所屬科目:機械設計
一、如圖所示之鐵框弓形手工鋸是由 S20C 鋼(抗拉強度 = 889 MPa、降伏強度 = 496 MPa)所製成。當鎖緊螺絲時鋸片之拉力為 480 N,在考量 曲樑(curved beam)之彎曲應力集中影響( r 為截面形心到曲率中心之曲率半徑) ,試以鐵鋸管形結構部分不產生塑性變形之設計下,計算其設計之安全係數。
二、有一使用於精密機械上之圓形桿件,承受在 4 kN 至 22 kN 間週期變動 之軸向負荷。桿件上之應力集中可忽略,而使用之材料抗拉強度 = 1000 MPa、降伏強度 = 820 MPa,在 103 次週期負載壽命之疲勞強 度為 0.75 Su、修正後之疲勞限(endurance limit)Se = 420 MPa。在設計 安全係數為 2.0 時,試以 Goodman 理論求在 2.5 × 105 次週期負載壽命下應該設計之桿件直徑。
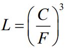
三、有一單列深溝滾珠軸承,軸承規格編號為 6208(靜態 C0 = 11.6 kN、動 態 C = 16.8 kN、額定壽命 1 × 106 revs),使用時每小時內承受下列之組 合負載:徑向負載 F1 = 3000 N、t1 = 30 min;徑向負載 F2 = 3500 N、 t2 = 10 min ; 徑向負載 F3 = 1150 N 、 t3 = 20 min 。 軸承之轉 速固定為 600 rpm,試求此軸承之預期壽命為多少小時?(參考公式:滾珠軸承設計公式 )
四、如圖所示之皮帶輪傳動裝置,主動皮帶輪節圓半徑 r = 150 mm,靜止組裝時滑軌上之拉力維持在 F0 = 500 N,產生皮帶上之初始拉力。若皮帶傳動時主動輪上輸出功率為 5.0 kW、轉速 n 為 1200 rpm,且皮帶與皮帶輪間之摩擦力夠大、皮帶不打滑,試求運轉時皮帶在緊邊與鬆邊分別之拉力。