阿摩線上測驗
登入
首頁
>
技檢◆測量-地籍測量-乙級
> 114年 - 04203 測量─地籍測量 乙級 工作項目 03:圖根測量 1-50(2025/10/28 更新)#132687
114年 - 04203 測量─地籍測量 乙級 工作項目 03:圖根測量 1-50(2025/10/28 更新)#132687
科目:
技檢◆測量-地籍測量-乙級 |
年份:
114年 |
選擇題數:
50 |
申論題數:
0
試卷資訊
所屬科目:
技檢◆測量-地籍測量-乙級
選擇題 (50)
1. 縱距閉合差為 3 公分,橫距閉合差為 4 公分,導線全長為 500 公尺,則此導線之相對精度為 (A)1/3000 (B)1/4000 (C)1/5000 (D)1/10000 。
2. 設一測線長 300 公尺,方位角為 300°,則此測線之縱距為 (A)100 公尺 (B)260 公尺 (C)150 公尺 (D)200 公尺 。
3. 設一測線之方位角為 30°,則其反方位角為 (A)210° (B)180° (C)N30°E (D)S30°W 。
4. 導線選點諸多條件中,以何者為先決條件? (A)點位分佈均勻 (B)邊長近似相等 (C)展望良好便於測圖 (D)前後通視 。
5. 分別於二已知點 A、B 整置經緯儀觀測∠PAB 與∠PBA,再據以求得未知點 P 點,以平面位置,此法稱之為 (A)後方交會法 (B)側方交會法 (C)前交會法 (D)旁點交會 。
6. 導線測量水平角閉合差配賦之原則為 (A)依方位角之大小成比例分配 (B)依角度之大小成正比例分配 (C)依邊長大小成比例分配 (D)平均分配 。
7. 一測線之方向角為 N25°W,其相應之方位角為 (A)155° (B)335° (C)25° (D)245° 。
8. 圖根測量交會點之位置,每點交會至少應用幾個方向線? (A)一方向線(B)二方向線 (C)三方向線 (D)四方向線 。
9. 圖根測量之導線邊長,以下列何種距離為原則? (A)50m 以下 (B)50m~150m (C)150m~200m (D)200m 以上 。
10. 除因地勢所限,圖根測量交會法所用方向線長度,應在距離多少公尺以上? (A)50 (B)100 (C)200 (D)300 。
11. 圖根測量時,支導線逐級推展以不超過多少次為原則? (A)二次 (B)三次(C)四次 (D)五次 。
12. 數值地籍測量中,圖根測量支導線之位置閉合差不得超過 (A)1/3000 (B)1/5000 (C)1/8000 (D)1/60000 。
13. 數值地籍測量圖根測量時,幹導線之水平角閉合差不得超過何限制?(N為二已知點之導線總數) (A)20"
(B)20"
+30" (C)1'
(D)1'
+1' 。
14. 圖根測量之縱橫坐標,應計算至 (A)公尺 (B)公寸 (C)公分 (D)毫米 。
15. 天頂距 100°相當於垂直角多少度? (A)100° (B)10° (C)-10° (D)-100° 。
16. 使用經緯儀測量水平角時,若正鏡時其方向之讀數為 68°21'30",則其倒鏡讀數可能為多少? (A)68°21'29" (B)158°21'28" (C)248°21'35" (D)338°21'36" 。
17. 若距離為 100 公尺時,量距誤差為 0.01 公尺時,則測角之精度應為多少,以使量距測角精度相當? (A)10 秒 (B)20 秒 (C)30 秒 (D)40 秒 。
18. 以 A 為原方向右旋,已知 OA 之方向角 N60°E,OC 方向角為 S30°E,則∠AOC= (A)60° (B)90° (C)120° (D)150° 。
19. 依據「地籍測量實施規則」,圖根測量時以鋼卷尺量測距離,在平坦地二次量測之差不超過多少?(S 為距離,以公尺為單位) (A)±2.5
(B)±3.2
(C)±3.8
(D)±4.2
。
20. 依據「地籍測量實施規則」,圖根測量時以鋼卷尺量測距離,在地勢起伏地區二次量測之差不超過多少?(S 為距離,以公尺為單位) (A)±2.5
(B)±3.2
(C)±3.8
(D)±4.2
。
21. 使用六秒讀經緯儀,實施圖根測量之水平角觀測時,最後必須回歸原標定之方向,並比較其觀測值,其差應小於 (A)30" (B)12" (C)18" (D)24" 。
22. 導線縱橫距閉合差配賦之原則為 (A)依邊長與邊長總和之比例分配 (B)依邊長總和與邊長之比例分配 (C)平均分配 (D)依縱橫距與縱橫距總和之比例分配 。
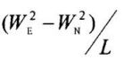
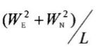
23. 導線閉合差之計算公式為(WE為橫距誤差、WN為縱距誤差、L 導線全長) (A)
(B)
(C)
(D)
。
24. 坐標反算方位角時,縱距ΔN 為正值、橫距ΔE 為負值,其方位角為 (A)象限角 (B)180°-象限角 (C)180°+象限角 (D)360°-象限角 。
25. 一閉合導線,共有 7 個導線點,則其內折角之總和應為 (A)900° (B)1080°(C)1260° (D)1440° 。
26. 數值地籍測量圖根測量,幹導線之位置閉合差不得超過? (A)1/3,000 (B)1/5,000 (C)1/7,000 (D)1/10,000 。
27. 一導線邊長為 400m、方位角為 135°,則其橫距差與縱距差分別為 (A)+282.843m,+282.843m (B)+282.843m,-282.843m (C)-282.843m,-282.843m(D)-282.843m,+282.843m 。
28. 於 A 點整置天頂式經緯儀,對目標 B 進行垂直角觀測,得正鏡觀測讀數為 88°25'36"、倒鏡讀數為 271°35'12",則指標差為 (A)12" (B)-12" (C)24"(D)-24" 。
29. 有一閉合導線共 5 個導線點,今測得各外角總和為 1260°00'45",則各點之閉合差改正值為 (A)+9" (B)–9" (C)+7" (D)–7" 。
30. 依「地籍測量實施規則」規定,圖根測量時,每一導線含起迄點之總點數,幹導線至多為幾個點,但為地勢所限得調整之? (A)10 (B)15 (C)20 (D)25 。
31. 依「地籍測量實施規則」規定,圖根測量時,每一導線含起迄點之總點數,支導線至多為幾個點,但為地勢所限得調整之? (A)10 (B)15 (C)20 (D)25 。
32. 圖根點測量水平角,採用六秒讀經緯儀,以方向觀測法施測時,其測回差不得超過 (A)12" (B)30" (C)45" (D)60" 。
33. 測站 A 至 B 之方位角為 50°,測站 B 至 C 之偏角為 50°,求測站 C 至測站 B 之方位角為 (A)50° (B)210° (C)280° (D)100° 。
34. 圖根測量作業時,下列何者為第一步驟? (A)檢測已知點 (B)觀測 (C)選點埋石 (D)計算 。
35. 有一封閉之五邊形 ABCDE,∠A=117°36'00",∠B=90°32'00",∠C=142°54'00",∠D=132°18'00",假設各角均已改正,則∠E 應為 (A)126°20'00"(B)86°40'00" (C)66°20'00" (D)56°40'00" 。
36. 於 A 點整置天頂式經緯儀對目標B進行垂直角觀測,得正鏡觀測讀數為90°04'09"、倒鏡讀數為 269°56'05",則垂直角為 (A)-04'02" (B)+04'02" (C)-04'09" (D)+04'09" 。
37. 於 P 點整置經緯儀,順時鐘方向對目標 A、B進行水平角方向觀測,正鏡分別為 0°01'00"、48°33'27",倒鏡分別為 180°01'12"、228°33'39",則水平角 APB 為 (A)48°34'27" (B)48°32'12" (C)228°32'27" (D)48°32'27" 。
38. 已知 A 點橫坐標為 123.420m,AB 邊長為 27.365m,AB 之方位角為 95°21'45",則求 B 點之橫坐標為 (A)121.163m (B)150.665m (C)125.677m (D)96.215m 。
39. 使用電子測距經緯儀作圖根點之水平角觀測,應施測多少測回? (A)一(B)二 (C)三 (D)四 。
40. 圖根測量使用電子測距儀進行距離觀測,照準觀測目標施測二次,兩次之差不得超過多少公分? (A)一 (B)二 (C)三 (D)四 。
41. 依「地籍測量實施規則」規定,圖根點加測高程時,以何種方法作業是錯誤的? (A)直接水準測量 (B)衛星定位測量 (C)三角高程測量 (D)氣壓高程測量 。
42. 實施數值法導線測量,其幹導線之位置閉合差,不得超過 (A)1/1000 (B)1/2000 (C)1/3000 (D)1/5000 。
43. 以數值法辦理地籍測量之地區,幹導線點總數(含起迄二已知點)為九點,其水平角閉合差為多少秒? (A)30 (B)60 (C)90 (D)120 。
44. 以圖解法辦理地籍測量之地區,支導線點總數(含起迄二已知點)為九點,其水平角閉合差為多少? (A)3' (B)4' (C)5' (D)6' 。
45. 以鋼卷尺在水平地量距,導線長度為 144 公尺,往返兩次之差不得超過多少毫米? (A)38.4 (B)30.0 (C)45.6 (D)60.2 。
46. 圖根測量完竣後,所管轄之登記機關應依何種法令實施查對? (A)土地法及其施行法 (B)測量標設置保護條例 (C)都市計畫椿測定及管理辦法 (D)國土測繪法及其施行細則 。
47. 圖根點需永久保存者,應依國土測繪法第 3 條第 11 款之規定,於現場(A)繪製點之位置略圖 (B)繪製衛星透空圖 (C)設置明確標示 (D)測製觀測方向圖 。
48. 圖根測量完竣後,實施測量之機關應將圖根點之位置略圖及圖根資料檔移送 (A)中央主管機關 (B)所在地地方主管機關 (C)所在地登記機關 (D)都市計畫主管機關 。
49. 圖根測量採即時動態衛星測量(RTK)辦理時,其點位遮蔽仰角最小值一般應為 (A)10° (B)15° (C)20° (D)25° 。
50. 圖根測量採即時動態衛星測量(RTK)辦理時,其圖根點與圖根點間之距離,一般應為 (A)≦100 公尺 (B)≧1000 公尺 (C)≧100 公尺 (D)在 50 公尺與 100 公尺之間 。
申論題 (0)
相關試卷
114年 - 04203 測量─地籍測量 乙級 工作項目 07:土地複丈與建物測量 101-145(2025/10/28 更新)#132697
114年 · #132697
114年 - 04203 測量─地籍測量 乙級 工作項目 07:土地複丈與建物測量 51-100(2025/10/28 更新)#132696
114年 · #132696
114年 - 04203 測量─地籍測量 乙級 工作項目 07:土地複丈與建物測量 1-50(2025/10/28 更新)#132695
114年 · #132695
114年 - 04203 測量─地籍測量 乙級 工作項目 06:製圖 1-51(2025/10/28 更新)#132694
114年 · #132694
114年 - 04203 測量─地籍測量 乙級 工作項目 05:計算面積 1-51(2025/10/28 更新)#132693
114年 · #132693
114年 - 04203 測量─地籍測量 乙級 工作項目 04:戶地測量 151-198(2025/10/28 更新)#132692
114年 · #132692
114年 - 04203 測量─地籍測量 乙級 工作項目 04:戶地測量 101-150(2025/10/28 更新)#132691
114年 · #132691
114年 - 04203 測量─地籍測量 乙級 工作項目 04:戶地測量 51-100(2025/10/28 更新)#132690
114年 · #132690
114年 - 04203 測量─地籍測量 乙級 工作項目 04:戶地測量 1-50(2025/10/28 更新)#132689
114年 · #132689
114年 - 04203 測量─地籍測量 乙級 工作項目 03:圖根測量 51-87(2025/10/28 更新)#132688
114年 · #132688