阿摩線上測驗
登入
首頁
>
技檢◆用電設備檢驗-乙級
> 114年 - 16600 用電設備檢驗 乙級 工作項目 01:電工常識 1-50(2025/12/23 更新)#135632
114年 - 16600 用電設備檢驗 乙級 工作項目 01:電工常識 1-50(2025/12/23 更新)#135632
科目:
技檢◆用電設備檢驗-乙級 |
年份:
114年 |
選擇題數:
50 |
申論題數:
0
試卷資訊
所屬科目:
技檢◆用電設備檢驗-乙級
選擇題 (50)
1. 6600/110V 變壓器接在 3300 伏線路上,二次電壓為多少伏? (A)110 (B)220 (C)55 (D)25 。
2. 有一平衡三相△型接線,若線電流 190.5 安培,則相電流為多少安培?(A)100 (B)110 (C)190.5 (D)381 。
3. 單相 100kVA 變壓器 2 台 V 接線可供三相動力滿載容量為多少 kVA?(A)100 (B)158 (C)173 (D)381 。
4. 台電公司二次變電所的主變壓器,常用下列何種接法? (A)Y-Y (B)Y-△(C)△-Y (D)△-△ 。
5. 欲拆除比流器二次側之計器,應先如何處理? (A)二次側開路 (B)二次側接地 (C)二次側上保險絲再予短路 (D)二次側短路 。
6. 電度表的附屬 CT 在一次側引線,依國家標準以英文字母大寫標誌為何? (A)K 及 L (B)M 及 N (C)S 及 T (D)U 及 V 。
7. 比流器(CT)二次側短路時,一次側電流變化為何? (A)不變 (B)會增加 (C)會減少 (D)先增後減 。
8. 若三相感應電動機之同步轉速為 N,轉子之轉速為 N
2
,則轉差率為何? (A)(N
2
-N)/N
2
(B)(N-N
2
)/N
2
(C)(N
2
-N)/N (D)(N-N
2
)/N 。
9. 三相 60 赫 4 極感應電動機的同步轉速為多少 rpm? (A)3600 (B)1800 (C)1200 (D)900 。
10. 三相感應電動機按 Y-△起動法起動時,其起動電流為直接全壓起動時的多少倍? (A)√3 (B)3 (C)1/√3 (D)1/3 。
11. 有一 60 赫 4 極之三相感應電動機,當轉差率為 5%時,轉子之轉速為多少 rpm? (A)1140 (B)1310 (C)1500 (D)1710 。
12. 依中國國家標準計量用比壓器之二次額定電壓為多少伏特? (A)50 (B)100 (C)110 (D)220 。
13. 有一變壓器若一次線圈有 500 圈,二次線圈有 1500 圈則此變壓器之匝數比為何? (A)3:1 (B)1:3 (C)1:2 (D)2:1 。
14. 某 200 伏、1000 瓦之電熱器,其電阻絲為多少歐姆? (A)20 (B)30 (C)40(D)50 。
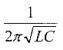
15. 電容 C、電感 L 及電阻 R,三者串聯回路之共振頻率為何? (A)
(B)
(C)
(D)
。
16. 有一功率因數為 0.8 之電路,已知其消耗功率為 80kW,則其相對應之無效功率為多少 kVAR? (A)40 (B)60 (C)80 (D)100 。
17. 絕緣破壞電壓最低者為何種介質? (A)瓷器 (B)橡膠 (C)空氣 (D)樹脂 。
18. 一電熱爐當供電電壓較額定值高出 10%時,則其輸入電力較額定值有何變化? (A)增加 10% (B)減少 10% (C)增加 21% (D)減少 21% 。
19. 單相 100 伏特、60 赫負載電流約為 5 安培,若其有效功率為 400 瓦特時,其功率因數為百分之多少? (A)60 (B)75 (C)80 (D)90 。
20. 有效功率為 800kW,功率因數為 0.8,則其視在功率為多少 kVA? (A)600 (B)800 (C)1000 (D)1200 。
21. 有 2μf、4μf、5μf 之電容器各一只接成串聯,則其總電容量約為多少μf? (A)1 (B)3 (C)11 (D)20 。
22. 總等效容量為 2.5μf 時,為一只 5μf 之電容器與多少μf 電容器串聯連接? (A)2.5 (B)5 (C)7.5 (D)10 。
23. 有一支 110V 40W 之日光燈已知其消耗功率為 33W 而電流為 0.6 安培,則該日光燈之功率因數為何? (A)50% (B)60% (C)80% (D)90% 。
24. 8 歐姆電阻與 6 歐姆電感串聯回路,若外加 100V 交流電壓時,則電流為多少安培? (A)6 (B)8 (C)10 (D)12.5 。
25. 額定電壓 200V、1kW 之電熱器使用 5 分鐘時,其產生熱量約為多少仟卡? (A)50 (B)70 (C)80 (D)100 。
26. 有一 20μf 進相用電容器,當外加 60 赫、3000 伏交流電壓時,其進相電流約為多少安培? (A)10 (B)15 (C)22 (D)30 。
27. 使用同一電源,40W 高功因日光燈一盞比 40W 白熾燈泡之負載電流其關係為何? (A)較大 (B)較小 (C)一樣 (D)無法比較 。
28. 有一 100V、100W 燈泡接於 120V 電路時,消耗電力為多少瓦特? (A)80 (B)100 (C)120 (D)144 。
29. 與銅線同一長度,相同電阻的鋁線,其截面積約為銅線之多少倍? (A)1.2 (B)1.5 (C)1.6 (D)2 。
30. 三相三線式 3300 伏高壓配電線路已知電流為 100A,功率因數為 0.9,則其電功率約為多少 kW? (A)291 (B)330 (C)513 (D)621 。
31. 三相三線式 6kV 高壓配電線路,已知線路電流為 100A,電力為900kW,則其功率因數約為多少? (A)86% (B)90% (C)95% (D)98% 。
32. 利用直流電橋回路可做下列何種測定? (A)阻抗 (B)電阻 (C)感抗 (D)容抗 。
33. 單相 110V、3kW 電熱器與單相 220V、5kW 電熱器其電阻值之比例為何? (A)1:2 (B)1:3 (C)3:5 (D)5:12 。
34. 某一 6 歐姆之純電阻與容抗 8 歐姆之電容器串聯,其總阻抗為多少歐姆? (A)2 (B)6 (C)10 (D)14 。
35. 電源頻率由 50 赫變為 60 赫時,下列何種器具不受影響? (A)變壓器 (B)電熱器 (C)日光燈 (D)電容器 。
36. 交流正弦波最大值為 60 安培的電流,其有效值為多少安培? (A)
(B)
(C)
(D)
。
37. 下列材質之電阻係數何者最大? (A)鋁 (B)銅 (C)鎳鉻 (D)銀 。
38. 額定容量 1.5kW、100V 之電熱器若使用在 90V 之電路上時,其消耗功率約為多少 kW? (A)1 (B)1.2 (C)1.35 (D)1.5 。
39. 頻率為 f 週/秒,其角頻率(ω)等於多少徑度/秒? (A)2πf (B)2π/f (C)πf(D)1/2πf 。
40. 額定電壓 100V 容量 2kW 及 1kW 的電熱器,串接於 200V 電源時,1kW 電熱器之端電壓約為多少伏特? (A)70 (B)100 (C)130 (D)150 。
41. 某電氣設備輸入 5000 焦耳的能量,其中 700 焦耳損失掉,則此設備之效率為多少? (A)12.3% (B)14% (C)86% (D)87.7% 。
42. 導體表面之表面電荷密度,在導體表面曲度較大處,其電荷之表面密度變化為何? (A)亦大 (B)亦小 (C)不變 (D)不一定 。
43. 一直流馬達輸出功率為 2HP,效率為 87%,則輸入功率為多少 kW?(A)1.03 (B)1.23 (C)1.45 (D)1.71 。
44. 電池的容量敘述下列何者正確? (A)電壓與電流之乘積 (B)電壓與時間之乘積 (C)電流與時間之乘積 (D)電流平方與時間之乘積 。
45. 用戶設有 100 瓦電燈 3 盞、60 瓦電燈 5 盞、40 瓦電燈 10 盞,若每燈每天平均用電 3 小時,每月以 30 日計,電費每度為 2 元,則每月應付電費為多少元? (A)120 (B)140 (C)160 (D)180 。
46. 一電熱器其電阻為 10Ω接 100V 之電源,連續使用 10 小時,所消耗電能為多少度? (A)10 (B)50 (C)100 (D)150 。
47. 200V、20Hp 直流分激電動機之效率為 74.6%,滿載電流為多少安培?(A)61 (B)72 (C)81 (D)100 。
48. 30kW 直流發電機,在滿載下效率為 90%,其滿載時之總損失約為多少kW? (A)5 (B)4.5 (C)4 (D)3.3 。
49. 某電線若其線徑由 1.6 ㎜增為 3.2 ㎜,則其電阻值應為原來的多少倍?(A)4 (B)2 (C)1/2 (D)1/4 。
50. 一導線拉長 3 倍後的電阻等於原來的多少倍? (A)9 (B)3 (C)1/3 (D)1/9 。
申論題 (0)
相關試卷
114年 - 16600 用電設備檢驗 乙級 工作項目 06:用電法規運用 51-102(2025/12/23 更新)#135644
114年 · #135644
114年 - 16600 用電設備檢驗 乙級 工作項目 06:用電法規運用 1-50(2025/12/23 更新)#135643
114年 · #135643
114年 - 16600 用電設備檢驗 乙級 工作項目 05:填寫檢驗報告 1-26(2025/12/23 更新)#135642
114年 · #135642
114年 - 16600 用電設備檢驗 乙級 工作項目 04:裝表工作 1-59(2025/12/23 更新)#135641
114年 · #135641
114年 - 16600 用電設備檢驗 乙級 工作項目 03:用電設備裝置檢驗 151-196(2025/12/23 更新)#135640
114年 · #135640
114年 - 16600 用電設備檢驗 乙級 工作項目 03:用電設備裝置檢驗 101-150(2025/12/23 更新)#135639
114年 · #135639
114年 - 16600 用電設備檢驗 乙級 工作項目 03:用電設備裝置檢驗 51-100(2025/12/23 更新)#135638
114年 · #135638
114年 - 16600 用電設備檢驗 乙級 工作項目 03:用電設備裝置檢驗 1-50(2025/12/23 更新)#135637
114年 · #135637
114年 - 16600 用電設備檢驗 乙級 工作項目 02:基本技能 51-110(2025/12/23 更新)#135636
114年 · #135636
114年 - 16600 用電設備檢驗 乙級 工作項目 02:基本技能 1-50(2025/12/23 更新)#135635
114年 · #135635