所屬科目:國中技藝◆電機電子群
101. 瓦特計之電流線圈,其匝數及線徑為(A)匝數多線徑細(B)匝數少線徑細(C)匝數少線徑粗(D)匝數多線徑粗。
102. 在感應型瓦時計的鋁質圓盤上鑽小圓孔,其主要目的是(A)幫助啟動 (B)阻尼作用 (C)防止圓盤之潛動 (D)增加轉矩
103. 感應型瓦時計之永久磁鐵作用為(A)阻尼作用 (B)增加轉矩 (C)克服圓盤摩擦 (D)防止圓盤之潛動
104. 測量電路之絕緣應使用(A)三用電表 (B)高阻計 (C)鉤式電流表 (D)接地電阻計
105. 有 150 伏之直流電壓表其內阻為 170kΩ,希望能測到 300 伏時,需串聯多少 kΩ 之電阻?(A)100 (B)170 (C)240 (D)34 0
106. 線電流為 10A 之平衡三相三線式負載系統,以鉤式電流表任鉤其中二線量測電流時,其值為(A)0A (B)10A (C)20 A (D)30A
107. 利用電壓表、電流表,測量未知電阻,如屬低電阻時,為減少誤差宜採用下列何種法? (A) (B) (C) (D)
108. 新設屋內配線之低壓電路的絕緣電阻測定應測量(A)導線間之絕緣電阻 (B)導線與大地間之絕緣電阻 (C)導線間及導線與大地間之絕緣電阻 (D)無硬性規定。
109. 低壓電路之絕緣電阻測定應使用(A)三用電表 (B)絕緣電阻計 (C)鉤式電流表 (D)接地電阻計。
110. 如下圖所示,檢流計 G 指示值為零時,Rx 等於多少歐姆?(A)2 (B)3 (C)4 (D)8。
111. 如下圖所示,電流表內阻為1Ω,其滿刻度電流為10毫安,當並聯1/9Ω的分流器時,可量測的線路電流最大值為多少毫安?
(A) 400 (B)300 (C)200 (D)100
112. 內阻為9Ω之100mA直流電流表,如欲擴大量測範圍,測量1A之負載電流,則需並聯多少Ω之分流器?(A)99 (B)19 (C)10 (D)1
113. 使用零相比流器(ZCT)之目的是(A)量測大電流 (B)量測大電壓 (C)量測功率 (D)檢出零相電流
114. 一般稱一度電是指 1kW 的負載使用多少小時?(A)1 (B) 2 (C) 5 (D)10
115. 瓦特表係測量負載之(A)無效功率 (B)有效功率 (C)視在功率 (D)功率因數
116. 仟乏計係測量負載之(A)視在功率 (B)無效功率 (C)功率因數 (D)有效功率
117. 瓦時計係測量負載之(A)視在功率 (B)無效功率 (C)電能 (D)功率因數
118. 電度表計量為下列何者乘積?(A)電壓與電流 (B)電壓與時間 (C)電流與時間 (D)電力與時間
119. 瓦時計又可稱為(A)瓦特表 (B)電度表 (C)伏特表 (D)安培表
120. 鉤式電流表主要用於量測(A)交流電壓 (B)交流電流 (C)直流電壓 (D)直流電流
121. 電機工程中機械功率的單位為馬力,1馬力等於多少瓦?(A)0.746 (B)1 (C)746 (D)1000。
122. 有n個相同之電池,其串聯總電動勢為並聯總電動勢之多少倍?(A) n2 (B)n (C)1/n (D) 1/n2。
123. 電能的單位係以下列何者表示?(A) J (B) W (C) C (D)A
124. 電功率單位係以下列何者表示?(A) J (B) W (C) C (D)A
125. 電容的單位係以下列何者表示?(A) V (B) A(C) F (D)Ω
126. 惠斯登電橋中之檢流計其功用是(A)記錄電流 (B)積算電流 (C)檢查 (D)遙測電流
127. 惠斯登電橋平衡時,檢流計 G 應指示為何?(A) 0 (B) 1 (C) 2 (D) 3
128. 已知R1=2Ω,R2=R3=4Ω,則其並聯總電阻為多少Ω?(A)1 (B)2 (C)4 (D)8
129. 已知R1=2Ω,R2=R3=3Ω,則其串聯總電阻為多少Ω?(A)1 (B)2 (C)4 (D)8
130. 直流電壓100伏加在20Ω電阻之兩端,則流過電阻的電流為多少A?(A)5 (B)10 (C)15 (D)20
131. 10 歐姆電阻通以5 安電流,則電阻兩端之端電壓為多少伏?(A)15 (B)25 (C)50 (D)60
132. 將50V 電壓接於一電阻時,測得電流為2.5A,其電阻值為(A)50Ω (B)20Ω (C)12.5Ω(D)0.05Ω
133. 若電路之電壓為220V,電阻為20Ω,則其電流為(A)5 (B)10 (C)11 (D)15 安培
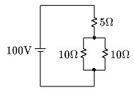
134. 如下圖電路所示,於5電阻消耗功率為多少瓦特? (A) 200 (B) 250 (C) 400 (D) 500
135. 如下圖所示,若E、R1、R2均保持不變,則R3增加時,R2中之電流將 (A)增加 (B) 減少 (C)不變 (D)不一定
136. 如右圖電路所示 ,6電阻兩端之電壓降為多少伏? (A) 0 (B) 44 (C) 66 (D) 110
137. 同電壓10W燈泡之電阻為100W燈泡之電阻多少倍?(A)1/10 (B)1/5 (C)1 (D)10
138. 在交流串聯電路中,如 R=3Ω,X=4Ω,則其總阻抗應為多少 Ω?(A)1 (B)5 (C) 7 (D)12
139. 以 100/5 比流器附安培表測量某負載電流,如比流器二次側之電流值為 2 安培,則負載電流為多少安?(A)10 (B)20 (C)30 (D)40
140. 比流器的二次額定電流為 5A,如其二次側迴路的阻抗值為 0.4Ω 時,該比流器之負擔為多少伏安?(A)16 (B)10 (C) 8 (D)4
141. 如下圖所示R1及R2均為110V 60W之電燈,當電源為110V時,而開關S為ON狀態,則R1燈(A)亮 (B)半亮 (C)不亮 (D)燒燬
142. 如下圖所示,若開關S閉合時,則AB間電阻值為多少Ω?(A)6 (B)10 (C)13 (D)22 導線之連接處理
143. 用PVC 絕緣帶纏繞導線之連接部分時,應就PVC 絕緣帶寬度多少比例重疊交互纏繞?(A)1/2 (B)1/3 (C)1/4 (D)1/5
144. PVC 絕緣帶纏繞導線連接部分時,應掩護原導線之絕緣外皮多少公厘以上?(A)5 (B)10 (C)15 (D)20
145. 電氣爐內之配線得選用之導線為(A)PVC 絞線 (B)PVC 花線 (C)裸銅線 (D)電纜線
146. 19股絞線如採用不加紮線之延長連接時,應先剪去其中心之幾股線後再連接?(A)1 (B)3 (C)5 (D)7
147. 七股絞線以不加紮線之分岐連接時,每股應紮幾圈以上?(A)3 (B)4 (C)5 (D)6
148. 由多股裸線扭絞而成之導線稱為(A)裸線 (B)延長線 (C)花線 (D)絞線
149. 絞線接於開關時,如在線頭加焊錫或使用壓接端子可(A)減少接觸電阻 (B)提高溫升 (C)增加電壓降 (D)降低耐張強度
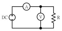
150. 銅線之電阻與(A)截面積成正比 (B)長度成正比 (C)溫度成反比 (D)電流成正比