阿摩線上測驗
登入
首頁
>
技檢◆工業用管配管-甲級
> 114年 - 12100 工業用管配管 甲級 工作項目 04:管之加工 1-50(2025/12/16 更新)#135002
114年 - 12100 工業用管配管 甲級 工作項目 04:管之加工 1-50(2025/12/16 更新)#135002
科目:
技檢◆工業用管配管-甲級 |
年份:
114年 |
選擇題數:
50 |
申論題數:
0
試卷資訊
所屬科目:
技檢◆工業用管配管-甲級
選擇題 (50)
1. 不銹鋼管之適當熱彎管溫度範圍係在 (A)450-600 (B)650-750 (C)800-900 (D)950-1100 ℃。
2. 熱彎管時管內不可充填 (A)高壓氮氣 (B)乾燥細砂 (C)低壓氬氣 (D)高壓氧氣 。
3. 不考慮器具使用,小管徑以何種彎管法較為經濟? (A)蝦節管製作 (B)冷彎(C)熱彎 (D)高周波灣管 。
4. 受外壓管彎管扁平率一般規定在多少以下? (A)3% (B)5% (C)8% (D)12% 。
5. 熱彎管件熱處理後,如仍有尺寸誤差,不可以何種方式矯正 (A)加熱 (B)冷作 (C)銲補 (D)補土、油漆 。
6. 鍍鋅鋼管銲口加工時,管端內外應自倒角處起多少範圍內完全除鋅 (A)2mm (B)10mm (C)5cm (D)管半徑深度 。
7. 電漿(Plasma)切割機,不可使用氣體為 (A)壓縮空氣 (B)氬氣 (C)氮氣 (D)乙炔氣 。
8. 彎製 6B 彎頭,內側管壁若發生縐紋,其相間兩隆起距離為 4 公分,則凹入深度不可超過多少公厘 (A)1.3 (B)2.3 (C)3.3 (D)4.3 。
9. 碳鋼管加熱彎曲後如何處理為佳? (A)電扇吹冷 (B)浸入水中急冷 (C)浸入油中急冷 (D)在空氣中徐冷 。
10. 捲製大口徑鋼管,應分數次滾壓成型,其製作方式為 (A)捲板機成型法 (B)鍛打法 (C)壓彎法 (D)拉長伸展法 。
11. 一般碳鋼之熔融溫度為 (A)1230℃ (B)1530℃ (C)1830℃ (D)2130℃ 。
12. 氧乙炔切割器使用氧氣純度應至少在多少以上? (A)80% (B)85% (C)90%(D)95% 。
13. 加熱彎管時,填砂若未完全乾燥會造成 (A)管內浸蝕氧化 (B)陷窪變型 (C)起縐紋 (D)厚薄不均 。
14. 電漿(Plasma)切割用氣體其壓縮空氣壓力應在多少 kg/cm2? (A)1.0 (B)2.5(C)3.5 (D)5.0 。
15. 電漿(Plasma)切割鋼板時,鋼板愈厚電流安培數 (A)愈低 (B)愈高 (C)無關係(D)調整切割速度即可 。
16. 鋼管作插管接合時,母管之孔徑應與下列何者相同? (A)支管之內徑 (B)支管之外徑 (C)母管之內徑 (D)母管之外徑 。
17. 現場欲將大管徑鋼管管端加工製作漸縮管時,須使用下列何種設備 (A)電銲設備 (B)油壓設備 (C)氧乙炔氣設備 (D)電動整型設備 。
18. 銅管與鋼管銲接時應採用何種銲接方式? (A)鋁銲 (B)銅銲 (C)CO2銲接 (D)電弧銲接 。
19. 有一支管徑為 65 鋼管欲單彎 90°,彎管半徑為 210,伸長度為 10,設 A段實長為 850,B 段實長為 1200,兩端 5K 凸緣實銲時求取切斷長(單位為mm) (A)1900 (B)1940 (C)1980 (D)2050 。
20. 鋼管加熱彎管時,適當溫度為 (A)750~850℃ (B)1000~1200℃ (C)1200~1400℃ (D)1400~1600℃ 。
21. 20 公厘之鋼管外徑 27.2 公厘,其有效螺牙長度為多少公厘 (A)15 (B)17 (C)19 (D)22 。
22. 氧乙炔氣銲,只允許在公稱管徑幾吋及其以下之碳鋼管線使用? (A)5 吋(B)4 吋 (C)3 吋 (D)2 吋 。
23. 含有多少%之鉻(Cr)鉬(Mo)合金鋼,任何的管厚都應該做應力消除或退火? (A)1~3% (B)4~6% (C)7~9% (D)10~11% 。
24. 合金鋼鋼管施行熱彎時最理想之溫度 (A)1400℉~1750℉ (B)1450℉~2000℉ (C)1550℉~2200℉ (D)1600℉~2400℉ 。
25. 凸緣面不正,其任何方位都不得超出多少 mm? (A)1.6 (B)2.6 (C)3.6 (D)4.6 。
26. 所有縱向的銲接,應具有多少%滲透(滲到銲口的根部) (A)70 (B)80 (C)90(D)100 。
27. 下列何種管必須用電漿切割 (A)鑄鐵管 (B)鋼管 (C)不銹鋼管 (D)銅管 。
28. 用於低合金鋼之銲條,一般的乾燥溫度為多少℃? (A)50~100 (B)100~150 (C)200~250 (D)300~350 。
29. 公稱管徑 100mm 鋼管對接時其點銲之長度宜在 15~20mm,而其點銲位置數為 (A)3 (B)4 (C)5 (D)6 。
30. 止洩材料之選用與下列何者無關 (A)操作的溫度 (B)流體的性質 (C)墊料之型式 (D)管之重量 。
31. 銅管與銅配件做氣銲接合時,所使用之銲條為 (A)鐵銲條 (B)鉛銲條 (C)銀銲條 (D)電銲條 。
32. 管銲接時,銲道下陷為下述何者所致? (A)電流太大 (B)電流太小 (C)電壓太大 (D)電壓太小 。
33. PVCP 熱融銲接溫度為多少度 C? (A)90~100 (B)135~140 (C)175~180 (D)215~220 。
34. 於既設管路,實施切斷分接時,通常須使用之接頭為 (A)直形 (B)T 形 (C)L形 (D)S 形 。
35. 從配水管路鑽孔分接給水管時,除必須要使用不斷水鑽孔機外,尚需使用下列何種配件? (A)止水栓 (B)逆止閥 (C)接合管 (D)三通管 。
36. 氧乙炔火焰銲接軟鋼時,應使用 (A)還原焰 (B)碳化焰 (C)中性焰 (D)氧化焰 。
37. 若電銲作業中,發現電纜線溫度過高,則應改用 (A)較長的導線 (B)較小容量的導線 (C)較大容量的導線 (D)較厚絕緣的導線 。
38. 下列依據建築技術規則,有關管路裝配敘述中,何者為錯誤? (A)配管貫穿壁、樑、樓板或建物的基礎下方時,應有適當的保護措施 (B)排水、通氣管路不得使用由令接頭接合,但在存水彎入口側可使用 (C)給水、熱水、排水、通氣等管路,可以開孔而攻牙或銲接分歧管 (D)給水、熱水管路上,不得裝設滑動裝置(Slide Joint) 。
39. 下圖為 AB 雙彎曲管段,於下列長度求算公式中,何者為錯誤?
(A)
(B)
(C)
(D)
。
40. 氧乙炔切割火焰為中性時,其氧氣與乙炔氣之容積比,理論上為 (A)1:1 (B)1:2 (C)2:1 (D)1:3 。
41. 管路 90 度分歧接合時,其分歧管管端加工之切斜度(θ)如圖
宜為_______度 。(A)15 度 (B)30 度 (C)45 度 (D)60
42. 設有一內徑 20mm 且長 1m 的管段,欲填砂熱彎,則需乾砂為多少公升?(A)0.157 (B)0.314 (C)0.471 (D)0.628 。
43. 管軸偏角或偏位且相距甚短之二管端接裝,應採用下列何種措施 (A)銲口配對 (B)管件配置 (C)現場取模 (D)實物測繪 。
44. 在 3"鋼管管路上裝設一 10K 凸緣式閘閥,若欲使其閥軸傾斜 45 度則管凸緣之配置方位為 (A)
(B)
(C)
(D)
。
45. 氧乙炔氣火焰切割器的標準火焰之溫度約為 (A)600 度 (B)1400 度 (C)2200度 (D)3000 度 。
46. 鋼管鉸紋時,其鉸紋器與直管軸線成為幾度? (A)86 度 (B)88 度 (C)90 度 (D)92 度 。
47. 異種管之連接,下列敘述中何者為錯誤 (A)鑄鐵管與鋼管—使用轉換接頭,作膠合接合 (B)鉛管與銅管—使用軟銲接合或錫銲絲(Plastan)銲接 (C)鋼管與鉛管—使用轉換接頭,作螺紋軟銲或錫銲絲(Plastan)接合 (D)銅管與塑膠管—使用轉換接頭,作軟銲或錫銲絲(Plastan)銲接及膠合接合 。
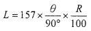
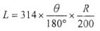
48. 管彎曲時,其彎曲長度之計算公式為 亦可改為 (A)
(B)
(C)
(D)
。
49. 以下氣體,何者適合作為瓦斯切割用氣體? (A)氫和乙炔 (B)氫和液化石油氣(L.P.G) (C)液化石油氣和氧 (D)液化石油氣和乙炔 。
50.
左圖中,接合處之小點係表示 (A)螺紋接合 (B)銲接接合 (C)由令接合(D)壓縮接合 。
申論題 (0)