阿摩線上測驗
登入
首頁
>
技檢◆化工-乙級
> 114年 - 12300 化工 乙級 工作項目 05:單元操作 151-200(2025/12/16 更新)#135079
114年 - 12300 化工 乙級 工作項目 05:單元操作 151-200(2025/12/16 更新)#135079
科目:
技檢◆化工-乙級 |
年份:
114年 |
選擇題數:
50 |
申論題數:
0
試卷資訊
所屬科目:
技檢◆化工-乙級
選擇題 (50)
151. 關於流體化床反應器,下列敘述何者錯誤 (A)反應內溫度容易控制均勻(B)適用於放熱量高之反應 (C)反應器內固體粒子可規則充填 (D)適用於觸媒需經常再生之反應 。
152. 在進行放熱反應之連續攪拌反應器(CSTR),若溫度過高應採下列何種步驟 (A)減少進料流量 (B)減少冷卻水流量 (C)增加攪拌速度 (D)加水入反應物內 。
153. 下列何種情況,會使晶粒長成較大尺寸 (A)緩慢冷卻速率延長結晶時間(B)快速蒸發水分達到過飽和 (C)加入晶種劑 (D)加快攪拌速率 。
154. 下列哪一項不是結晶粒子成長的控制因素 (A)最初結晶溫度和溫差梯度(B)攪動方式與速率 (C)在結晶罐內的滯留時間 (D)在結晶罐內的壓力和壓力降 。
155. 結晶操作中,晶體從母液中分離後往往還需沖洗,沖洗的目的為何 (A)將晶體沖洗後粒子大小一致 (B)將晶體沖洗後雜質較少 (C)晶體沖洗後晶體可避免過大 (D)將晶體沖洗液回流 。
156. 牛頓流體(Newtonian fluid)在一水平無限長圓形管中以層流流動達穩定時,下列敘述何者錯誤(假設流體在接觸管壁處無滑動現象) (A)管中心處的流速為最大 (B)管壁表面處的剪應力(shear stress)為最大 (C)管中流體由剪應力產生的動量輸送是由管中心向管壁傳遞 (D)管中流體之速度分佈中的最大速度為其平均速度的兩倍 。
157. 下列有關可壓縮與不可壓縮流體的敘述,何者正確 (A)液體必為不可壓縮流體 (B)氣體為不可壓縮流體 (C)蒸汽為不可壓縮流體 (D)流體之可壓縮與否與其密度變化有關,視當時之溫度、壓力而定 。
158. 有關物體熱輻射的吸收係數(absorptivity)α與放射係數(emissivity)ε,下列敘述何者錯誤 (A)黑體(black body)的α與ε值均等於 1 (B)任何物體與外界達到熱平衡時,其α與ε值相等 (C)灰體(gray body)之ε值小於 1(D)灰體的α與ε值均為溫度與波長的函數 。
159. 關於一般可逆反應(不包括核子反應),下列敘述何者正確 (A)當反應達到穩態(steady state)時,正逆反應停止進行 (B)反應前後,總莫耳不會改變(C)反應前後,溫度不會改變 (D)反應前後,總質量不會改變 。
160. 20℃的水(密度為 1 克/立方公分,黏度為 1 厘泊),流經一直徑為 5 公分圓管,已知水的平均流速為每秒 10 公分,則雷諾數(Reynoldsnumber,Re)為 (A)2660 (B)5000 (C)6770 (D)8440 。
161. 關於離心泵(centrifugal pump),下列敘述何者錯誤 (A)石油、化學工業中廣泛應用的一種液體輸送機械 (B)啟動方式是先將泵內充滿空氣,然後啟動電機 (C)主要是依靠高速旋轉的葉輪產生的離心力輸送液體 (D)操作方式是藉離心力將流體沿半徑方向逐出泵外 。
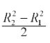
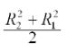
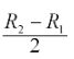
162. 某流體沿水平套管中流動,已知內管半徑與外管半徑分別為 R
1
與 R
2
。若依據水力半徑(hydraulic radius)=
且不計入內外管管壁厚度,則套管中流動的水力半徑為 (A)
(B)
(C)
(D)
。
163. 關於黏度μ與動黏度(kinetic viscosity)ν,下列敘述何者正確 (A)二者的關係為
,其中ρ為流體密度 (B)黏度的單位可表示為
(C)黏度的單位可表示為
(D)動黏度的單位可表示為
。
164. 對於多效蒸發器與單效蒸發器比較,下列敘述何者錯誤 (A)可以減少蒸汽消耗量 (B)會增加設備成本 (C)可以提高經濟效益 (D)會增加蒸發量 。
165. 下列何種閥主要用於蒸氣機及透平機上作為節流閥(throttle valve)及旁通閥(bypass valve) (A)安全閥 (B)針閥 (C)閘閥 (D)球閥 。
166. 關於管與管件(pipe fitting),下列敘述何者錯誤 (A)管按其材料之不同,可分為金屬管與非金屬管 (B)管的絕對粗糙度(或粗面度)以ε表示時,通常ε是指管壁上突出之平均高度 (C)鑄鐵管的粗面度會小於橡皮軟管 (D)管件是作為改變管道直徑、方向及引出支管等 。
167. 關於往復泵(reciprocating pump),下列敘述何者錯誤 (A)主要由泵缸、活塞和單向活門組成 (B)可用於輸送含有顆粒的液體 (C)當活塞在一個泵缸內往返一次,吸液和排液各進行一次,稱為單缸單動泵 (D)當泵內的流量不均勻時,可藉裝置空氣室(air chamber)改善 。
168. 下列何者的對流熱傳係數最大 (A)空氣自然對流 (B)空氣強制對流 (C)水自然對流 (D)水沸騰 。
169. 下列無因次群中,何者與自然對流的鈉瑟數(Nusselt Number,Nu)有關 (A)格拉斯霍數(Grashof number,Gr) (B)史密特數(Schmidt number,Sc) (C)普蘭特數(Prandtl number,Pr) (D)韋伯數(Weber number,We) 。
170. 10%氯化鈉水溶液(NaCl
(aq )
)以 1000 Kg/hr 進入某一單效蒸發器進行濃縮,若濃縮液為 50%NaCl
(aq )
,則水的蒸發速率為多少 kg/hr (A)500 (B)800 (C)900 (D)1200 。
171. 工業用長方體耐火爐,爐壁厚 0.25 m,爐壁的熱傳導係數 K=0.05W/m.K。已知爐壁這一端溫度保持在 800℃,且穩態下一維熱傳送流通量為 150 W/m
2
,試求爐壁另一端溫度為多少℃ (A)25 (B)50 (C)100 (D)150 。
172. 下列何者不是基本因次 (A)長度 (B)質量 (C)速度 (D)時間 。
173. 下列何者為擴散係數的單位 (A)cm
2
/s (B)mol/cm
2
‧s (C)mol/cm
2
(D)mol/cm‧s 。
174. 下列何種金屬製容器散熱最慢 (A)銅 (B)鐵 (C)不繡鋼 (D)銀 。
175. 某單效蒸發器將質量分率為 0.2 的氫氧化鈉水溶液濃縮至 0.5,若進料液流量為 5000 kg/h,試問其蒸發量為多少 kg/h (A)1000 (B)1500 (C)250 (D)3000 。
176. 下列有關壓力表示方式的敘述,何者錯誤 (A)絕對壓力為真實壓力 (B)表壓力=絕對壓力-大氣壓力 (C)負壓力表示真實壓力為負值 (D)真空度=大氣壓力-絕對壓力 。
177. 若 L 表長度之因次(dimension),θ表時間之因次,則加速度之因次為何(A)Lθ (B)Lθ
- 1
(C)Lθ
-2
(D)Lθ
- 3
。
178. 圓管中流體流動型態常利用雷諾數(Reynold snumber)判別,雷諾數的定義為
,其中 D 為圓管直徑(m);μ為平均速度(m/s);ρ為流體密度(kg/m
3
),試問μ之單位為何 (A)kg/m (B)kg/s (C)kg/m·s (D)kg·m/s 。
179. 大多數之液體為牛頓流體(Newtonian fluid),其剪應力(shear stress)與下列何者成正比關係 (A)流體之速度 (B)流體速度之平方 (C)流體之速度梯度(D)流體之加速度 。
180. 下列何者屬於高速離心機 (A)批式離心機 (B)操作轉速達每分鐘 15000 轉之離心機 (C)連續式離心機 (D)自動批式離心機 。
181. 關於流體輸送機械,下列敘述何者錯誤 (A)泵屬於推進與升舉流體之機械(B)離心泵可能產生氣縛現象 (C)往復泵(reciprocating pump)是目前應用最廣之泵 (D)壓縮機屬於推動氣體之裝置 。
182. 關於流體流量之測定,下列敘述何者錯誤 (A)皮托管(Pitot tube)能直接測得流體流量 (B)文氏計(Venturi meter)又稱細腰流量計 (C)孔口流量計(orifice meter)安裝時,在孔口的上游與下游需為足夠長的直管 (D)浮子流量計(rotameter)當達平衡時,其浮子上下部流體壓力差為一定 。
183. 下列何者是最古老最簡單之過濾器 (A)壓濾機(filter press) (B)葉濾機(leaffilter) (C)重力濾器(gravity filter) (D)真空濾機(vacuum filter) 。
184. 關於攪拌槽之攪拌操作,下列敘述何者錯誤 (A)促進混合 (B)使液體產生流動 (C)提供機械能 (D)減緩化學反應 。
185. 下列何者不是熱傳的基本方式 (A)傳導 (B)擴散 (C)對流 (D)輻射 。
186. 關於蒸發操作,下列敘述何者錯誤 (A)曬鹽屬低於沸點下蒸發操作 (B)工業上蒸發操作不需要輸入熱能 (C)熱源常是飽和水蒸汽 (D)工業上被蒸發物料多為水溶液 。
187. 單元操作依其物理性質可分為流體動力程序、熱傳程序、質傳程序、熱質傳遞程序及機械程序等基本程序,試問過濾操作是屬於何者 (A)流體動力程序 (B)熱傳程序 (C)質傳程序 (D)機械程序 。
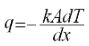
188. 若熱傳關係式
,其中κ表導熱度(thermal conductivity),下列敘述何者正確 (A)式中負號表熱流方向與溫度梯度方向相反 (B)熱傳方向是從低溫傳至高溫 (C)該式為熱對流關係式 (D)κ值大小與溫度無關 。
189. 兩批鋼管之標準公稱直徑(standard nominal diameter)為 1in.,而其目錄號碼(schedule number)分別為 40 及 80,試問兩者之何種規格相同 (A)外直徑 (B)內直徑 (C)管壁厚度 (D)單位長度之管重 。
190. 浮子流量計常作為流體流量之計量器,下列敘述何者正確 (A)浮子流量計主要是量測流體之流速 (B)同一浮子流量計可適用於各種流體,毋需重新校正 (C)流體之流量與浮子之高度幾乎成線性關係 (D)浮子流量計之準確性,易受到裝置處上下游流體速度變化之干擾 。
191. 如長度以 L,質量以 M,時間以θ,溫度以 T 表示其基本因次,則下列何者為功率在絕對系統中的因次表示法 (A)MLθ
-2
(B)MLθ
- 1
(C)ML
- 2
θ
- 1
(D)ML
2
θ
- 3
。
192. 下列何者為比熱於 SI 制中的單位組合 (A)Btu/lbm‧℉ (B)J/kg‧K (C)cal/g‧℃ (D)kcal/kg‧℃ 。
193. 下列奈米(nanometer,nm)與微米(micrometer,μm)的關係,何者正確 (A)1nm=10
- 3
μm (B)1 nm=10
- 6
μm (C)1μm=10
- 3
nm (D)1μm=10
-4
nm 。
194. 真空度的單位為 torr,下列何者為其定義 (A)1 torr=0.01 atm (B)1torr=0.01 psi (C)1 torr=1 mmHg (D)1 torr=1 Pa 。
195. 損失因數(loss factor)為管件與閥特有的常數,下列何者具有最大的損失因數 (A)全開的球閥 (B)全開閘閥 (C)T 型管 (D)90°肘管 。
196. SUS304 與 SUS316 係指下列何種管材 (A)黑鐵管 (B)鉛管 (C)鑄鐵管 (D)不繡鋼管 。
197. 家用自來水錶與瓦斯錶常使用下列何種流量計 (A)細腰流量計 (B)浮標流量計 (C)流量積算計 (D)噴嘴流量計 。
198. 下列有關直徑小於 12 吋的小鋼管公稱管徑(nominal diameter)的敘述,何者正確 (A)係指內徑 (B)係指外徑 (C)係指內徑與外徑的算術平均值 (D)非指內徑,亦非外徑,僅為管徑的近似值 。
199. 下列單位何者不是長度的因次 (A)公分(cm) (B)英呎(ft) (C)公斤(kg) (D)英吋(in) 。
200. 下列溫度何者最高 (A)110℃ (B)260℉ (C)360°K (D)650°R 。
申論題 (0)
相關試卷
114年 - 12300 化工 乙級 工作項目 08:化工廠管理 1-53(2025/12/16 更新)#135086
114年 · #135086
114年 - 12300 化工 乙級 工作項目 06:工業儀器 51-101(2025/12/16 更新)#135085
114年 · #135085
114年 - 12300 化工 乙級 工作項目 06:工業儀器 1-50(2025/12/16 更新)#135084
114年 · #135084
114年 - 12300 化工 乙級 工作項目 05:單元操作 351-385(2025/12/16 更新)#135083
114年 · #135083
114年 - 12300 化工 乙級 工作項目 05:單元操作 301-350(2025/12/16 更新)#135082
114年 · #135082
114年 - 12300 化工 乙級 工作項目 05:單元操作 251-300(2025/12/16 更新)#135081
114年 · #135081
114年 - 12300 化工 乙級 工作項目 05:單元操作 201-250(2025/12/16 更新)#135080
114年 · #135080
114年 - 12300 化工 乙級 工作項目 05:單元操作 101-150(2025/12/16 更新)#135078
114年 · #135078
114年 - 12300 化工 乙級 工作項目 05:單元操作 51-100(2025/12/16 更新)#135077
114年 · #135077
114年 - 12300 化工 乙級 工作項目 05:單元操作 1-50(2025/12/16 更新)#135076
114年 · #135076