所屬科目:技檢◆電腦軟體設計-丙級
(A)(1) b Mod a,(2)c=0 (B)(1) a Mod b,(2) c<0 (C)(1) a Mod b, (2) c<>0 (D)(1) b Mod a,(2) c>0 。
(A)185 (B)195 (C)325 (D)365 。
(A)130 (B)146 (C)156 (D)306 。
(A)8 (B)10 (C)12 (D)14 。
(A)52 (B)58 (C)110 (D)120 。
(A)數列之總和 (B)數列之平均 (C)各數之值 (D)各數之差 。
(A)3 (B)6 (C)8 (D)9 。
(A)14 (B)15 (C)20 (D)21 。
(A)4, 0 (B)6, 0 (C)0, -7 (D)0,-4 。
(A)10 (B)20 (C)30 (D)40 。
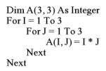
(A)A(2, 1)(B)A(2, 2) (C)A(2, 3) (D)A(3, 1) 。
(A)0 (B)1 (C)10 (D)24 。
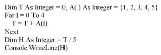
(A)45 (B)50 (C)55 (D)65 。
(A)55 (B)45 (C)1 (D)0 。
(A)45 (B)50 (C)55 (D)60 。
(A)32 (B)16 (C)0 (D)-16 。
(A)32 (B)30 (C)0 (D)-32 。
(A)5 (B)10 (C)15 (D)20 。
(A)78 (B)116 (C)153 (D)168 。
(A)25 (B)55 (C)100 (D)120 。
(A)2 (B)3 (C)4 (D)6 。
(A)Do ...Loop While (B)While...Wend (C)Goto (D)If...Then...Else 。
(A)While...Wend (B)Goto (C)For...Next (D)If...Then...Else... 。
(A)If...Then...Else... (B)For...Next Do...Loop (C)While...Wend (D)Goto 。
(A)Do...While (B)Do...Loop (C)Do...Loop Until (D)Case 。
(A)(B)(C)(D)。
(A)(n-1)+summation(n) (B)n+summation(n) (C)n+summation(n-1) (D)(n-1)+summation(n+1) 。
(A)當 c 為 0 時,則 b 為質數 (B)當 c 為 0 時,則 b 為偶數 (C)當 c 為 1 時,則 b 為質數 (D)當 c 為 1 時,則 b 為偶數 。
(A)將滑鼠指標滑過表單時,印出Hello World! (B)將滑鼠指標在表單上敲擊時,印出 Hello World! (C)利用鍵盤將表單拖曳時,印出 Hello World! (D)利用鍵盤在表單上敲擊時,印出Hello World! 。
(A)X=0 (B)X=1 (C)X=2 (D)X=3 。