所屬科目:基礎工程力學、材料與試驗
1. 如圖(一)所示,桁架在F、G、H三點分別承受大小為P、2P及3P的向下力。若桁架各桿件拉力與壓力的容許軸力均為70kN,則容許P力最大為何?(A) 10.5 kN(B) 16.0kN(C) 20.0kN(D) 26.7 kN
2. 如圖 ( 二 ) 所示,一均質長方形物體,寬 60 cm,高 240 cm,重量為 420 N,物體與地面間之靜摩擦係數為0.4,若施加P力可使物體移動而不發生傾倒時,則最高位置H為何?(A) 47.5 cm (B) 52.5cm (C) 75.5cm (D) 100 cm
3. 下列平面力系中,C 點與D點為光滑銷釘連接,虛線表示集中力F作用線,在何種受力條件下,AD 構件中各斷面均不會產生剪力與彎曲力矩?(A)條件甲、條件丁 (B)條件乙、條件丙 (C)條件丙、條件丁 (D)條件甲、條件乙
4. 空間力系中的一力 F 在右手座標系沿 x、 y、 z 軸之分力大小分別為 F x、 F y、 F z, F 與 +x、+y、+z軸之夾角分別為θx、θy、θz,下列敘述何者錯誤? (A) cos 2θx+cos 2θy+cos2θz<1 (B) cosθx=Fx/ (C) cosθz=Fz/ (D)力F 的大小為
5. 如圖 ( 三 ) 所示之簡支梁承受一個均變荷重,則 A 點支承垂直反力 R A 與 B 點支承垂直反力 R B 之大小為何?(A)RA =21.9kN,RB =17.1kN (B)RA =19.5 kN,RB =19.5kN(C)RA =17.1 kN,RB =21.9 kN (D)RA =27.5kN,RB =11.5kN
6. 一力F 分解成沿u 與v 方向之兩分力大小分別為Fu與 Fv,若Fu與 Fv分別等於F在 u與 v 方向上的投影量,下列何者正確? (A) (B) (C) (D)
7. 如圖 ( 四 ) 所示之箱型斷面與其剪應力分布圖,斷面承受一 500 kgf 之剪力,A 點為翼板與腹板之交接處,則剪應力τ2與τ1之比值τ2 / τ1為何? (A) 1.0 (B) 2.0 (C) 2.5 (D) 3.0
8. 如圖( 五)所示之甲梁與乙梁,甲梁A點之彎曲力矩與剪力為MA與VA,乙梁 B點之彎曲力矩與剪力為MB與VB,下列何者正確?(A)VA =0,VB =0,MB =6MA (B)VA =0,VB =0,MB =3MA(C)VA =P,VB =0,MB =6MA (D)VA =0,VB =P/ 2,MB =3MA
9. 如圖 ( 六 ) 所示之受均勻分布荷重簡支梁及斷面,中空斷面之外高與內高分別為 2 h 與 h, 梁跨度為h 之16倍,若該梁的最大彎曲應力為12kgf/ cm2 ,則斷面中之b 為何? (A) 32 cm (B) 25cm (C) 16cm (D) 10 cm
10. 梁承受兩力偶荷重,其對應之彎曲力矩(M)與剪力(V)圖形何者正確?(A) (B)(C) (D)
11. 如圖 ( 七 ) 所示之延性材料繩索 AC 與 BC,於 C 點承受一向下 P 力,二繩索之斷面積皆為0.2cm2,降伏強度σy=30MPa,若取安全係數F.S=2,則容許之P力為何?(A) 120N(B) 240N(C) 480N(D) 720N
12. 如圖 ( 八 ) 之實心正立方體塊,其長寬高皆相同,其 x 軸受一正的軸向應力 σ0 及 y 軸受一負的軸向應力σ0,彈性係數為E,蒲松比ν為0.2,則其體積應變εV為何? (A) 0 (B) 0.2σ0 /E (C) 0.8σ0 /E (D)σ0 /E
13. 如圖(九)所示之均質平板重量為400N,其承受一個向下力F以及一個繞CB軸之力偶矩,A點與B點分別為鉸支承與滾支承,C點以自重為零的繩索懸吊,若繩索的拉力為300 N, 則F的大小為何?(A) 400N (B) 300N (C) 200N (D) 100N
14. 如圖(十)所示,一桿件受到500 kN軸向拉力作用,桿件斷面為邊長10 cm之正方形。斜面n- n與垂直面m-m夾角為30°,下列桿件應力狀態的敘述何者錯誤?(A)莫爾圓之圓心座標為( 25MPa ,0 ) (B)最大主應力為50MPa(C)最大剪應力面上之應力元素為 (D) n–n 斜面上之應力元素為
15. 如圖(十一)所示,一梯子視為剛體且不考慮自重,斜靠在光滑牆壁上,牆壁與地面垂直, 梯子底端與地面的靜摩擦係數為0.3。若要讓一位重量600 N工作人員爬至梯子頂端B點, 需在A點施加一水平力P,使梯子不致滑動,則P為何? (A) 100N (B) 200N (C) 270N (D) 650N
16. 如圖( 十二 ) 之物體固接於地面,垂直拉力 40 kN 造成之垂直拉伸位移為0.2 cm,水平剪力20 kN 造成之橫向位移為0.28 cm,則物體之蒲松比ν為何?(A) 0.1(B) 0.2(C) 0.3(D) 0.4
17. 如圖 ( 十三 ) 所示,由兩個半圓所圍成之斜線面積,已知 r = 0.25 R,若斜線面積形心之y 座標值為 0.6 H,則 H 為何?( 完整半圓形心位置 ( x , y ) = ( 0, 4 R / 3 π ) )(A) 12R/ 10π(B) 21R/ 10π(C) 12R/ 20π(D) 21R/ 20π
18. 如圖 ( 十四 ) 所示,一平面應力元素,若最大剪應力為 50 MPa,則應力元素之 ( σx , σy )應為多少 MPa?(A)(σx ,σy)=( 100 , 20 )(B)(σx ,σy)=(- 100 , 20 )(C)(σx ,σy)=( 90 , 30 )(D)(σx ,σy)=(- 90 , 30 )
19. 如圖 ( 十五 ) 所示,桁架甲與桁架乙的材料彈性係數及各桿件斷面積皆相同,下列敘述何者錯誤? (A)二桁架之LG桿件內力相同 (B)二桁架之MB桿件皆為零桿 (C)二桁架之MI桿件皆產生縮短,且桁架甲之MI桿件縮短量大於桁架乙之MI桿件 (D)二桁架之MC桿件皆產生伸長,且桁架甲之MC桿件伸長量大於桁架乙之MC桿件
20. 如圖 ( 十六 ) 所示之平面力系承受兩個集中力、一個均變荷重、以及一個力偶矩,A 點為固定支承,將原力系合成為具有一單力合力之等值力系,下列敘述何者正確? (A)等值力系與原力系具有不同的外效應 (B)單力合力作用線交於AB構件距A點垂直距離為2m (C)單力合力作用線交於BC構件距B點水平距離為2m (D)單力合力大小為9 kN
21. 有關營建材料品質管制的敘述,下列何者錯誤? (A)材料品質僅受到人員、機械、材料的影響 (B)以統計方法為基礎的品質管制技術,稱為統計品管 (C)試驗報告上具有TAF認證Logo,則具備高信度和高效度 (D)營建材料經過試驗合格後,若施工過程未按照施工規範進行,則整體結果仍不符預期的工程品質
22. 依 CNS 15992 執行水硬性水泥砂漿流度試驗,測得水泥砂漿經流動台 15 秒內跌落 25 次,量測砂漿底部直徑分別為21.2cm、21.4cm、21.6cm、21.8 cm,此水泥砂漿流度值為何? (A) 215% (B) 212% (C) 115% (D) 100%
23. 依 CNS 4940 規定,用於室內或室外牆壁塗料之乳膠漆,主要是使用何種稀釋劑調整其濃稠度以降低黏性? (A)甲苯 (B)香蕉水 (C)松香水 (D)水
24. 洛杉磯磨損試驗、篩分析試驗、李氏比重瓶試驗、吸水率試驗、費開氏針稠度試驗,屬於粗粒料物理性質之試驗方法有幾種? (A) 2種 (B) 3種 (C) 4種 (D) 5種
25. 國內高性能綠建材係指性能有高度表現之建材或材料組件,能克服傳統建材或建材組件性能缺陷,以提升品質效能。下列何者不是目前高性能綠建材的標章評定項目? (A)防音 (B)防火 (C)節能 (D)透水
26. 下列何種材料最適合作為清水模板使用?(A)鋼製模板 (B)木心板 (C)塑合板 (D)密集板
27. 有關木材性質之敘述,下列何者正確? (A)黑檀木之氣乾比重約在0.6~0.7 (B)木材乾燥時,通常游離水先蒸發,而吸收水仍存於木材內 (C)木材內細胞壁中所含的游離水,其含量約占木材全乾重量之60% (D) 木材在加工前之含水量應控制在氣乾狀態下的飽和纖維點,以防止木材在組立後發生大量變形
28. 在相同配比條件下,以 40 % 的水淬高爐石粉取代卜特蘭 Ι 型水泥所產製之混凝土,與純卜特蘭 Ι 型水泥混凝土相較,下列敘述何者較為正確? (A)早期強度發展較快 (B)耐久性較差 (C)降低碳排放量 (D)增加水化熱
29. 建築師欲以六種不同抗壓強度的紅磚,選用於某河濱公園設計案的圍牆。若以CNS382普通磚對於抗壓強度的區分規定,下列何種組合完全符合2種磚規定? ①抗壓強度10MPa ②抗壓強度16MPa ③抗壓強度18MPa ④抗壓強度22MPa ⑤抗壓強度25MPa ⑥抗壓強度30MPa (A)①② (B)③④ (C)④⑤ (D)②⑥
30. 隨著屋齡增加,早期興建的房屋結構強度日漸老化,更潛藏建築物耐震強度不足之問題,因此對老屋健檢以進行建築物耐震能力評估是極為重要。其中評估老屋的混凝土品質之方法,下列何者較不適合? (A)鑽心試體抗壓強度試驗 (B)混凝土衝錘試驗法 (C)超音波測定法 (D)成熟度測定儀強度試驗法
31. 金門大橋橋墩施工時,為抵抗混凝土結構產生硫酸鹽侵蝕及降低水化熱,因此採用第Ⅱ型卜特蘭水泥作為部分混凝土材料,此材料主要是限制水泥何種化合物成分含量? (A)C2S (B)C3S (C)C2A (D)C3A
32. 一般鐵礦中的雜質大多數為酸性的矽砂 ( SiO2 ) ,因此在煉製生鐵時會加入何種助熔劑與矽砂反應形成熔融液,以除去鐵礦中的雜質? (A)焦炭 (B)石灰石 (C)黏土 (D)砂岩
33. 某家具施做需使用25根角材,一根角材的尺寸為100cm×20 cm×20 cm,則該家具總材積為何(不包含施工時的損耗)? (A) 300才 (B) 320才 (C) 340才 (D) 360才
34. 依據 CNS 11272 水硬性水泥密度試驗法及 CNS 487 細粒料密度、相對密度及吸水率試驗(重力法)規定,分別進行水泥及細粒料密度試驗,下列敘述何者正確? (A)使用相同之比重瓶 (B)材料皆需達到面乾內飽和狀態 (C)試驗過程中皆有排除空氣之動作 (D)比重瓶內之液體皆為水
35. 實驗室進行粗粒料篩分析試驗,試驗結果如表(一)所示,其細度模數與最大粒徑(粒料能100%通過之最小篩號)為何? (A) 4.32;3 / 2" (B) 6.99;3 / 2" (C) 4.32;1 " (D) 6.99;1"
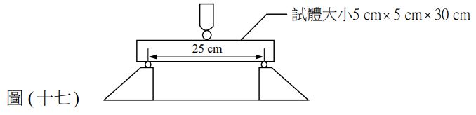
36. 實驗室採用5 cm× 5 cm×30 cm的正方柱試體進行石材抗彎強度試驗,已知試驗機承壓板兩支點相距25 cm,在試體頂面中央位置施加集中載重至破壞止,如圖(十七),破壞時之最大載重為800kgf,此石材抗彎強度為何? (A) 240 kgf/ cm² (B) 160kgf/ cm² (C) 107kgf/ cm² (D) 80 kgf/ cm²
37. 汽車保險桿製造之材料,須考量高抗衝擊性及優異的表面質感。下列哪種熱塑性高分子材料較為適合? (A)聚胺基甲酸酯樹脂(PU) (B)聚乙烯(PE) (C)環氧樹脂(EP) (D)丙烯腈-丁二烯-苯乙烯共聚物(ABS)
38. 某預拌廠使用廠內經沉澱處理後之回收水做為混凝土拌和用水,並依據 CNS 13961 規定針對水泥砂漿抗壓強度、凝結時間與酸鹼度 ( pH ) 進行拌和水性能試驗,並以自來水做為控制組試樣進行比對。控制組試樣測試結果:水泥砂漿 7 天抗壓強度為 350 kgf / cm2 , 初凝及終凝時間分別為 120 分鐘及 240 分鐘,pH 為 7。下列何者回收水性能試驗結果為 合格標準? (A) 水泥砂漿 7 天抗壓強度為 320 kgf / cm2、初凝及終凝時間分別為 90 分鐘及 200 分鐘、 pH為6.5 (B)水泥砂漿 7 天抗壓強度為 320 kgf / cm2、初凝及終凝時間分別為 50 分鐘及 180 分鐘、 pH為7.5 (C)水泥砂漿 7 天抗壓強度為 280 kgf / cm2、初凝及終凝時間分別為 90 分鐘及 200 分鐘、 pH為6 (D) 水泥砂漿 7 天抗壓強度為 280 kgf / cm2、初凝及終凝時間分別為 50 分鐘及 180 分鐘、pH為7
39. 有關瀝青材料之性質與試驗,下列何者正確?①針入度試驗以定負荷重量( 100 g及200 g )為標準針②針入度值在85~150間定義為中硬度瀝青③瀝青材料與粒料拌和時黏度太低,會使工作性太差或不易拌和④試樣軟化點係用儀器左右兩邊鋼球於加熱時落下30mm對應的平均溫度(A)①② (B)②③ (C)③④ (D)①④
40. 使用 D 16 鋼筋進行拉力試驗,D 16 鋼筋的近似剖面積為 200 mm2,測試結果如表 ( 二 ) ,下列何者正確? (A)降伏強度為30 kgf/mm²,伸長率為20% (B)降伏強度為30kgf/mm²,伸長率為15% (C)降伏強度為45kgf/mm²,伸長率為20% (D)降伏強度為45 kgf/mm²,伸長率為15%