所屬科目:技檢◆電腦軟體設計-Java-乙級
1. 假設有一分支度(Order)為 17 之 B-tree,下列敘述何者是正確? (A)若此 B-tree 之高度為 4(共 4 層),則第 4 層之鍵值總數最少的情形為 1296 個 (B)樹根節點至少有 9 個子節點 (C)樹根節點至少 有 8 個鍵值(Key) (D)若此 B-tree 之高度為 3(共 3 層),則鍵值總數最少的情形為 108 個。
2. 下列何者在 Java 語言中視為 false? (A)-1 (B)0 (C)-100 (D)1。
3. 下列有關 UML 聚合(Aggregation) 、 組合(Composition)、 關聯(Association)等三種關係的強烈程 度,何者為真? (A)聚合> 關聯> 組合 (B)組合> 聚合> 關聯 (C)關聯> 聚合> 組合 (D)聚合 > 組合> 關聯。
4. 有關著作權的敘述,下列何者錯誤? (A)我們到表演場所觀看表演時,不可隨便錄音或錄影 (B)高 普考試題,不受著作權法保護 (C)網路上供人下載的免費軟體,都不受著作權法保護,所以我可以燒成大補帖光碟,再去賣給別人 (D)到攝影展上,拿相機拍攝展示的作品,分贈給朋友,是侵害著作權的行為。
5. 在 UML 類別圖(Class Diagram)中,類別沒有自己直接的實例(Instances),稱為下列何者? (A)空 白類別(Empty Class) (B)間接類別(Indirect Class) (C)不完全類別(Incomplete Class) (D)抽象類別 (Abstract Class)。
6. UML 組合(Composition)關係與組成部分有其生命延展關係,下列敘述哪一個正確? (A)可分離, 子類別不可單獨存在 (B)不可分離,子類別可單獨存在 (C)可分離,子類別可單獨存在 (D)不可分 離,子類別不可單獨存在。
7. 以下對於 Java 程式的 main method 的描述,何者正確? (A)一個 String 參數 (B)一個 String 陣列參 數 (C)回傳值資料型態不可以是 void (D)沒有參數。
8. Java 語言中限定一個主體區塊,使用以下哪一種符號? (A)/**/ (B)() (C)"" (D){}。
9. 有關 Java 處理 I/O 的敘述,下述何者正確? (A)開啟二元檔以寫入資料可以使用 PrintWriter 和 FileOutputStream 建構子 (B)能做輸出資料到一個檔案或從另一個檔案輸入資料 (C)檔案無法開啟時 會產生 FileNotCreatedException 錯誤 (D)不需用到 import java.io.*指令。
10. 基於節能減碳的目標,下列何種光源發光效率最低,不鼓勵使用? (A)省電燈泡 (B)螢光燈管 (C)白 熾燈泡 (D)LED 燈泡。
11. 下列 CPU 排班程式(Scheduler),哪一項於時間配額用完時會進入預備佇列(Ready Queues)中? (A) 最高反應率的工作先服務(Highest-Response-Ratio-Next) (B)最短工作先服務(Shortest-Job-First) (C) 剩餘最短的工作先服務(Shortest-Remaining-Time-First) (D)多層回饋佇列(Multi-level-FeedbackQueue)。
12. 外食自備餐具是落實綠色消費的哪一項表現? (A)回收再生 (B)降低成本 (C)重複使用 (D)環保選購。
13. 依職業安全衛生設施規則規定,下列何者非屬使用合梯,應符合之規定? (A)梯腳與地面之角度應 在 80 度以上 (B)合梯應具有堅固之構造 (C)有安全之防滑梯面 (D)合梯材質不得有顯著之損傷、腐蝕等。
14. 有關 TCP/IP 通訊協定的敘述,下列哪一項是錯誤的? (A)IP 是 Internet Protocol 的簡稱 (B)TCP 是 非連接(Connectionless)導向的協定 (C)TCP/IP 是網際網路的通訊協定 (D)TCP 通訊協定相對於 OSI 通訊協定中的第四層。
15. 下列仿 C 的程式片段,執行結果輸出為何者?
(A)yx (B)xyzy (C)xyzx (D)yzy。
16. 依勞工職業災害保險及保護法規定,勞工職業災害保險以下列何者為保險人,辦理保險業務? (A) 財團法人職業災害預防及重建中心 (B)勞動部職業安全衛生署 (C)勞動部勞工保險局 (D)勞動部勞動 基金運用局。
17. 依經濟部能源署「指定能源用戶應遵行之節約能源規定」,在正常使用條件下,公眾出入之場所 其室內冷氣溫度平均值不得低於攝氏幾度? (A)22 (B)26 (C)24 (D)25。
18. 字母"B"的 ASCII 碼以二進位表示為"01000010",若電腦傳輸內容為"101000010",以便檢查該字 母的正確性,則下列敘述何者正確? (A)不做任何正確性的檢查 (B)使用二進位數檢查 (C)使用奇數 同位元檢查 (D)使用偶數同位元檢查。
19. C/C++ 語言中限定一個主體區塊,使用下列何種符號? (A)" " (B)( ) (C){ } (D)/* */。
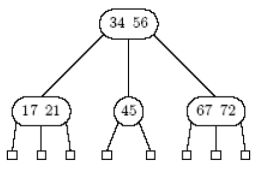
20. 下圖分支度(Order)為 3 之 B-tree,下列敘述何者是正確的?
(A)插入鍵值(Key)10 於原始 B-tree, 則此 B-tree 之節點共有 1 次分裂(Split) (B)插入鍵值(Key)60 於原始 B-tree,則鍵值 56 是放在根 (Root)節點內 (C)插入鍵值(Key)55 於原始 B-tree,則此 B-tree 之節點共有 1 次分裂(Split) (D)插入 鍵值(Key)50 於原始 B-tree,則此 B-tree 之高度會增加。
21. 對於功能相依性(Functional Dependency)的描述,下列何者有誤? (A)多個功能相依性的表示法可 以合併成一個功能相依圖(Functional Dependency Diagram) (B)功能相依性是可用推演規則 (Inference Rules)來推導 (C)功能相依性可定義於多個關聯表(Relational Table)上 (D)若 A 是關聯表 R 的一個候選鍵(Candidate Key),則每個 R 中的屬性都會功能相依於 A。
22. 有三位學生各設計一個演算法解決同一個問題,並以兩組不同資料量進行測試,測試結果如下: (i)若資料量 n 為 10,第一位學生演算法之執行時間為 1ms、第二位學生演算法之執行時間為1/100ms、第三位學生演算法之執行時間為 1/1000ms(ii),若資料量 n 為 100,第一位學生演算法 之執行時間為 10ms、第二位學生演算法之執行時間為 1ms、第三位學生演算法之執行時間為1ms,下列敘述何者是正確的? (A)第三位學生演算法之時間複雜度為 O(n 2 ) (B)當資料量 n 小於1000 時,第二位之學生演算法較具效率 (C)第一位學生演算法之時間複雜度為 O(log n) (D)第二位 學生演算法之時間複雜度為 O(n log n)。
23. 有關 UML 的敘述何者正確? (A)是一種第三代程式語言 (B)是適用於特殊領域 (C)到目前只有 UML1 (D)是一種塑模語言。
24. 有關電腦儲存資料所需記憶體的大小排序,下列何者正確? (A)1GB>1MB>1TB>1KB (B)1TB>1KB>1MB>1GB (C)1KB>1GB>1MB>1TB (D)1TB>1GB>1MB>1KB。
25. 有關記憶體的敘述,下列何者「不正確」? (A)在系統軟體中,透過軟體與輔助儲存體來擴展主記 憶體容量,使數個大型程式得以同時放在主記憶體內執行的技術是虛擬記憶體(Virtual Memory) (B)個人電腦上大都有 Level 1(L1)及 Level 2(L2)快取記憶體(Cache Memory),其中 L1 快取的速度 較快,但容量較小 (C)CPU 中的暫存器執行速度比主記憶體快 (D)快取磁碟(Disk Cache)是利用記憶 體中的快取記憶體(Cache Memory)來存放資料。
26. 有關 Java 語言中變數和常數作用的敘述,下列何者錯誤? (A)程式中可以操作、改變常數值 (B)常 數存放固定數值,可以是整數,浮點,字串的資料型態 (C)變數用來存放資料,以利程式執行,可以是整數、浮點或字串的資料型態 (D)程式中可以操作及改變變數的值。
27. 以下 Java 程式執行完後,輸出結果為何?
(A)0.0 (B)無法編譯,因為 Shapes 類別設定為 abstract 而無法產生 Rectangle 物件 (C)無法編譯,因為 Rectangle 類別沒有預設建構子 (D)無法編譯,因為 Shapes 物件不是 Rectangle 類別。
28. 塑膠為海洋生態的殺手,所以政府推動「無塑海洋」政策,下列何項不是減少塑膠危害海洋生態 的重要措施? (A)定期進行海水水質監測 (B)淨灘、淨海 (C)擴大禁止免費供應塑膠袋 (D)禁止製造、 進口及販售含塑膠柔珠的清潔用品。
29. 有關一般建議的 Java 程式寫作風格何者正確? (A)全域常數命名以全大寫字母和底線區隔複合字 (B)指標變數命名以小寫 p 開頭 (C)最好以動作命名方法(method) (D)程式指令最好全部都往左對齊, 不要有任何空白縮排。
30. 從事專業性工作,在服務顧客時應有的態度為何? (A)選擇最安全、經濟及有效的方法完成工作 (B)為了降低成本,可以降低安全標準 (C)選擇工時較長、獲利較多的方法服務客戶 (D)不必顧及雇 主和顧客的立場。
31. 對於下列 C/C++程式,何者敘述正確?
(A)若 a[2][2]={{1, 2}, {3, 4}}及 b[2][2]= {{1,0},{2,-3}}, 執行結束後 c[2][2]= {{5,6}, {11,12}} (B)將 a 及 b 兩矩陣相加後,儲存至 c 矩陣 (C)若 a 及 b 均為2x2 矩陣,最外層 for 迴圈執行 4 次 (D)若 a 及 b 均為 2x2 矩陣,最內層 for 迴圈執行 8 次。
32. 資料共有 4096 筆,若採用二元搜尋法(Binary Search),最差情況下需搜尋幾次才能找到一筆已知 的資料? (A)13 (B)12 (C)14 (D)11。
33. 關聯式資料表(Relational Table)R(A,B,C) ,A、B 二屬性均是單值(Single-Valued),C 屬性值 則為多值(Multi-Valued),則 R 最多已做到哪一種 Normal Form(NF)? (A)不滿足任何正規化 (B)滿 足第三正規化 (C)滿足第一正規化 (D)滿足第二正規化。
34. 為了取得良好的水資源,通常在河川的哪一段興建水庫? (A)下游 (B)下游出口 (C)上游 (D)中游。
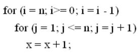
35. 用電熱爐煮火鍋,採用中溫 50%加熱,比用高溫 100%加熱,將同一鍋水煮開,下列何者是對 的? (A)中溫 50%加熱比較省電 (B)中溫 50%加熱,電流反而比較大 (C)兩種方式用電量是一樣的 (D) 高溫 100%加熱比較省電。
36. 下列何種生活小習慣的改變可減少細懸浮微粒(PM2 . 5)排放,共同為改善空氣品質盡一份心力? (A)每天喝 500cc 的水 (B)養成運動習慣 (C)使用吸塵器 (D)少吃燒烤食物。
37. 下列那一項不是資料鏈結層(Data Link Layer)主要功能? (A)終點對終點資料傳輸 (B)流量控制 (C) 錯誤更正 (D)鏈路建立與解除。
38. 目的程式 (Object Program)經由下列哪一種處理而產生可執行程式? (A)Loader (載入程式) (B)Assembler (組合程式) (C)Interpreter (直譯程式) (D)Linker (連結程式)。
39. 有一整數序列 26, 59, 77, 31, 51, 11, 19, 42 以 Merge Sort 由小而大排序,第一階段(Pass)的合併 結果,下列何者是正確的? (A)11, 19, 26, 31, 42, 59, 51, 77 (B)31, 51, 11, 42, 26, 77, 59, 19 (C)26,11, 19, 31, 51, 59, 77,42 (D)26, 59, 31, 77, 11, 51, 19, 42。
40. 一 Java 程式片段如下,執行後下列何者為其輸出?
(A)[A, B, C, D] (B)[A, B, C, D, [A], [B]] (C)[A, B, C, D, [A, B]] (D)[A, B, C, D, A, B]。
41. 以下為一 C 語言撰寫之遞迴函式(Recursive Function) ,假設 N≧0,而此函式是用來計算 0 至 N 之間的所有整數之和,則空格中應填入以下何者?
(A)return(N-1)+Sum(N-1) (B)while(N<>0)return N+Sum(N+1) (C)return N+Sum(N-1) (D)return(N-1)+Sum(N)。
42. 編譯程式(Compiler)將高階語言翻譯至可執行的過程中,下列何者是連結程式(Linker)負責連結的 標的? (A)原始程式與可執行程式 (B)原始程式與目的程式 (C)目的程式與所需之副程式 (D)副程式與 可執行程式。
43. 石綿最可能引起下列何種疾病? (A)白指症 (B)巴金森氏症 (C)間皮細胞瘤 (D)心臟病。
44. 有關資訊系統安全措施,下列敘述何者「不正確」? (A)加密保護機密資料 (B)網路公用檔案設定 成「唯讀」 (C)使用者不定期更改密碼 (D)系統管理者統一保管使用者密碼。
45. 非公務機關利用個人資料進行行銷時,下列敘述何者錯誤? (A)於首次行銷時,應提供當事人表示 拒絕行銷之方式 (B)倘非公務機關違反「應即停止利用其個人資料行銷」之義務,未於限期內改正 者,按次處新臺幣 2 萬元以上 20 萬元以下罰鍰 (C)若已取得當事人書面同意,當事人即不得拒絕 利用其個人資料行銷 (D)當事人表示拒絕接受行銷時,應停止利用其個人資料。
46. 物聯網(IoT)通訊物件通常具備移動性,為支援這樣的通訊特性,需求的網路技術主要為下列何者? (A)網格運算 (B)物件動態連結 (C)分散式運算 (D)跨網域運算能力。
47. 下列仿 C++程式片段之計算時間,何者正確?
(A)θ(log n) (B)θ(n ) (C)θ(n log n) (D)θ(n 2 )。
48. 工廠或交通工具排放空氣污染物之檢查,下列何者錯誤? (A)檢查人員以嗅覺進行氨氣濃度之判定 (B)檢查人員以嗅覺進行異味濃度之判定 (C)檢查人員以肉眼進行粒狀污染物不透光率之判定 (D)依 中央主管機關規定之方法使用儀器進行檢查。
49. 下列何種服務可將 Domain Name 對應為 IP 位址? (A)DHCP (B)WINS (C)Proxy (D)DNS。
50. 下列仿 C 程式片段,若 n=5,程式執行後回傳(Return)值為何?
(A)2 (B)3 (C)8 (D)5。
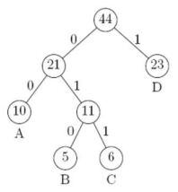
51. 下圖為符號 A、B、C、D 之 Huffman Tree,若壓縮碼為 00000111010,經還原成明碼後,所產生之明碼符號個數共有幾個?
(A)4 (B)5 (C)7 (D)6。
52. 下列哪一項關於陣列(Array)與鏈結串列(Linked List)的敘述正確? (A)陣列的大小通常不易決定, 而利用鏈結串列儲存資料可以事先決定所需的儲存空間大小 (B)陣列的存取方式為循序存取 (Sequential Access) (C)從陣列刪除中第一個元素與從鏈結串列刪除第一個元素,其時間複雜度相 同 (D)陣列中資料的插入及刪除可能會造成大量資料移動。
53. 有關 C++語言控制方面的敘述,下列何者有誤? (A)switch 敘述中的每一個 case 都必須以 break 敘 述結束 (B)邏輯運算元 && 可在計算第一個運算子為 false 時, 就可跳過另一運算子, 就確定整 個運算式為 false (C)在重複結構中執行到 continue 敘述, 程式流程立刻跳離剩下的部分, 開始 下一次迴圈 (D)在重複結構中執行到 break 敘述 ,程式流程立刻跳出此結構。
54. 下列何者不是 Java 語言整數資料型態? (A)byte (B)int (C)double (D)short。
55. 下列哪一項不屬於執行副程式時活動紀錄(Activation Record)中之組成元素? (A)實際參數(Actual Parameter) (B)全域變數(Global Variable) (C)返回點(Return Point) (D)區域資料(Local Data)。
56. 下列何者不是區域網路(LAN)常見的技術? (A)FDDI (B)Ethernet (C)ATM (D)Token Ring。
57. 下列哪種系統轉換方式的優點是可以比較新舊系統的輸出統計,以確認新系統的結果是否正確, 並且是非常穩健的方法? (A)階段性轉換(Phased Conversion) (B)平行轉換 (Parallel Conversion) (C) 實驗轉換 (Pilot Conversion) (D)直接轉換 (Direct Conversion)。
58. 受雇者因承辦業務而知悉營業秘密,在離職後對於該營業秘密的處理方式,下列敘述何者正確? (A)僅能自用而不得販售獲取利益 (B)聘雇關係解除後便不再負有保障營業秘密之責 (C)自離職日起 3 年後便不再負有保障營業秘密之責 (D)離職後仍不得洩漏該營業秘密。
59. 關聯式資料表(Relational Table)R(A,B,C) ,A、B、C 三屬性均是單值(Single-Valued),若 {A,B}可決定 C,C 可決定 B,則 R 最多已做到那一種 Normal Form(NF)? (A)BCNF (B)1NF (C)3NF (D)2NF。
60. 下列何者是消除職業病發生率之源頭管理對策? (A)健康檢查 (B)使用個人防護具 (C)多運動 (D)改善作業環境。
61. 在軟體系統開發中,下列那些 UML 圖可用於系統的動態建模? (A)狀態圖(State Diagram) (B)活動 圖(Activity Diagram) (C)類別圖(Class Diagram) (D)循序圖(Sequence Diagram)。
62. 計算 5 的 25 次方除以 7 所得的餘數為 m,計算 5 的 10 次方除以 7 所得的餘數為 n,下列哪些正 確? (A)m/n=3 (B)2m+n=12 (C)m+n=7 (D)m×n=6。
63. C++中有關指定運算的型態轉換(Type Conversion on Assignment),下列描述哪些是正確的? (A) 若左值的型態為浮點數型態,右值的型態為整數型態,數字會失真 (B)若左值的型態為整數型態, 右值的型態為浮點數型態,右值的小數部分會四捨五入後指定給左值 (C)若左值的型態為長整數型 態,右值的型態為短整數型態,程式會將短整數轉換成長整數後再指定給左值 (D)若左值的型態為 短整數型態,右值的型態為長整數型態,可能會發生截位(Truncation)的狀況。
64. 有關於統一塑模語言(UML),下列哪些敘述是正確的? (A)部署圖(Deployment Diagram)描述軟體元 件如何部署在各個處理器上 (B)狀態圖(State Diagram)描述一個物件或系統在其生命週期中的所有 可能狀態及其狀態轉換關係 (C)使用個案圖(Use Case Diagram)描述類別的定義與類別之間的關係 (D)循序圖(Sequence Diagram)描述物件之間的互動行為,強調以時間發生之先後順序來表達物件 間的訊息傳遞與處理程式。
65. 有關 Java 語言的敘述,下列哪些正確? (A)Java 可支援多重實體類別之繼承 (B)Java 具備物件導向 技術的特性 (C)Java 程式有高度的可攜性(Portability),同一 Byte Code 檔可在不同機器的 Virtual Machine 中執行 (D)Java 函式間,一律以 Call-by-Reference 傳遞參數。
66. 假設某一語言是由以下的文法規則產生,有關此一文法之敘述,哪些是正確的?
(A)字串 aaabbbb 可由此文法規則產生 (B)字串 aaaba 可由此文法規則產生 (C)字串 bbbabb 可由此文法規則產生 (D)字 串 bbbaabb 可由此文法規則產生。
67. 使用 SQL 查詢,若要以部門為計算單位,計算出每個「部門的員工薪資總額大於 500,000」的部 門名稱時,必須用到下列哪些關鍵字? (A)COUNT (B)GROUP BY (C)HAVING (D)SUM。
68. 關於 CPU 行程排班演算法,下列哪些正確? (A)最短優先法(SJF)有可能造成飢餓現象 (B)先來先服 務(FCFS)排班法適用於分時系統 (C)輪流法(Round Robin)的時間片段(Time Slice)若非常大,其效 果會類似於先來先服務(FCFS)排班法 (D)優先權(Priority)排班法有可能造成飢餓現象。
69. 下列哪些 Java 語言指令敘述,其修飾子的使用是不合法的? (A)abstract double d; (B)class MyClass extends WindowAdapter implements WindowListener { /** **/} (C)friend class Base { /** **/} (D)public transient void bMethod() { /** **/}。
70. 下列哪些屬於線性串列? (A)圖形 (B)樹 (C)佇列 (D)堆疊。
71. 關於 SQL 語法的使用,以下哪些敘述是正確的? (A)DISTINCT 可以用來移除查詢結果中的重複值 組(Tuple) (B)EXISTS 可以用來找出存在的值組資料數目 (C)LIKE 可以用來查詢比對某個字串的一 部分 (D)要比較屬性是否為 NULL 值,必須用 IS 關鍵字,不可用等號(=)。
72. 有關 Java 語言特性的敘述,下列哪些正確? (A)動態連結(Dynamic Binding)增加程式的執行效率 (B)繼承(Inheritance)使程式易於重用程式碼 (C)多重運算子多載(Operation Overloading)提供方便的 物件運算功能 (D)封裝(Encapsulation)使物件內的資料易於保護。
73. 下列敘述哪些為個資法安全維護措施? (A)成立智財管理委員會 (B)成立管理組織,配置相當資源 (C)建立個人資料蒐集、處理及利用之內部管理程序 (D)建立資料安全稽核機制。
74. 下列程式語言其特性,哪些是屬於 Functional Programming Language? (A)LISP (B)Scheme (C)Prolog (D)C++。
75. 以下哪些是正確的關聯式資料庫設計概念? (A)盡量將多個相關的不同實體(Entity)放在同一個表 格中以提升資料查詢的效率 (B)盡量避免產生重複資料(Redundant),以避免發生更新異常(Update Anomaly) (C)盡量避免設計出會經常產生 NULL 值的欄位 (D)盡量不要將主要鍵(Primary Key)和外 來鍵(Foreign Key)作 JOIN 的操作,以避免產生錯誤資料。
76. 有關雜湊(Hashing)技術,下列哪些正確? (A)插入新資料時,最多只會產生一次碰撞 (B)如果存在 有欲搜尋的資料,則搜尋時產生的碰撞次數與該資料當初新插入時的碰撞次數相同 (C)欲刪除資料 時,找到該筆資料所在位置,然後將其刪除即可 (D)可以插入重複資料。
77. 以相鄰矩陣(Adjacency Matrix)儲存一個有向(Directed)權重圖(Weighted Graph),下列敘述哪些是正確的?(符號∞代表距離無限大)
(A)點節 2 至節點 4 的最短路徑之長度為 4 (B)節點 3 至節點 5 的最短路徑之長度為 10 (C)節點 5 至節點 2 的最短路徑之長度為 2 (D)節點 1 至節點 3 的最短路徑 之長度為 9。
78. Internet 服務所預設的通訊埠,下列哪些正確? (A)SSH:23 (B)FTP:21 (C)TELNET: 22 (D)HTTP:80。
79. 下列為關於 64 位元 CPU 安裝 64 位元作業系統之電腦 A 與 32 位元 CPU 安裝 32 位元作業系統之 電腦 B 的敘述,哪些為錯誤? (A)執行同一功能程式在電腦 A 的行程比在電腦 B 的行程其所需記 憶體空間較小 (B)電腦 A 定址空間較大 (C)電腦 A 處理大量資料比電腦 B 有效率 (D)電腦 A 程式之 機器碼可直接複製到電腦 B 執行。
80. 在 ANSI/SPARC 三層架構中,以下的敘述哪些為正確? (A)修改概念層(Conceptual Layer)並不會影 響外部層(External Layer) (B)主要目的為達成資料獨立的特性 (C)修改內部層(Internal Layer)並不會 影響概念層(Conceptual Layer) (D)主要目的為達成物件導向的特性。