所屬科目:技檢◆室內配線(屋內線路裝修)-丙級
1. 變壓器必須考慮極性之時機為 (A)單相變壓器作屋外使用時 (B)單相變壓器作三相連接時 (C)單相變壓器作降壓使用時 (D)單相變壓器作屋內使用時。
2. 依「用電場所及專任電氣技術人員管理規則」規定,低壓受電且契約容量達多少瓩以上之工廠、礦場或公眾使用之建築物,應置初級電氣技術人員? (A)十 (B)五十 (C)七十 (D)三十。
3. 以手捺開關控制電感性負載時,其負載電流應不超過手捺開關額定電流值之多少%? (A)50 (B)60(C)70 (D)80。
4. 游標卡尺在本尺上每刻劃的尺寸為多少公厘? (A)0.05 (B)0.5 (C)1 (D)0.02。
5. O 型壓接端子,其規格為 5.5-6,其中 6 代表何種意義? (A)螺絲孔徑大小 (B)剝線長度 (C)夾線之線徑 (D)端子總長。
6. 低壓電纜穿入金屬接線盒時,應使用下列何種裝置以防止損傷電纜? (A)電纜夾 (B)護圈 (C)橡皮套圈(D)制止螺絲。
7. 低壓電容器其放電裝置應能於線路斷電後 1 分鐘內將殘留電壓降至多少伏以下? (A)5 (B)100 (C)50(D)150。
8. 台灣西部海岸曾發生的綠牡蠣事件是與下列何種物質污染水體有關? (A)銅 (B)汞 (C)鎘 (D)磷。
9. 有關「童工」之敘述,下列何者正確? (A)不得於午後 8 時至翌晨 8 時之時間內工作 (B)工資不得低於基本工資之 70% (C)每日工作時間不得超過 8 小時 (D)例假日得在監視下工作。
10. 配電盤及配電箱如裝於潮濕場所或在戶外,應屬何種型者? (A)防爆型 (B)防雨型 (C)防震型 (D)防塵型。
11. 單相 220 伏、2 馬力電容器起動型電動機,若滿載電流為 15.5 安,若採用 PVC 管配線,其分路導線應選用多少平方公厘? (A)2.0 (B)3.5 (C)8 (D)5.5。
12. 有關公司訂定誠信經營守則時,下列何者錯誤? (A)防範侵害營業秘密、商標權、專利權、著作權及其他智慧財產權 (B)避免與涉有不誠信行為者進行交易 (C)防範檢舉 (D)建立有效之會計制度及內部 控制制度。
13. 廢棄物、剩餘土石方清除機具應隨車持有證明文件且應載明廢棄物、剩餘土石方之:A 產生源;B處理地點;C 清除公司 (A)ABC 皆是 (B)僅 AC (C)僅 BC (D)僅 AB。
14. 在張力處所,鋁線接頭一般採用之施工方式為 (A)紮接 (B)壓接 (C)焊接 (D)扭接。
15. 斷路器之 IC 值係表示 (A)啟斷容量 (B)跳脫容量 (C)框架容量 (D)積體電路。
16. 連接設備、器具或配線系統至接地極之導線為 (A)被接地導線 (B)非接地導線 (C)非識別導線 (D)接地導線。
17. 第一類場所之懸吊式照明燈具,吊桿長度超過 300 公厘需裝設何種裝置? (A)吊桿不可超過 300 公厘 (B)平衡裝置 (C)斜撐 (D)防墜落裝置。
18. 量測電流值可選用下列何種儀表? (A)安培表 (B)電度表 (C)瓦特表 (D)伏特表。
19. 惠斯登電橋平衡時,檢流計 G 應指示為何? (A)1 (B)3 (C)2 (D)0。
20. 住宅用衣服烘衣機,其名牌額定小於 2000 瓦者,每具負載容量以多少瓦計算之? (A)1800 (B)2500(C)2000 (D)1500。
21. 下列那項不是漏電斷路器的主要規格? (A)動作時間 (B)相序 (C)感度電流 (D)啟斷容量。
22. 銅線之電阻與 (A)電流成正比 (B)截面積成正比 (C)溫度成反比 (D)長度成正比。
23. 用電設備及用電器具之非帶電金屬部分之接地稱為 (A)設備與系統共同接地 (B)低壓電源系統接地 (C)設備接地 (D)內線系統接地。
24. 2 馬力以下及 300 伏以下之固定裝置電動機其操作器得以一般開關代用,惟其額定值最小不得低於全載電流之多少倍? (A)0.75 (B)1.25 (C)2.5 (D)2。
25. 空氣污染源依排放特性分為固定污染源及移動污染源,下列何者屬於移動污染源? (A)石化廠 (B)焚化廠 (C)機車 (D)煉鋼廠。
26. 燈用軌道之銅導體最小應採用多少平方公厘以上? (A)14 (B)5.5 (C)8 (D)3.5。
27. 三用電表測量電阻時,若範圍選擇開關置於 R×10,指針的指示值為 50Ω,則實際的電阻值為多少Ω? (A)500 (B)50000 (C)50 (D)5000。
28. 一具電爐,當額定電壓降低 5%時,其輸入功率將如何? (A)增加 10% (B)減少 10% (C)減少 5% (D)增加 5%。
29. 從事專業性工作,在服務顧客時應有的態度為何? (A)選擇最安全、經濟及有效的方法完成工作 (B) 不必顧及雇主和顧客的立場 (C)選擇工時較長、獲利較多的方法服務客戶 (D)為了降低成本,可以降低安全標準。
30. 非金屬導線管直埋於地下者,其埋於地面下之深度不得低於多少公厘? (A)300 (B)180 (C)600(D)150。
31. 若 MI 電纜不穿在管內,每間隔多少米以內應以護管鐵、護管帶或類似之裝置固定? (A)1.8 (B)2.0(C)2.5 (D)3。
32. 下列何者是消除職業病發生率之源頭管理對策? (A)使用個人防護具 (B)改善作業環境 (C)健康檢查(D)多運動。
33. 下列何者「不是」全球暖化帶來的影響? (A)洪水 (B)旱災 (C)地震 (D)熱浪。
34. 根據氣候變遷因應法,國家溫室氣體長期減量目標於中華民國幾年達成溫室氣體淨零排放? (A)149(B)119 (C)129 (D)139。
35. 三相 Y 接線之電動機、若線電壓為 380 伏,則相電壓約為多少伏? (A)220 (B)190 (C)440 (D)380。
36. 欲兼顧採光及降低經由玻璃部分侵入之熱負載,下列的改善方法何者錯誤? (A)換裝雙層玻璃 (B)加裝深色窗簾 (C)裝設百葉窗 (D)貼隔熱反射膠片。
37. 下列何者不是噪音的危害所造成的現象? (A)精神很集中 (B)煩躁、失眠 (C)緊張、焦慮 (D)工作效率低落。
38. 供裝置開關或斷路器之金屬配電箱對地電壓超過多少伏特時須加以接地? (A)250 (B)200 (C)150(D)300。
39. 金屬可撓導線管若彎曲不多,導線容易穿入及更換者,若線徑不同之絕緣導線穿在同一金屬可撓導線管內時,其導體與絕緣被覆總截面積總和不大於導線管內截面積之多少%? (A)40 (B)32 (C)48 (D)60。
40. 下列所述哪一項為積熱型熔斷器與積熱電驛所應保護之主要目的? (A)線路過載 (B)線路欠相 (C)線路短路 (D)線路逆相。
41. 紅外線燈裝置之內部配線,其導線應使用線徑多少公厘以上之石棉、玻璃纖維等耐熱性絕緣電線?(A)1.6 (B)3.2 (C)2.6 (D)2.0。
42. 不同金屬導線管因為何種效應而需避免互相接觸? (A)熱效應 (B)電蝕效應 (C)電容效應 (D)電磁效應。
43. 管槽在鋼筋混凝土內配管時,以不減損建築物之強度,集中配置時,不超過混凝土厚度之多少為原則? (A)2/3 (B)1/2 (C)3/4 (D)1/3。
44. 有關著作權的敘述,下列何者錯誤? (A)網路上供人下載的免費軟體,都不受著作權法保護,所以我可以燒成大補帖光碟,再去賣給別人 (B)到攝影展上,拿相機拍攝展示的作品,分贈給朋友,是侵害著作權的行為 (C)高普考試題,不受著作權法保護 (D)我們到表演場所觀看表演時,不可隨便錄音或錄影。
45. 電燈、插座及電熱工程所使用單線直徑不得小於多少公厘? (A)2.6 (B)1.2 (C)1.6 (D)2.0。
46. 電力電容器額定電壓在 600 伏以下者,其放電裝置應能於線路斷電後多少分鐘內,將殘留電壓降低至 50 伏以下? (A)5 (B)3 (C)10 (D)1。
47. 地下配線設施中,水氣會進入而碰觸帶電組件之導線管,其一端或兩端,應如何處置? (A)製作排水口 (B)設置風扇 (C)製作通氣口 (D)封密或塞住。
48. 感應電動機之起動方法中,下列何者之起動電流最大? (A)二次電阻起動 (B)全壓起動 (C)起動補償器(D)Y-△起動。
49. 以防止感電事故為目的裝置漏電斷路器者,其動作時間應為多少秒以內? (A)0.1 (B)2 (C)5 (D)10。
50. 電動車供電設備之幹線及分路過電流保護裝置,應為何種型式? (A)週期性責務 (B)連續責務 (C)變動責務 (D)間歇性責務。
51. 下列何種現象「不是」直接造成台灣缺水的原因? (A)台灣地區夏天過熱,致蒸發量過大 (B)因為民生與工商業用水需求量都愈來愈大,所以缺水季節很容易無水可用 (C)地形山高坡陡,所以雨一下 很快就會流入大海 (D)降雨季節分布不平均,有時候連續好幾個月不下雨,有時又會下起豪大雨。
52. 三相 220V△接線之感應電動機,欲接到三相 380V 電源時,應改接為何種接線? (A)Y (B)雙 Y (C)雙 △ (D)V。
53. 每天下班回家後,就懶得再出門去買菜,利用上班時間瀏覽線上購物網站,發現有很多限時搶購的便宜商品,還能在下班前就可以送到公司,下班順便帶回家,省掉好多時間,下列何者最適當? (A)不可以,應該把商品寄回家,不是公司 (B)可以,還能介紹同事一同團購,省更多的錢,增進同 事情誼 (C)不可以,上班不能從事個人私務,應該等下班後再網路購物 (D)可以,又沒離開工作崗位,且能節省時間。
54. 變壓器一次及二次線圈分別為 300 匝及 150 匝,如二次側在無載時測得的電壓為 110 伏,則一次側電源電壓應為多少伏? (A)220 (B)380 (C)110 (D)55。
55. 二種不同負載(如電暖器及冷氣機等)如不致同時使用,則其負載如何計算? (A)取較大容量者 (B)取兩種容量平均值 (C)視使用次數而定 (D)取較小容量者。
56. 對地電壓 220 伏之路燈線路,燈具實施設備單獨接地,接地電阻應在多少歐姆以下? (A)25 (B)50(C)100 (D)5。
57. 敷設金屬導線管時,須與煙囪、熱水管及其他發散熱氣之物體(其間無隔離設備),保持多少公厘以上之間距? (A)650 (B)700 (C)800 (D)500。
58. 低壓 PE 絕緣導線,其絕緣物之最高容許溫度為多少℃? (A)90 (B)80 (C)60 (D)75。
59. 一般家庭住宅處所屋內配線所使用之電源為交流 (A)三相三線式 220V (B)三相三線式 380V (C)三相四線式 220V/380V (D)單相三線式 110V/220V。
60. 公制螺紋大小規格的標示是 (A)節徑與牙數 (B)外徑與節距 (C)外徑與牙數 (D)節徑與節距。
61. 手弓鋼鋸鋸削薄鋼管時,應選用鋸條之齒數為每英吋多少齒? (A)24 (B)14 (C)32 (D)18。
62. 低壓變壓器僅裝設一次側過電流保護裝置,一次側額定電流不超過多少安時,其過電流保護器之額定得選用 15 安? (A)9 (B)12 (C)15 (D)20。
63. 低壓交連 PE 電線之絕緣物最高容許溫度為多少℃? (A)60 (B)75 (C)90 (D)80。
64. 職業安全衛生法所稱有母性健康危害之虞之工作,不包括下列何種工作型態? (A)人力提舉、搬運及推拉重物 (B)輪班及工作負荷 (C)駕駛運輸車輛 (D)長時間站立姿勢作業。
65. 單相 110 V 的電燈分路,若採用單極(1P)無熔線開關作保護,則正確配線方式為 (A)被接地導線經過無熔線開關 (B)非接地導線經過無熔線開關 (C)被接地導線、非接地導線或接地線任意選擇其中一條經過無熔線開關 (D)接地線經過無熔線開關。
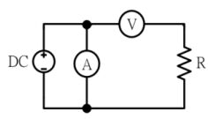
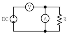
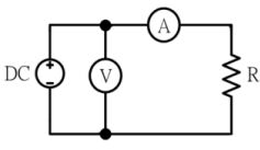
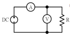
66. 利用電壓表、電流表,測量未知電阻R,如該電阻係屬低電阻時,為減少誤差則宜採用下列何種接法? (A) (B) (C) (D) 。
67. 用來保護電動機分路導線及其本身(指過載設備)免因電動機過載而燒損的是 (A)電動機過載保護器 (B)分段設備 (C)分路過電流保護器 (D)操作器。
68. 使用零相比流器(ZCT)之目的是 (A)量測大電壓 (B)量測大電流 (C)檢出零相電流 (D)量測功率。
69. 請問變比器是指哪兩項設備? (A)變壓器、比壓器 (B)變流器、變頻器 (C)變壓器、變流器 (D)比壓器、比流器。
70. 游標卡尺的游尺刻度以本尺刻度 n 格等分為多少格? (A)n-1 (B)n+2 (C)n+1 (D)n-2。
71. MCCB 係表示 (A)油斷路器 (B)隔離開關 (C)模殼式斷路器 (D)燈用分電盤。
72. 用戶自備電源變壓器,其二次側對地電壓超過多少伏者,應採用設備與系統共同接地? (A)750(B)150 (C)300 (D)600。
73. 電纜相互間之連接不得在下列何者施行?且接續部分不得露出 (A)封閉箱槽內 (B)接線盒 (C)管槽內(D)出線盒。
74. 二條電熱絲串聯連接,若其電阻分別為 R1 及 R2 時,則總電阻為 (A)R1‧R2 (B)R1 +R2 (C)(D) 。
75. 可繞軟線、可繞電纜在 15 安及 20 安分路,導線截面積為多少平方公厘以上者,應視由分路之過電流保護裝置加以保護? (A)4 (B)1 (C)2 (D)3.5。
76. 特別低壓工程之變壓器二次側電壓應在多少伏以下? (A)250 (B)300 (C)100 (D)30。
77. 電動機之運轉狀況係屬一種間歇性的、週期性的,每次運轉時間在多少分鐘以內者,其分路之過電流保護裝置,可視為電動機之過載保護? (A)15 (B)10 (C)20 (D)30。
78. 下列有關工作場所安全衛生之敘述何者有誤? (A)事業單位應備置足夠的零食自動販賣機 (B)勞工應定期接受健康檢查 (C)事業單位應備置足夠急救藥品及器材 (D)對於勞工從事其身體或衣著有被污染之虞之特殊作業時,應備置該勞工洗眼、洗澡、漱口、更衣、洗濯等設備。
79. 在對金屬之工作物加工時,下列何者不得加潤滑油? (A)鋸削 (B)銼削 (C)鉸牙 (D)鑽孔。
80. 特別低壓設施之二次側電路不得如何處置? (A)加裝過電流設備 (B)加裝防護設備 (C)接地 (D)加裝隔離設備。