所屬科目:線性代數
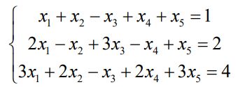
一、設線性方程組利用此線性方程組的增廣矩陣(augmented matrix),以高斯消去法,求此方程組的解集合(solution set)。(20 分)
(一) 令 β = {1, x, x 2 } 和 γ ={x - 1, x + 1, x 2 - x} 為 P2 的有序基底 ( ordered。求算[T]β 及 [T]γ 。此處 [T]β 代表線性變換 T 相對於有序基底 β 的basis)矩陣表示。(12 分)
(二)求一個矩陣 C 使得[T]β=C-1[T]γ C 。(8 分)
三、設 A=,求一正交矩陣(orthogonal matrix)P,使得 P-1AP=D為一對角矩陣(diagonal matrix)。(25 分)
四、設 W={(x1 , x2 , x3 , x4 ) ∈ R 4 : x1+ 2x2+ 3x3+ x4=0} 為 R4 的子空間。對於子空間 W,使用格拉姆 -施密特正交化法 ( Gram-Schmidtorthogonalization),找一正交基底(orthogonal basis)。(20 分)
五、設 V 為一個向量空間,且令 v1 , v2∈V 。請證明 span({v1-2v2 , 2v1+ 3v2 }) = span({v1 + v2 , 2v1- v2 }) 。(15 分)