阿摩線上測驗
登入
首頁
>
技檢◆氣壓-丙級
> 114年 - 08000 氣壓 丙級 工作項目 02:元件認識 101-146(2025/12/03 更新)#134180
114年 - 08000 氣壓 丙級 工作項目 02:元件認識 101-146(2025/12/03 更新)#134180
科目:
技檢◆氣壓-丙級 |
年份:
114年 |
選擇題數:
46 |
申論題數:
0
試卷資訊
所屬科目:
技檢◆氣壓-丙級
選擇題 (46)
101. 氣壓缸可以承受__________ 的負荷為最小。(A)軸向交變 (B)側向 (C)推出 (D)拉回
102. 過濾器主要濾水是以__________ 之功能為主。(A)低溫冷卻 (B)氣體摩擦 (C)濾蕊阻擋 (D)渦漩離心
103. 電容器之標示值 103M,其 M 表示 (A)電容值 (B)電壓值 (C)誤差值 (D)補正值 。
104. 下列何者不是空氣調理組的器具? (A)過濾器 (B)調壓器 (C)油霧分離器 (D)潤滑器 。
105. 雙壓閥兩個輸入口同時輸入壓力分別為 2bar 與 6bar 之氣源,而該閥件輸出口之空氣壓力為_____bar。(A)0 (B)2 (C)4 (D)6
106. 梭動閥兩個輸入口同時輸入壓力分別為 2bar 與 6bar 之氣源,而該閥件輸出口之空氣壓力為_____bar。 (A)0 (B)2 (C)4 (D)6
107. 下列何種空氣壓縮機的振動、噪音最嚴重? (A)迴轉式 (B)螺旋式 (C)往復式(D)膜片式 。
108. 閥門的有效斷面積 S 數值愈大,表示 (A)流量愈多 (B)耐壓力愈高 (C)耐振動力愈佳 (D)耐衝擊力愈大 。
109. P18 之 O 型環是指其_________ 的大小約為 18㎜。(A)內徑 (B)外徑 (C)厚度 (D)內外徑差
110. CA 與 CB 為環首型或吊耳型的安裝方式,其差別在 (A)安裝位置不同 (B)安裝承接座數量不同 (C)安裝方向不同 (D)安裝高度不同 。
111. FA 與 FB 為凸緣型或法蘭型的安裝方式,其差別在 (A)安裝位置不同 (B)安裝承接座數量不同 (C)安裝方向不同 (D)安裝高度不同 。
112. LA 與 LB 為腳座型的安裝方式,其差別在 (A)安裝位置不同 (B)安裝承接座數量不同 (C)安裝方向不同 (D)安裝高度不同 。
113. TA 與 TB 為耳軸型的安裝方式,其差別在 (A)安裝位置不同 (B)安裝承接座數量不同 (C)安裝方向不同 (D)安裝高度不同 。
114. 大氣的水分吸收能力,隨著溫度上升而 (A)下降 (B)先降後升 (C)上升 (D)無關 。
115. 衝擊氣壓缸是利用________ 以產生衝擊能量來加工。(A)快速的移動速度 (B)高壓的壓縮空氣 (C)超大的活塞面積 (D)大量的氣體流量
116. 使用進氣限流方式調速的為 (A)大容量氣壓缸 (B)單動缸 (C)滑塊型氣壓缸 (D)擺動型氣壓缸 。
117. 油壓緩衝器的緩衝能力與下列何者無關? (A)內徑 (B)壓油粘度 (C)環境濕度(D)內部的彈簧係數 。
118. 下列何者是氣壓缸的缺點? (A)行程中間定位不易 (B)出力大小調整容易 (C)移動速度改變容易 (D)行走方向控制方便 。
119. 對氣壓系統的描述,下列何者錯誤? (A)作動介質具有可壓縮性 (B)作動器位置控制容易 (C)管路內的壓力損失小 (D)能量儲存容易 。
120. 一般氣壓缸操作溫度範圍為 (A)10~40 (B)-5~65 (C)0~60 (D)5~55 ℃。
121. 一般氣壓缸工作壓力最高限為_________ kgf/cm
2
。(A)10 (B)8 (C)7 (D)6
122. 一般閥件的操作溫度範圍為 (A)10~40 (B)-5~65 (C)0~60 (D)5~55 ℃。
123. 一般閥件的工作壓力最高限為_________ kgf/cm
2
。(A)10 (B)8 (C)7 (D)6
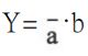
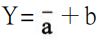
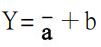
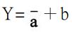
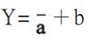
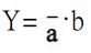
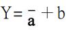
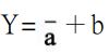
124.
左圖之邏輯表示 (A)Y=
+b (B)Y=a+
(C)Y=
·b (D)Y=a·
。
125.
左圖之邏輯表示 (A)
(B)
(C)
(D)
。
126.
左圖之邏輯表示 (A)
(B)
(C)
(D)
。
127.
左圖之邏輯表示 (A)
(B)
(C)
(D)
。
128.
左圖之邏輯表示 (A)
(B)
(C)
(D)
。
129.
左圖之邏輯表示 (A)
(B)
(C)
(D)
。
130.
左圖之邏輯表示 (A)
(B)
(C)
(D)
。
131.
左圖為何種邏輯符號? (A)AND (B)NOT (C)YES (D)PULSE 邏輯氣壓閥。
132.
左圖為何種邏輯符號? (A)AND (B)NOT (C)YES (D)PULSE 邏輯氣壓閥。
133.
左圖為何種邏輯符號? (A)AND (B)NOT (C)YES (D)PULSE 邏輯氣壓閥。
134.
左圖為何種邏輯符號? (A)AND (B)NOT (C)YES (D)PULSE 邏輯氣壓閥。
135.
左圖為何種邏輯符號? (A)AND 邏輯氣壓閥 (B)壓力放大器元件(C)NOT 邏輯氣壓閥 (D)PULSE 邏輯氣壓閥 。
136.
左圖為何種安裝方式? (A)前凸緣或前法蘭 (B)腳座型 (C)後凸緣或後法蘭 (D)耳軸型 的安裝方式。
137.
左圖為何種安裝方式? (A)腳座型 (B)前凸緣或前法蘭 (C)環首型或吊耳型 (D)耳軸型 的安裝方式。
138.
左圖為何種安裝方式? (A)腳座型 (B)前凸緣或前法蘭 (C)環首型或吊耳型 (D)耳軸型 的安裝方式。
139.
左圖為何種安裝方式? (A)腳座型 (B)環首型或吊耳型 (C)前凸緣或前法蘭 (D)耳軸型 的安裝方式。
140. 標註有 CB-50×200 規格之氣壓缸,其中 CB 是代表甚麼意義? (A)安裝方式(B)氣壓缸缸徑大小 (C)廠家的編號 (D)氣壓缸行程長度 。
141. 標註有 CB-50×200 規格之氣壓缸,其中 200 是代表甚麼意義? (A)安裝方式 (B)氣壓缸缸徑大小 (C)廠家的編號 (D)氣壓缸行程長度 。
142. 標註有 CB-50×200 規格之氣壓缸,其中 50 是代表甚麼意義? (A)安裝方式(B)氣壓缸缸徑大小 (C)廠家的編號 (D)氣壓缸行程長度 。
143. 下圖為何種計數器(Counter)?
(A)加數型 (B)減數型 (C)差數型 (D)除數型 。
144. 下圖箭頭所指處為計數器(Counter)之哪個接口?
(A)計數已達之輸出口 (B)復歸接口 (C)手動復歸處 (D)計數接口 。
145. 下圖箭頭所指處為計數器(Counter)之哪個接口?
(A)計數已達之輸出口 (B)復歸接口 (C)手動復歸處 (D)計數接口 。
146. 下圖箭頭所指處為計數器(Counter)之哪個接口?
(A)計數已達之輸出口 (B)復歸接口 (C)手動復歸處 (D)計數接口 。
申論題 (0)
相關試卷
114年 - 08000 氣壓 丙級 工作項目 05:操作及維修 101-133(2025/12/03 更新)#134188
114年 · #134188
114年 - 08000 氣壓 丙級 工作項目 05:操作及維修 51-100(2025/12/03 更新)#134187
114年 · #134187
114年 - 08000 氣壓 丙級 工作項目 05:操作及維修 1-50(2025/12/03 更新)#134186
114年 · #134186
114年 - 08000 氣壓 丙級 工作項目 04:運轉調整 51-106(2025/12/03 更新)#134185
114年 · #134185
114年 - 08000 氣壓 丙級 工作項目 04:運轉調整 1-50(2025/12/03 更新)#134184
114年 · #134184
114年 - 08000 氣壓 丙級 工作項目 03:儀表及工具使用 101-138(2025/12/03 更新)#134183
114年 · #134183
114年 - 08000 氣壓 丙級 工作項目 03:儀表及工具使用 51-100(2025/12/03 更新)#134182
114年 · #134182
114年 - 08000 氣壓 丙級 工作項目 03:儀表及工具使用 1-50(2025/12/03 更新)#134181
114年 · #134181
114年 - 08000 氣壓 丙級 工作項目 02:元件認識 51-100(2025/12/03 更新)#134179
114年 · #134179
114年 - 08000 氣壓 丙級 工作項目 02:元件認識 1-50(2025/12/03 更新)#134178
114年 · #134178