阿摩線上測驗
登入
首頁
>
技檢◆通信技術(電信線路)-甲級
> 114年 - 15600 通信技術(電信線路) 甲級 工作項目 03:電信線路工程維護之管理 101-150(2025/12/22 更新)#135536
114年 - 15600 通信技術(電信線路) 甲級 工作項目 03:電信線路工程維護之管理 101-150(2025/12/22 更新)#135536
科目:
技檢◆通信技術(電信線路)-甲級 |
年份:
114年 |
選擇題數:
50 |
申論題數:
0
試卷資訊
所屬科目:
技檢◆通信技術(電信線路)-甲級
選擇題 (50)
101. 光脈衝在光纖內進行一段距離後會有產生「色散」現象,下列哪一項不是? (A)模態色散 (B)傳導色散 (C)波導色散 (D)材料色散 。
102. 光纖能量損失計算中,dBm 的表示為何? (A)
(B)
(C)
(D)
。
103. 光纖在製造時,由於玻璃纖維內部密度不均勻及折射率不均勻,而引起(A)色散 (B)增益 (C)全反射 (D)散射 。
104. 電纜設計供語音使用之測試,會作絕緣電阻測試,下列何者敘述正確?(A)L1-L2,L1-E,L2-E 之絕緣電阻均應大於 5MΩ,而且愈大愈好 (B)L1-L2,L1-E,L2-E 之絕緣電阻均應小於 5MΩ,而且愈小愈好 (C)L1-L2,L1-E,L2-E 之絕緣電阻均應大於 5KΩ,而且愈大愈好 (D)L1-L2,L1-E,L2-E 之絕緣電阻均應小於 5KΩ,而且愈小愈好 。
105. 下列何者非預防性維護之措施? (A)提前建立備援路由 (B)定期巡修測試(C)對天災發生馬上搶修 (D)擬定汰舊換新計畫 。
106. 關於宅內管線施作之說明,下列何者有誤? (A)配線管道之彎曲,其彎曲處內側半徑應為管外徑 5 倍以上 (B)配線管道之彎曲,彎曲角度不得大於 90 度 (C)多管並行佈設時,應使各管平行,不得扭絞變形 (D)線纜佈經拖線箱時,得先由線纜引入端將線纜全部餘長拉出後,再將拖引線穿入下一管段之入口端,引導剩餘之線纜進入管道 。
107. 屋內光纜的彎曲半徑須遵守製造商之規定,無建議值時,則佈放施作時不可小於光纜外徑的 x 倍;使用時或在無拉力狀態時,則需保持在光纜外徑的 y 倍,則 x、y 各為多少? (A)x=15,y=10 (B)x=10,y=15 (C)x=5,y=10 (D)x=10,y=5 。
108. 關於管與箱間接續施作注意事項,下列敘述何者有誤? (A)塑膠管接入配線箱內時,該插入端應加熱成喇叭狀 (B)鐵管與箱體接續時,在箱板內外須使用鋼質螺帽,將管與箱體固接 (C)如引接之管外徑或截面積小於箱體預先留妥之口徑或開口時,應使用襯板固定之 (D)幹配管接入拖線箱之位置,應使引入之電纜在箱內有較小之彎曲半徑 。
109. 為確保建設完工後之管道不會有過度彎曲、接管不良、內積雜物等情況,會用一根木棒進行管道驗收,是何種試驗? (A)洗管試驗 (B)充氣試驗 (C)尼龍繩拉動試驗 (D)通管試驗 。
110. 等比 1:2 的光分歧器,理論上每一埠對光輸入功率的衰減是多少 dB?(A)2dB (B)3dB (C)4dB (D)6dB 。
111. 下列何者數位用戶線路需要二對線路傳輸? (A)HDSL (B)SDSL (C)IDSL(D)ADSL 。
112. 傳播延遲(Propagation Delay)的單位是以 (A)皮秒(ps) (B)微秒(µs) (C)毫秒(ms) (D)奈秒(ns) 。
113. 在電信電桿上面如下圖所示的裝置是為何?
(A)DJ 箱 (B)DD 箱 (C)RA 箱(D)交接箱 。
114. 下列何者儀器可以測試光纜是否有錯接? (A)OTDR (B)光源+光功率計(C)TDR (D)心線導通測試器 。
115. 下列何者不是從事施作光纖接續時必須注意的工安問題? (A)光纖收容的彎曲半徑過小,造成傷害 (B)光纖熱縮套管熱縮後不要急於碰觸 (C)切割,斷掉的光纖絲立即移除,以免刺入皮膚或殘留身上 (D)有化學溶劑或清潔酒精,所以須考量通風問題 。
116. 有一光分配線路由從機房配出,經過一個 1:8 光分歧器(均分型)到用戶端,前後二段光纖損失合計 3.2dB,1:8 的額外損失(ExcessLoss)2.5dB,如不考慮其他損失值(熔接、彎曲、人為因素),請問從機房到用戶端的鏈結損失為多少? (A)5.7dB (B)8.7dB (C)11.7dB (D)14.7dB 。
117. 二段 FS-STP-0.4-2400P 電纜完成接續後,在進行主鉛管鉛工封裝前,需先進行何種測試? (A)絕緣測試 (B)充氣測試 (C)接地阻值測試 (D)心線對照測試 。
118. 請問對絞型數據電纜之測試項目中,下圖現象是屬於何種?
(A)回流損失 (B)傳播延遲 (C)對與對近端串音衰減量 (D)遠端傳輸衰減量 。
119. 下列何者是雷射光的發光特性?(A)
(B)
(C)
(D)
。
120. 電力線路與電信線在相同離隔距離下,大地電阻係數較低的區間其互感阻抗 (A)較低 (B)較高 (C)不變 (D)無關 。
121. 以 QPSK 方式調變且符號率(symbol rate)為 4k symbol/sec,其位元率為(A)8kbps (B)16kbps (C)32kbps (D)64kbps 。
122. 傳輸線路參數為電阻(L)、電感(R)、電容( C )、電導(G),若為無失真傳輸(Distortionless)其參數條件為 (A)RC=LG (B)RG=LC (C)RL=GC (D)R+G=L+C 。
123. 在使用 ITU-T G.653 標準光纖,最佳工作波長應為 (A)780nm (B)850nm(C)1310nm (D)1550nm 。
124. 在 BPSK 中,位元率(Bit Rate)是符號率(Symbol Rate)的________倍。 (A)1 (B)2 (C)4(D)8
125. 在光正交分頻多工(Optical Orthogonal Frequency Di-visionMultiplexing,O-OFDM)技術中,若採用 N 個子載波通道,每一子載波的數據週期將會是原始數據週期的________倍。 (A)N (B)2N (C)1/N (D)N
2
126. 有關單模態光纖模場直徑(Mode Field Diameter),是指 (A)光功率在光纖裡的軸照度(Irradiance)的分配形態 (B)光功率在光纖裡的軸照度 (C)從軸心光功率強度量起,在強度 1/e 的直徑範圍內之光功率分配形態 (D)光纖內光強度均勻分佈的範圍 。
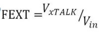
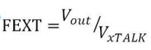
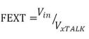
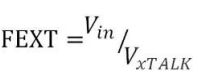
127. 下列算式,何者為遠端串音(Far End Crosstalk,FEXT)?
係指竄流到被感應線對的電壓,V
in
為輸入端電壓, V
iut
輸出端電壓(A)
(B)
(C)
(D)
。
128. 下列算式,何者為同位準遠端串音(Equal Level Far End Crosstalk,ELFEXT)?V
XTALK
係指竄流到被感應的電壓, V
in
為輸入端電壓,V
iut
為輸出端電壓 (A)
(B)
(C)
(D)
。
129. 依 INTERNATIONAL STANDARD (ISO/IEC)11801 標準,等級 D(ClassD)網路線的頻寬是 (A)100kHz (B)100MHz (C)100Mbps (D)1Gbps 。
130. 為什麼充膠電纜(FS-JF-LAP)除了充膠,仍要用不織布? (A)不織布係防止水滲入心線縫隙,充膠是為防止水沿著鋁被與心線間之縫隙流竄 (B)心線充膠係防止水滲入心線縫隙,不織布是為防止水沿著鋁被與心線間之縫隙流竄 (C)充膠電纜(FS-JF-LAP)結構上沒有不織布 (D)不織布功能非防水,而是隔熱 。
131. 網路線測試之傳播延遲(Propagation Delay)是指 (A)從發訊機信號出來的信號因線對扭絞長度不一而造成脈衝擴散 (B)因線路超過一百米而造成之傳播時間延長 (C)信號從發訊機進入線路傳輸到線路末端收訊機的時間 (D)信號從發訊機到達終端收訊機的時間比預計時間延遲的時間量 。
132. 網路線測試之傳播誤差(Propagation Skew)是指 (A)信號從發訊機到達終端收訊機的時間比預計時間延遲的時間量 (B)信號從發訊機發射的時間延遲 (C)信號從發訊機進入線路傳輸到線路末端收訊機的時間 (D)從發訊機信號出來的信號因線對扭絞長度不一,而造成脈衝擴散 。
133. 光通信系統,CWDM 與 DWDM 有何不同? (A)兩者皆為分波多工系統,前者每 20nm 波段分割一個波道,後者每 1nm 波段分割一個波道(B)前者為劃時多工系統每 20ns 分割一個時槽;後者為分波多工系統,每 1nm 波段分割一個波道 (C)兩者皆為分波多工系統,前者每 1nm 波段分割一個波道,後者每 20nm 波段分割一個波道 (D)兩者皆為分波多工系統,前者稱為密集分波多後,後者稱為粗調分波多工 。
134. 依 ITU-T989 標準,ORL 是指在光路徑上的某一光源參考點 (A)反射光與滲透光(Refraction) (B)入射光與滲透光 (C)入射光與反射光 (D)入射光與反射光及滲透光 的比例。
135. 下列何種光纖適合在 ODN(Optical Distribution Network)使用? (A)G.652 (B)G.653 (C)G.654 (D)G.655 。
136. 光纖鏈路的反射率(Reflectance)是指 (A)鏈路中任一點的反射光與滲透光之比 (B)鏈路中某參考點的入射光與反射光之比 (C)鏈路中任一點入射光與滲透光之比 (D)鏈路中任一點的反射光與入射光之比 。
137. 有線電視網路等化器(Equalizer)之高頻衰減比低頻衰減 (A)相同 (B)大 (C)小 (D)不一定 。
138. 同軸電纜之高頻衰減比低頻衰減 (A)相同 (B)大 (C)小 (D)不一定 。
139. 在相同長度之 G.652 光纖中波長 1550nm 光波之色散量比波長 1310nm光波 (A)相同 (B)嚴重 (C)不嚴重 (D)與光強度有關 。
140. G.652 光纖之色散補償器,波長愈長 (A)色散值與波長無關 (B)色散值愈大 (C)色散值愈小 (D)插入損失愈大 。
141. G.652 光纖之訊號衰減量,波長愈長,衰減值愈 (A)與波長無關 (B)大 (C)小 (D)不一定與光強度有關 。
142. 以下何項特性是單模光纖相較於多模光纖更適用於高速長距離傳輸 (A)散射大 (B)色散小 (C)結構簡單 (D)接續容易 。
143. 下列各種數位調變技術何者頻寬使用率最高 (A)QPSK (B)16QAM (C)64QAM (D)256QAM 。
144. 我國廣播數位視訊採用何種視訊編碼傳輸標準 (A)MPEG-1 (B)MPEG-2(C)MPEG-4 (D)JPEG Transport Stream 。
145. 參鉺光纖放大器(EDFA)工作波長為 (A)830nm (B)1310nm (C)1550nm (D)1620nm 。
146. 數位有線電視廣播系統採用 256QAM 調變技術,每個 NTSC 頻道最多可載送多少個 6Mbps 數位視訊節目 (A)6 (B)8 (C)10 (D)12 個。
147. ITU G.989 規範 NGPON2 最高可收容幾個波長_________ 個(不含酬載 RF 廣播視訊波長)。(A)4 (B)5 (C)6 (D)7
148. ITU G.989 規範 NGPON2 最高系統容量為__________ Gbps。(A)10 (B)20 (C)30 (D)40
複選題
149. 關於 ScTP 係指屏蔽對絞型(Screened Twisted Pair)數據電纜之敘述,下列何項有誤? (A)採用單心銅導體心線 (B)特性阻抗標稱值為 75歐姆 (C)連接電話插座及資訊插座之每一條對絞型數據電纜可共用 (D)適用於建築物內主幹配線 。
複選題
150. 關於複合型端子板之敘述,下列何項有誤? (A)複合型端子板為電纜終端之接續裝置,多為 FS-JF-LAP 電纜及引進電纜終端之用 (B)市內網路經營者在責任分界點上之端子板及建築物在責任分界點上之用戶側端子板應使用 B 型 (C)複合型端子板有機櫃(架)式及壁掛式兩種型式 (D)複合型端子板係由配線端子組、底座及防塵蓋所組合而成 。
申論題 (0)