所屬科目:物理化學(包括化工熱力學)
一、下列為一種真實氣體方程式。 請以 B 與 C 表示該氣體的壓力、體積及溫度之臨界常數(Pc、Vc、Tc) (15 分),並計算臨界狀態之壓縮因子的表達式。(10 分)
(一)當碳酸鈣(CaCO₃)以方解石(calcite)形式轉變為另一晶型霰石(aragonite)時,其莫耳內能變化為+ 0.21 kJ mol⁻¹。已知兩種晶型的密度分別為 2.71 g-cm⁻³(方解石)與 2.93 g-cm⁻³(霰石),在壓力為 1.0 bar 的條件下,計算莫耳焓變化與內能變化之間的差值。(8 分)
(二)在非常低的溫度下,固體的熱容量與 T³成正比,可表示為 Cp,m= aT3。 當此物質從 0 K 加熱至溫度 T(且 T 接近 0)時,其焓變化為何?(5 分)
(三)當 2.0 mol 的 CO₂在恆壓 1.25 atm 下被加熱時,溫度從 250 K 升高至 277 K。已知 CO₂在恆壓下的莫耳熱容量為 37.11 J K⁻¹ mol⁻¹,請計算 q、ΔH 與 ΔU。(12 分)
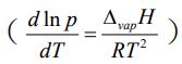
(一)請推導液體-氣體相界面的 Clapeyron 方程式。從關係式dμ (liquid)=d μ(vapor)出發。(10 分)
(二)請計算在三相點時:1.液體-氣體相界面與2.固體-氣體相界面的斜率 。已知水在三相點(6.1 mbar,273 K)時的熔化焓為 dT RT 2 6.008 kJ mol⁻¹,汽化焓為 45 kJ mol⁻¹。(8 分)
(三)請問水跟其他大部分的物質在固體-氣體、固體-液體及液體-氣體相變過程中,主要差異是上述三項的那一種?其原因為何?(7 分)
(一)戊烷異構化為 2-甲基丁烷(CH₃ (CH₂)₃CH₃(g) → (CH₃)₂CHCH₂CH₃(g))在298 K 時的標準吉布斯自由能(Gibbs free energy)約為−6.7 kJ mol⁻¹。請問此反應的平衡常數為何?(6 分)
(二)若發現氣相反應 A⇌B 在平衡時 A 與 B 的分壓相等,則 ΔrG 的數值為何?(6 分)
(三)對於反應 N₂(g)+ 3 H₂(g) ⇌ 2 NH₃(g)於 298 K,已知 ΔrH0 = −92.2 kJ mol−1且 ΔrS0 = −198.8 J K−1 mol−1。此反應的平衡常數為何?(6 分)
(四)對反應 N₂(g)+ 3 H₂(g)⇌2 NH₃(g)在 298 K 時平衡常數為 6.1 × 105,請利用標準反應焓 ΔrH0 = −92.2 kJ mol−1 估算 500 K 時合成氨的平衡常數。 (7 分)