所屬科目:海岸工程
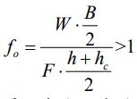
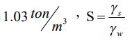
一、作用於直立堤之衝擊波壓可使用廣井(Hiroi)公式來計算,其波壓分布由堤底至堤頂皆假設為均勻分布,波壓公式為p1.5gH,H為堤前設計波高。假設設計波高為5m,週期為10sec之波浪作用於沉箱堤,沉箱堤堤頂高度hc為2.5m,設計水深h為8m,沉箱堤寬B為10m,波浪作用時會有越波現象。請用廣井公式計算沉箱堤之滑動與傾倒係數,並說明沉箱堤是否安定。不考慮作用於沉箱堤底之上揚力以及堤內之波壓變化。海水與混凝土之單位體積重分別為1.03ton/m3與2.4ton/m3,沉箱之滑動摩擦係數為μ=0.6。
註:滑動係數安定條件:,傾倒係數安定條件:
,其中F為作用於沉箱之單位寬度波力,W為沉箱單位寬度水中重量。
二、考慮一規則波斜向入射於海域等深線與平直海岸線平行之海岸,假設底床坡度為1/30,海灘底質粒徑(D)為0.12mm。深海入射波浪波高H0為3m,波浪週期T0為6sec,波浪入射角度20度,碎波之波向角為10度。計算碎波波高Hb、碎波點離海岸線之距離以及碎波帶內之沿岸流平均流速V?H碎波水深hb(m)為。
註:下標“0”及“b”分別表示深海處及碎波處之相關物理量。
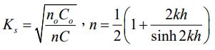
折射係數與淺化係數,沿岸流平均流速(m/sec):。
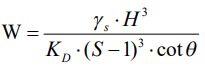
三、考慮塊石防波堤其堤面坡度為1:2.5,堤前水深為6.5m。此塊石防波堤興建於底床坡度1:30之均勻海床上。深海設計示性波高H0為5m,週期T0為7.3sec,此波浪係從深海正向入射至塊石防波堤堤前,即有波浪淺化,而無折射現象。請計算所需之塊石重量?
註:Hudson公式,塊石單位體積重﹕:水單位體積重=,W:塊石重量(ton),θ:堤面坡度,H:堤前波高(m),=2.8
四、因應氣候變遷影響,聯合國氣候變化綱要公約針對海岸地區建議三項基本調適策略:保護(Protect)、適應(Accommodate)及撤退(Retreat)。請依此三種調適策略,針對臺灣目前之海岸現況提出適合之對策。
五、為提供海岸防護工程規劃及設計之依據,必須進行海陸域之水深地形測量。請說明現行海岸地形水深測量引用之控制系統、水域測量測深作業規定(作業前與作業中)以及海域水深測量之範圍如何決定。