所屬科目:技師◆結構設計
一、如圖所示鋼筋混凝土橫箍筋柱斷面,柱斷面承受軸壓力與單軸彎矩,柱 寬 b = 50 cm , 深 度 h = 60 cm 。 拉力 鋼筋及壓力鋼筋總面積相同為 ,鋼筋降伏強度 ,混凝土抗壓強度 。已知在 = 0.003、壓力筋應變 =0.002 的極限狀態 下,柱軸壓計算強度 203 tf 。當柱斷面承受軸壓計算強度 = 265 tf ,求 此時柱斷面所能承受之最大彎矩計算強度及強度折減係數 Φ ,已知對 應此極限狀態的中性軸 c < 31.8 cm 。
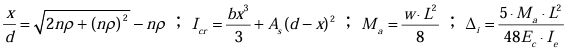
二、如圖所示為簡支梁之均勻矩形斷面,鋼筋彈性模數 = 2040000 kgf cm 2 , 混凝土彈性模數 = 250000 kgf cm 2 ,拉力鋼筋面積 = 30.4 cm 2 。此矩形斷面在混凝土未開裂之斷面慣性矩 = 630000 cm 4 、開裂彎矩 = 7 tf-m 。 梁跨度 L = 8 m , 承受靜載重 = 1.0 tf m , 活 載重 = 0.9 tf m 。 求簡支梁中點於靜載重與活載重作用時之即時撓度,及其對應活載重所引致的即時撓度 。
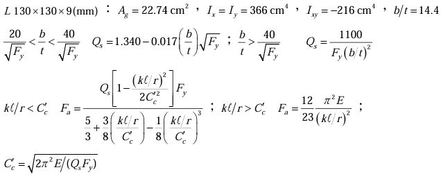
三、兩端鉸接承受壓力的鋼構桿件,採用 L 130 × 130 × 9(mm) 等邊角鋼,桿件長度 325 cm ,降伏應力= 2.55 tf cm2 ,彈性模數 E = 2040 tf cm2 。試求此桿件之容許軸壓強度。
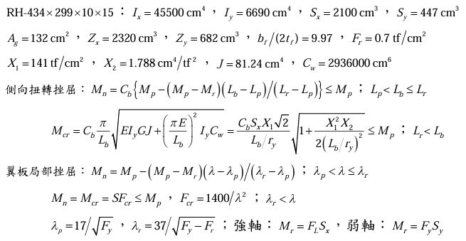
四、依極限設計法(LRFD)設計之一簡支鋼梁,其跨距為 600 cm ,採用 RH-434 × 299 × 10 ×15(mm) 熱軋型鋼(腹板為結實構件),兩端支承點皆有側向支撐,降伏應力 = 3.5 tf cm2 , = 304 cm 、 = 792 cm ,撓曲修正係數 Cb = 1.2 。試求此鋼梁強軸與弱軸之標稱撓曲強度。