. GPS 大部份通訊標準規格之制定機構為 (A)IEEE (B)CNS (C)ANSI (D)NmEA 。
145. GPS 觀測時,通常仰角多少以上須無對空障礙物? (A)15° (B)30° (C)45°(D)60° 。
146. GPS 測量外業觀測時須注意事項,下列何者較可省略? (A)天線定心、定平 (B)觀測風向 (C)觀測時間段 (D)量天線高 。
147. GPS 衛星軌道與地球赤道面之夾角為 (A)35° (B)45° (C)55° (D)65° 。
148. 現今 GPS 衛星定位測量作業,多採用之平差模式為 (A)單基線法(SingleBaseline) (B)多測站法(multi-station) (C)多測站-多時段法(multi-stationmulti-session) (D)單基線-多時段法(Single-Baseline multi-session) 。
149. 由於 GPS 訊號受到某些因素干擾或中斷,當再恢復正常接收時,接收儀無法計數這其中所經過的整數週波,產生所謂的 (A)延遲誤差 (B)週波脫落 (C)時鐘誤差 (D)軌道誤差 。
150. 下列各項 GPS 誤差中,何者通常視為一未知數來求解,而不列為導航單點定位的主要誤差來源? (A)廣播星曆誤差 (B)電離層及對流層遲滯誤差 (C)多路徑效應誤差 (D)接收儀時鐘誤差 。
申論題 (0)
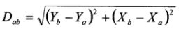
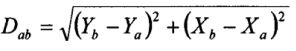
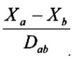
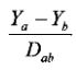
相關試卷
114年 - 04202 測量─工程測量 甲級 工作項目 05:變形測量 1-27(2025/10/28 更新)#132652
114年 · #132652
114年 - 04202 測量─工程測量 甲級 工作項目 04:應用測量 151-208(2025/10/28 更新)#132651
114年 · #132651
114年 - 04202 測量─工程測量 甲級 工作項目 04:應用測量 101-150(2025/10/28 更新)#132650
114年 · #132650
114年 - 04202 測量─工程測量 甲級 工作項目 04:應用測量 51-100(2025/10/28 更新)#132649
114年 · #132649
114年 - 04202 測量─工程測量 甲級 工作項目 04:應用測量 1-50(2025/10/28 更新)#132648
114年 · #132648
114年 - 04202 測量─工程測量 甲級 工作項目 03:空間資訊 51-84(2025/10/28 更新)#132647
114年 · #132647
114年 - 04202 測量─工程測量 甲級 工作項目 03:空間資訊 1-50(2025/10/28 更新)#132646
114年 · #132646
114年 - 04202 測量─工程測量 甲級 工作項目 02:天文方位測量 1-54(2025/10/28 更新)#132645
114年 · #132645
114年 - 04202 測量─工程測量 甲級 工作項目 01:控制測量 201-247(2025/10/28 更新)#132644
114年 · #132644
114年 - 04202 測量─工程測量 甲級 工作項目 01:控制測量 151-200(2025/10/28 更新)#132643
114年 · #132643