所屬科目:技檢◆網路架設-丙級
1. 在 IPv4 Class B 位址中,其主機位址共佔用多少個位元? (A)16 (B)8 (C)32 (D)24。
2. 下列何者非屬區域網路的架構? (A)匯流排架構 (B)環狀架構 (C)雲狀架構 (D)星狀架構。
3. 下列何者屬於 OSI 參考模型中第 3 層的設備? (A)Bridge (B)Repeater (C)Hub (D)Router。
4. 有 A、B 兩個大小相同的檔案,A 檔案儲存在硬碟連續的位置,而 B 檔案儲存在硬碟分散的位置,因此 A 檔案的存取時 間比 B 檔案少,下列何者為主要影響因素? (A)搜尋時間(Seek Time) (B)記憶體存取時間(Memory Access Time) (C)傳送時 間(Transfer Time) (D)CPU 執行時間(Execution Time)。
5. 世紀之毒「戴奧辛」主要透過何者方式進入人體? (A)透過飲食 (B)透過呼吸 (C)透過雨水 (D)透過觸摸。
6. 禁菸場所負責人未於場所入口處設置明顯禁菸標示,要罰該場所負責人多少元? (A)1 萬至 25 萬 (B)20 萬至 100 萬 (C)2 千至 1 萬 (D)1 萬至 5 萬。
7. 下列何者屬於銅質網路線終端的接續硬體? (A)FC/PC (B)ST (C)RJ45 (D)SC。
8. 下列何者非屬光纖連接器? (A)FC/PC (B)ST (C)RJ45 (D)SC。
9. 某校欲將校內電腦以 30 部為單位,分割成不同子網域,其最小之網路遮罩為何? (A)255.255.255.248 (B)255.255.255.128 (C)255.255.255.224 (D)255.255.255.192。
10. 下列何種網路資料傳輸協定使用固定大小的細胞(Cell)傳送資料? (A)T3 (B)ADSL (C)T1 (D)ATM。
11. 100 Base T 需要幾對線來連接網路? (A)2 對 (B)1 對 (C)3 對 (D)4 對。
12. 有關延長線及電線的使用,下列敘述何者錯誤? (A)使用老舊之延長線,容易造成短路、漏電或觸電等危險情形,應立 即更換 (B)拔下延長線插頭時,應手握插頭取下 (C)應避開火源,以免外覆塑膠熔解,致使用時造成短路 (D)使用中之延長 線如有異味產生,屬正常現象不須理會。
13. 依據 ANSI/TIA-568-C.2 規定,水平布線所採用的網路對絞線最大直徑為何? (A)8.0mm (B)9.0mm (C)10.0mm (D)7.0mm。
14. 如果一個僱員必須被停職,他的網路存取權應在何時關閉? (A)停職後二週 (B)停職後一週 (C)不需關閉 (D)給予他停職通 知前。
15. 下列何種方法「不屬於」資訊系統安全的管理? (A)每個使用者執行系統時,皆會在系統中留下變動日誌(Log) (B)設定每 個檔案的存取權限 (C)不同使用者給予不同權限 (D)限制每人使用時間。
16. 下列何者為整體數位服務網路的英文簡稱? (A)IDSN (B)NISD (C)ISDN (D)SDNI。
17. 下列何種入侵偵測系統(Intrusion Detection Systems)是利用特徵(Signature)資料庫及事件比對方式,以偵測可能的攻擊 或事件異常? (A)網路導向(Network-Based) (B)主機導向(Host-Based) (C)知識導向(Knowledge -Based) (D)行為導向 (Behavior-Based)。
18. 將資料以加密演算法加密,可增進下列何資訊安全特性? (A)不可否認性 (B)完整性 (C)機密性 (D)可用性。
19. 開放式系統互連的參考模型中,第 6 層通訊協定為? (A)會談(Session)層 (B)應用(Application)層 (C)傳輸 (Transport)層 (D)表示(Presentation)層。
20. TCP/IP 協定中網路系統管理者想要測試電腦之間是否連通,可用下列哪一個指令? (A)ping (B)vi (C)dir (D)ls。
21. 依據我國現行國家標準規定,冷氣機的冷氣能力標示應以何種單位表示? (A)kW (B)RT (C)kcal/h (D)BTU/h。
22. OSI 7 層協定中,下列哪層負責控制傳輸者間資料傳送及接收的時機? (A)傳輸(Transport)層 (B)應用(Application) 層 (C)會談(Session)層 (D)資料鏈路(Data Link)層。
23. 二手菸中包含多種危害人體的化學物質,甚至多種物質有致癌性,會危害到下列何者的健康? (A)只對 12 歲以下孩童有 影響 (B)只對孕婦比較有影響 (C)對二手菸接觸民眾皆有影響 (D)只對 65 歲以上之民眾有影響。
24. 下列何種雲端服務可供使用者開發應用軟體? (A)Software as a Service (SaaS) (B)Platform as a Service (PaaS) (C)Information as a Service (IaaS) (D)Infrastructure as a Service (IaaS)。
25. 4 個位元的二進位數可代表幾種狀態? (A)16 (B)4 (C)8 (D)2。
26. 下列何者「不是」多人多工之作業系統? (A)Solaris (B)Linux (C)MS-DOS (D)Windows Server。
27. 下列何種服務可將 Domain Name 對應為 IP 位址? (A)Proxy (B)DNS (C)WINS (D)DHCP。
28. Linux 系統中,下列哪個目錄放置開機過程中所需之設定,其中包含開機、修復、還原系統等所需指令? (A)/etc (B)/sbin (C)/var (D)/tmp。
29. 每個點對點式(Point-to-Point)網路連接,最多可連接幾台電腦? (A)2 台 (B)10 台 (C)不限 (D)5 台。
30. 數據通信系統中,傳輸網路兩端之節點可作雙向資料傳輸,但無法同時雙向傳輸的通訊方式是? (A)倍雙工 (B)半雙工 (C) 單工 (D)全雙工。
31. 下列何者為環境保護的正確作為? (A)不隨手關燈 (B)自己開車不共乘 (C)多吃肉少蔬食 (D)鐵馬步行。
32. 下列何者屬於揮發性記憶體? (A)RAM (B)Hard Disk (C)Flash Memory (D)ROM。
33. 下列何者不是可能之網路遮罩? (A)255.255.255.192 (B)255.255.255.128 (C)255.255.255.240 (D)255.255.255.242。
34. 下列何種措施較可避免工作單調重複或負荷過重? (A)經常性加班 (B)工時過長 (C)排班保有規律性 (D)連續夜班。
35. Cat 6 對絞線最高傳輸頻率為多少? (A)500MHz (B)200MHz (C)100MHz (D)250MHz 。
36. 有關使用直譯程式(Interpreter)將程式翻譯成機器語言之敘述,下列何者正確? (A)直譯程式每次轉譯一行指令後即執行 (B)直譯程式(Interpreter)與編譯程式(Compiler)翻譯方式一樣 (C)直譯程式先翻譯成目的程式,再執行之 (D)直譯程式先執 行再翻譯成目的程式。
37. 下列何者為 1000BaseT 之實體網路拓撲? (A)星狀(Star) (B)環狀(Ring) (C)網狀(Mesh) (D)匯流排(Bus)。
38. 若 1 個 IP 位址有 5 個子網路位元,則可以將網路規劃成幾個子網路? (A)31 (B)29 (C)30 (D)32。
39. 依據「建築物屋內外電信設備設置技術規範」規定,埋入式資訊插座安裝時,在電纜末端剝除 4cm 電纜外被,將絞距 鬆開需至少小於多少距離? (A)8mm (B)20mm (C)25mm (D)13mm。
40. 下列何者在 C/C++語言中視為 false? (A)1 (B)-100 (C)0 (D)-1。
41. 下列何者不會減少溫室氣體的排放? (A)增高燃煤氣體排放的煙囪 (B)開發太陽能、水能等新能源 (C)大量植樹造林,禁止 亂砍亂伐 (D)減少使用煤、石油等化石燃料。
42. 依據「建築物屋內外電信設備設置技術規範」規定,電信室面積多大,應設置獨立門鎖? (A)不論大小 (B)10m2 (含)以上 (C)16.5m2 (含)以上 (D)19.8m2 (含)以上。
43. 在網際網路(Internet)中的每一片網路卡,可有幾個 MAC 位址? (A)任意個 (B)2 個 (C)1 個 (D)3 個。
44. 下列何者是類比資料轉換成類比信號的技術? (A)曼徹斯特(Manchester) (B)相移鍵控調變(PSK) (C)脈波振幅調變 (PAM) (D)調相(PM)。
45. IPv4 位址 200.200.25.38 是屬於哪一 Class 位址? (A)Class B (B)Class D (C)Class A (D)Class C。
46. IPv6 使用幾個位元來定址? (A)32 (B)256 (C)64 (D)128。
47. 有關「童工」之敘述,下列何者正確? (A)每日工作時間不得超過 8 小時 (B)工資不得低於基本工資之 70% (C)不得於午 後 8 時至翌晨 8 時之時間內工作 (D)例假日得在監視下工作。
48. 「勞工腦心血管疾病發病的風險與年齡、吸菸、總膽固醇數值、家族病史、生活型態、心臟方面疾病」之相關性為何? (A)無 (B)正 (C)可正可負 (D)負。
49. 至少需要多少部電腦,才能藉由傳輸媒體的連接,而達到電腦網路資源共享之目的? (A)4 部 (B)3 部 (C)2 部 (D)1 部。
50. 關於 IEEE 802.11 無線傳輸協定,下列敘述何者不正確? (A)802.11g 運作於 2.4GHz,最大傳輸速率為 54Mbps (B)802.11b 運作於 2.4GHz,最大傳輸速率為 11Mbps (C)802.11a 運作於 2.4GHz,最大傳輸速率為 54Mbps (D)802.11 運作 於 2.4GHz,最大傳輸速率為 2Mbps。
51. 下列何者為搜尋引擎的主要功能? (A)留言 (B)記錄常上的網站 (C)查詢網站 (D)發送郵件。
52. 依據「建築物屋內外電信設備設置技術規範」規定,大型建築物如於公共走道上方水平方向佈設水平屋內電纜時,應每 隔多少距離設置固定線架? (A)15-25cm (B)55-75cm (C)30-50cm (D)75-95cm。
53. 開放式系統互連的參考模型中,第 7 層通訊協定為? (A)表示(Presentation)層 (B)傳輸(Transport)層 (C)應用 (Application)層 (D)會談(Session)層。
54. Linux 系統中,下列哪個目錄置放系統的主要設定檔? (A)/sbin (B)/var (C)/etc (D)/tmp。
55. 空氣污染源依排放特性分為固定污染源及移動污染源,下列何者屬於移動污染源? (A)焚化廠 (B)石化廠 (C)機車 (D)煉鋼 廠。
56. 依據「建築物屋內外電信設備設置技術規範」規定,建築物電信設備設置架構不包括下列何者? (A)戶外配線系統 (B)主 幹配線系統 (C)引進設施 (D)宅內配線系統。
57. 下列何者是半雙工傳輸模式? (A)收音機 (B)擴音器 (C)警用對講機 (D)電話。
58. 依據「建築物屋內外電信設備設置技術規範」規定,下列哪個英文縮寫代表樓層配線架? (A)IDF (B)OLDF (C)MDF (D)RDF。
59. 使用分時多工(TDM)方式傳送信號時,在某一時槽(Time slot)內,只允許該通道內的幾部設備傳送信號? (A)4 部 (B)3 部 (C)1 部 (D)2 部。
60. 在 test@xxx.com.tw 中@的左邊代表的是什麼? (A)個人的姓名 (B)個人的帳號 (C)個人的網址 (D)個人的密碼。
61. 在 ADSL 網路中,由電信業者機房到用戶的 ADSL 數據機間的線路為何? (A)光纖 (B)Cat.5e UTP (C)同軸電纜線 (D)電話 線。
62. 下列何者為高密度的光纖連接器? (A)SC (B)RJ-45 (C)ST (D)MT-RJ。
63. 關於高架地板材質,下列敘述何者不正確? (A)需作防靜電處理 (B)需通過耐壓硬度試驗 (C)為了減輕重量可使用蔗板 (D) 材質為不可燃。
64. 按菸害防制法規定,對於在禁菸場所吸菸會被罰多少錢? (A)新臺幣 2 千元至 1 萬元罰鍰 (B)新臺幣 1 萬元至 5 萬元罰鍰 (C)新臺幣 2 萬元至 10 萬元罰鍰 (D)新臺幣 1 千元至 5 千元罰鍰。
65. 下列何種網路設備可作協定轉換? (A)閘道器(Gateway) (B)數據機(MODEM) (C)集線器(HUB) (D)增訊器 (Repeater)。
66. UDP 的標頭中,哪一個是不一定要出現的欄位? (A)來源埠(Source Port) (B)長度(Length) (C)目地埠(Destination Port) (D)核對和(Checksum)。
67. 依據「建築物屋內外電信設備設置技術規範」規定,為便於將來建築物擴增通信需求用,垂直主幹配管每一路由至少需 設計幾管以上(含預備管),以便延伸至樓頂適當位置? (A)4 管 (B)1 管 (C)2 管 (D)3 管。
68. 新一代的 WiFi 技術 IEEE 802.11ac 採用下列哪種頻道? (A)5.5GHz (B)5GHz (C)2.5GHz (D)2.4GHz。
69. 下列哪一種設備可將多個來源的信號同時匯集到一條纜線上傳送? (A)橋接器(Bridge) (B)數據機(MODEM) (C)多工 器(Multiplexer) (D)集線器(Hub)。
70. 依據「建築物屋內外電信設備設置技術規範」規定,從建築物外引進供建築物本身使用之電信電纜或光纜,稱為? (A) 垂直線纜 (B)配線線纜 (C)水平線纜 (D)引進線纜。
71. 從事專業性工作,在服務顧客時應有的態度為何? (A)選擇最安全、經濟及有效的方法完成工作 (B)選擇工時較長、獲利 較多的方法服務客戶 (C)為了降低成本,可以降低安全標準 (D)不必顧及雇主和顧客的立場。
72. 目前 TCP 已定義埠(Well-Known Port)之分布範圍為下列何者? (A)0~127 (B)0~255 (C)0~511 (D)0~1023。
73. 依據 ANSI/TIA-568-C.2 規定,水平布線所採用的網路對絞線中每一對線扭曲一圈的最大距離為何? (A)40mm (B)42mm (C)38mm (D)36mm。
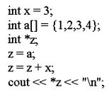
74. 下列 C/C++程式片段,輸出結果何者正確?
(A)2 (B)3 (C)4 (D)1。
75. 在 OSI(Open System Interconnection)通信協定中,電子郵件的服務屬於下列哪一層? (A)傳送層(Transport Layer) (B)應 用層(Application Layer) (C)交談層(Session Layer) (D)表示層(Presentation Layer)。
76. 在設定網路連線時,SMTP 伺服器所指為何? (A)收信伺服器 (B)檔案伺服器 (C)寄信伺服器 (D)網站伺服器。
77. 開放式系統互連的參考模型中,採用何種佈線係由以下哪一層通訊協定決定? (A)傳輸(Transport)層 (B)實體 (Physical)層 (C)資料鏈路(Data Link)層 (D)網路(Network)層。
78. 透過淋浴習慣的改變就可以節約用水,以下選項何者正確? (A)淋浴沖澡流下的水,可以儲蓄洗菜使用 (B)淋浴時抹肥 皂,無需將蓮蓬頭暫時關上 (C)等待熱水前流出的冷水可以用水桶接起來再利用 (D)淋浴流下的水不可以刷洗浴室地板。
79. 以下那一項員工的作為符合敬業精神? (A)運用雇主的資源,從事個人工作 (B)利用正常工作時間從事私人事務 (C)未經雇 主同意擅離工作崗位 (D)謹守職場紀律及禮節,尊重客戶隱私。
80. 使用鑽孔機時,不應使用下列何護具? (A)棉紗手套 (B)耳塞 (C)防塵口罩 (D)護目鏡