所屬科目:技檢◆化工-丙級
1. 下列有關蒸餾酒的敘述,何者錯誤? (A)酒精之含量較其他酒類為高且在 40%以上 (B)市售啤酒屬於蒸餾酒 (C)是將釀造酒再加蒸餾所得 (D)通常可貯存較長的時間。
2. 下列何者不是基本因次? (A)長度 (B)時間 (C)速度 (D)質量。
3. 香水在靜止的空氣中擴散,是 (A)對流擴散 (B)熱擴散 (C)分子擴散 (D)渦流擴散。
4. 關於放射線性質的敘述,下列何者錯誤? (A)穿透力:α<β<γ (B)感光作用:γ>β>α (C)游離 作用:α>β>γ (D)速度:γ<β<α。
5. 在某一溫度下,空氣中所含水蒸氣的分壓與同溫下飽和水蒸氣壓之比稱 (A)飽和濕度 (B)相對濕度 (C) 百分濕度 (D)濕度。
6. 在工廠設備上儀表 值為若干 1bm..sec? (A)1 (B)9.8 (C)980 (D)32.174。
7. 經過合成所生成之氨氣產品,大部分是如何處理? (A)用吸收劑加以吸收 (B)立刻和酸反應生成酸性 的銨鹽 (C)經冷卻液化而成液氨 (D)通入水中以生成氨水。
8. 當用電設備遭遇電源不足或輸配電設備受限制時,導致用戶暫停或減少用電的情形,常以下列何者 名稱出現? (A)配電 (B)限電 (C)斷電 (D)停電。
9. 乾燥操作在恆速期進入減速期時,物料所具有的水分,稱為 (A)自由水含量 (B)平衡水含量 (C)總水含 量 (D)臨界水含量。
10. 以 Al 2O3 或 Cr2O3 為主要成分的耐火物,稱為 (A)酸性耐火物 (B)鹼性耐火物 (C)中性耐火物 (D)兩性耐 火物。
11. 化工廠操作之蒸餾塔用來提高酒的濃度,未蒸餾前酒中含酒精 10%,流率 2kg/s,蒸餾後塔頂為 40 %酒精,流率 0.4kg/s,問塔底的酒精溶液離開時濃度為多少%? (A)6.5% (B)8% (C)2.5% (D)5%。
12. 桶裝化學品必須露天堆存時,為確保其品質,應______ 堆放。(A)斜置 (B)臥置 (C)正置 (D)倒置
13. 溴化正丙基鎂在稀酸中水解時,可得到何種生成物? (A)正丙醇 (B)異丙醇 (C)丙烷 (D)丙酸。
14. 欲去除工廠廢氣中的二氧化硫,可使廢氣通過何種物質的水溶液? (A)碳酸鈣 (B)硫酸鈉 (C)氯化鈉 (D) 硫酸鈣。
15. 因故意或過失而不法侵害他人之營業秘密者,負損害賠償責任該損害賠償之請求權,自請求權人知 有行為及賠償義務人時起,幾年間不行使就會消滅? (A)2 年 (B)7 年 (C)10 年 (D)5 年。
16. 下列何者非為防範有害物食入之方法? (A)常洗手、漱口 (B)穿工作服 (C)有害物與食物隔離 (D)不在工 作場所進食或飲水。
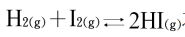
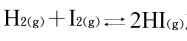
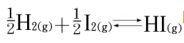
17. 在 t℃時之平衡常數為 64,在同溫下, 的平衡常數為多少? (A)32 (B)4 (C)16 (D)8。
18. 根據消除對婦女一切形式歧視公約(CEDAW),下列何者正確? (A)只關心女性在政治方面的人權和 基本自由 (B)對婦女的歧視指基於性別而作的任何區別、排斥或限制 (C)未要求政府需消除個人或企 業對女性的歧視 (D)傳統習俗應予保護及傳承,即使含有歧視女性的部分,也不可以改變。
19. 最適合用於食品工業的管子是 (A)鉛管 (B)不銹鋼管 (C)銅管 (D)鋁管。
20. 往復泵之總效率為 (A)容積效率×壓力效率 (B)容積效率×水缸效率 (C)容積效率÷水缸效率 (D)水缸效率 ×壓力效率。
21. 台灣電力公司電價表所指的夏月用電月份(電價比其他月份高)是為 (A)7/1〜10/31 (B)6/1〜9/30 (C)4/1 〜7/31 (D)5/1〜8/31。
22. 濃度為 0.2M 之 H2 SO4 溶液,其當量濃度為 (A)0.2N (B)0.4N (C)2N (D)4N。
23. 熱量傳送推動力是為 (A)溫度差 (B)濃度差 (C)電位差 (D)壓力差。
24. 液體的黏度隨溫度的增加而 (A)不一定 (B)增加 (C)不變 (D)減少。
25. 下列各種樹脂用的添加劑中,何者的功用是在於確保樹脂於加工或使用期間,不因光或熱的作用而 發生劣化現象? (A)發泡劑 (B)安定劑 (C)著色劑 (D)可塑劑。
26. 隔膜法中陽極採用石墨,主要原因是除了對氯之過電壓較低外,尚有 (A)所得之 NaOH 溶液純度較高 (B)耐濕氣之侵蝕 (C)更換電極容易且價格便宜 (D)耐強鹼性。
27. 聚乙烯之合成法依聚合壓力之不同而有多種方法,何種製法中所得之 PE 塑膠,密度最高且硬度之 相對值最大? (A)標準石油法(Standard Oil Process) (B)ICI 法(Imperial Chemical Industries Process) (C)飛利浦法(Phillips Process) (D)齊格勒法(Ziegler Process)。
28. 因舉重而扭腰係由於身體動作不自然姿勢,動作之反彈,引起扭筋、扭腰及形成類似狀態造成職業 災害,其災害類型為下列何者? (A)不當設備 (B)不當動作 (C)不當方針 (D)不當狀態。
29. 欲將牛奶乾燥製成奶粉,以何種乾燥器較適當? (A)流體化乾燥器 (B)噴淋乾燥器 (C)盤式乾燥器 (D)旋 轉乾燥器。
30. 電腦機房使用時間長、耗電量大,下列何項措施對電腦機房之用電管理較不適當? (A)使用較高效率 之空調設備 (B)設置冷熱通道 (C)使用新型高效能電腦設備 (D)機房設定較低之溫度。
31. 化學性安定、耐蝕、不變色且量少致價格昂貴者稱為 (A)重金屬 (B)貴金屬 (C)輕金屬 (D)卑金屬。
32. 下列何者是酸雨對環境的影響? (A)湖泊水質酸化 (B)土壤肥沃 (C)增加森林生長速度 (D)增加水生動物 種類。
33. 一般電子式傳送器最常用的信號範圍是 (A)4-20mA (B)5-20psi (C)10-50mA (D)2-4 伏特。
34. 在 727℃時之值為多少? (A)1.5 (B)1.0 (C)3.2 (D)2.4。
35. 下列何種物質之熔點最高? (A)石墨 (B)鎢 (C)金鋼石 (D)矽。
36. 下列何者不是造成全球暖化的元凶? (A)種植樹木 (B)汽機車排放的廢氣 (C)火力發電廠所排放的廢氣 (D)工廠所排放的廢氣。
37. 葡萄酒是為 (A)單醱酵酒 (B)複醱酵酒 (C)混合酒 (D)蒸餾酒。
38. 浮力式浮標液位計,主要是在測量浮標的何種變量? (A)體積 (B)面積 (C)位移 (D)重量。
39. 石油分餾使不同成分分離,是利用各成分之何種性質差異? (A)溶解度 (B)濃度 (C)沸點 (D)溶點。
40. 內含某陽離子的丙酮溶液,當加入 NH4SCN 後,溶液呈藍色,則此溶液內含有何種離子? (A) (B) (C) (D)。
41. 可能對勞工之心理或精神狀況造成負面影響的狀態,如異常工作壓力、超時工作、語言脅迫或恐嚇 等,可歸屬於下列何者管理不當? (A)職業衛生 (B)職業健康 (C)職業安全 (D)環保。
42. 硼酸之簡易檢驗法,是將其酒精溶液點火燃燒時,可產生何種顏色之火焰? (A)橙色 (B)綠色 (C)藍色 (D)紫色。
43. 個人資料保護法規定為保護當事人權益,幾人以上的當事人提出告訴,就可以進行團體訴訟? (A)20 人 (B)10 人 (C)15 人 (D)5 人。
44. 賦予塗膜色彩並使塗膜因而具有遮蔽的能力的成分為 (A)可塑劑 (B)乾燥劑 (C)硬化劑 (D)顏料。
45. 酸鹼滴定時,滴加指示劑之最適劑量為多少滴? (A)2~3 (B)5~8 (C)20~25 (D)10~15。
46. 下列何者的溶解度會隨溫度的升高而顯著增加? (A)Hg 2 Cl 2 (B)AgCl (C)PbCl 2 (D)HgCl 2。
47. 從事專業性工作,在服務顧客時應有的態度為何? (A)選擇工時較長、獲利較多的方法服務客戶 (B) 選擇最安全、經濟及有效的方法完成工作 (C)不必顧及雇主和顧客的立場 (D)為了降低成本,可以降 低安全標準。
48. 粉狀固體可使用下列何種方法來測出密度? (A)排水法 (B)比重瓶法 (C)比重計 (D)韋氏伐(Westphal) 比重天平。
49. 酸鹼滴定所用之指示劑其本身為 (A)中性 (B)強酸或強鹼 (C)非離子性 (D)弱酸或弱鹼。
50. 在工業上,以何種處理方法,所得到的水質純淨? (A)曝氣法 (B)沈澱法 (C)過濾法 (D)離子交換法。
51. 在蒸發器之附件中,其功能為排除加熱蒸氣之冷凝水的是 (A)晶體濾除器 (B)袪水器 (C)霧沫分離器 (D) 冷凝器。
52. 對非圓形管其相當管徑(Equivalent diameter)為四倍的水力半徑,水力半徑的定義為通道的橫斷 面積對於該通道沾溼周長的比值,則對雙套管熱交換器其環形部分,Di 與 Do 分別為環形的內徑及 外徑(即 Di 為同心管小管之外徑,而 為大管之內徑),則其相當管徑應為 (A) (B) (C)(D)。
53. 有一精餾塔之實際板數為 24,已知理想板數為 19,則總板率為 (A)75% (B)70% (C)65% (D)60%。
54. 化學反應之平衡常數(K),會受下列何種因素之影響而發生改變? (A)濃度 (B)催化劑 (C)溫度 (D)壓 力。
55. 焰色試驗時呈無色並發出強光的鹼土元素是 (A)Ca (B)Ba (C)Sr (D)Mg。
56. 用來改變管線流體方向的管件是 (A)肘管 (B)管套節 (C)管帽 (D)異徑接頭。
57. 以焓-濃度圖決定一混合物的比焓值時,由已知濃度對應於下列何項即可求得? (A)壓力 (B)體積 (C) 溫度 (D)莫耳數。
58. 若有 50mL、0.10N 的欲以 0.10N 的 滴定時,已知=0.77V;=1.61V,當達當量點時之電位為多少 V? (A)0.84V (B)1.19V (C)2.38V (D)0.42V。
59. 可藉由下列何者改善河川水質且兼具提供動植物良好棲地環境? (A)水庫 (B)滯洪池 (C)人工溼地 (D)運 動公園。
60. 下列關於旋風分離器的敘述,何者錯誤? (A)集塵效果優於袋濾機 (B)含塵氣體需以切線方向送入旋 風分離機內 (C)空氣中的灰塵可利用旋風分離器 (D)旋風分離器是利用離心力來驅動,所以不須加設 離心機。
61. 壓力計顯示為 10.3psig 時,其絕對壓力為 (A)2 大氣壓 (B)25psia (C)103 水柱 (D)11.3psia。
62. 流體化乾燥機(Fluidized dryer)可適用於乾燥何種物料? (A)染料 (B)蔗糖 (C)水泥 (D)布匹。
63. 細懸浮微粒(PM2 . 5)除了來自於污染源直接排放外,亦可能經由下列哪一種反應產生? (A)光合作 用 (B)酸鹼中和 (C)厭氧作用 (D)光化學反應。
64. 道耳吞(Dalton)的原子說可用來解釋下列何種定律? (A)質能不滅定律 (B)質量不滅定律 (C)氣體反 應體積定律 (D)電解定律。
65. 不可壓縮的流體在圓管內流動時,流速之最大處是位在 (A)離管中央之 1/3 處 (B)離管中央之 1/2 處 (C)管中央處 (D)管壁處。
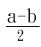
66. 若 ,則 的 E°值為多少? (A)(B)a-b (C)a+b (D) 。
67. CH3 CH2 CH2OH 與 CH3 CHOHCH3 兩者之間,是屬於何種異構物? (A)碳鏈異構物 (B)幾何異構物 (C)位 置異構物 (D)官能基異構物。
68. 一個糖水的 200kg 溶解槽,上方有兩支管子分別流入 2.0kg/min 的糖及 20kg/min 的水,流動一段時 間後,200kg 糖水槽維持穩定水位,則糖水槽下方流出糖水濃度為多少%? (A)10% (B)3% (C)9.1% (D)6%。
69. 奧立佛(Oliver)濾機是屬於 (A)壓濾機 (B)離心濾機 (C)真空濾機 (D)重力濾機。
70. 下列有關攪拌的敘述,何者正確?(1)有助於質量與熱量的傳送(2)使物料的濃度與溫度更均勻 (3)攪拌時,若液體形成規則性漩渦迴轉,混合效果良好 (A)(1)(3) (B)(2)(3) (C)(1)(2) (D)(1)(2)(3)。
71. 何者是天然氣主要成分? (A)丙烷 (B)乙炔 (C)甲烷 (D)乙烯。
72. KMnO4 溶液在酸性下當氧化劑時,其克當量應為多少?(式量=158.04) (A)52.68g (B)31.61g (C)79.02g (D)158.04g。
73. 濃度相同的下列各無機酸,何者之酸性最強? (A)ClO3 (OH) (B)PO(OH) 3 (C)Si(OH) 4 (D)SO2 (OH) 2。
74. 何種鹵素不能形成鹵氧酸? (A)F2 (B)Br 2 (C)I2 (D)Cl2。
75. 現在以接觸法製造 H2 SO4 時,是以何物當催化劑? (A)白金石棉 (B)Fe 2O3 (C)NO2 (D)V2O5。
76. 何者為最常用的白色顏料? (A)CuO (B)TiO2 (C)CaO (D)SiO2。
77. 為防止勞工感電,下列何者為非? (A)避免不當延長接線 (B)使用防水插頭 (C)電線架高或加以防護 (D) 設備有金屬外殼保護即可免接地。
78. 以活性污泥法處理廢水時,須加入何種氣體? (A)氧氣 (B)二氧化碳 (C)硫化氫 (D)氮氣。
79. 醫院、飯店或宿舍之熱水系統耗能大,要設置熱水系統時,應優先選用何種熱水系統較節能? (A)瓦 斯熱水系統 (B)熱泵熱水系統 (C)電能熱水系統 (D)重油熱水系統。
80. 下列關於流量計的敘述,何者為錯誤? (A)家庭用的水錶是往復活塞式體積流量計 (B)浮子流量計是 屬於變面積式流量計 (C)皮托管測定的缺點為不能測量稍帶固體微粒或黏滯的流體 (D)孔口板流量計 屬於差壓式流量計。