所屬科目:統測◆工程與管理類◆(二)資訊科技
1. 下列何者不是資料視覺化(Data Visualization)的主要目的?(A) 支持決策的制定 (B) 掩飾並美化數據(C) 探索數據中的模式和趨勢 (D) 幫助人們更有效地理解數據
2. 為了減少中央處理器(CPU)存取電腦主記憶體所需的平均時間,可以使用下列哪一類型的記憶體來達成目的? (A) 快閃記憶體(Flash Memory) (B) 快取記憶體(Cache Memory) (C) 輔助記憶體(Auxiliary Memory) (D) 動態記憶體(Dynamic Random Access Memory)
3. 下列何者不是電腦硬體架構的五大單元之一?(A) 輸入單元(Input Unit) (B) 機殼單元(Case Unit)(C) 控制單元(Control Unit) (D) 記憶單元(Memory Unit)
4. 圖 ( 一 ) 所示為某產品工程師在電腦中找到的一個產品資料文字檔內容,其副檔名及檔案類型資訊已遺失,此檔案最有可能是下列哪種資料檔案格式? (A) CSV(Comma -Separated Values) (B) PNG(Portable Network Graphics) (C) JSON(JavaScript Object Notation) (D) HTML(HyperText Markup Language )
5. 資料庫管理系統(Database Management System)最主要的功能為何?(A) 儲存、管理和檢索資料 (B) 運算路由器的封包資料(C) 無需資料即可獲得知識 (D) 管理處理程序工作排程
6. 某家超市針對產品進行銷售分析,結果顯示:「如果顧客購買了麵包,則有70%的可能性會購買牛奶」。使用下列何種資料探勘(Data Mining)技術可以達成上述分析結果? (A) 甘特圖(Gantt Chart) (B) 資料匯流排(Data Bus) (C) 關聯規則(Association Rule ) (D) 排程演算法(Scheduling Algorithm)
7. 圖 ( 二 ) 所示之 Microsoft Excel 工作表為某班級測驗成績列表,其中平均成績欄位為學生的國文、數學、英文三科成績使用函數自動計算得到。為得到正確的計算結果,儲存格 E2應使用下列何者公式? (A) =AVERAGE(B2,D2) (B) =AVERAGE(B2-D2) (C) =AVERAGE(B2:D2) (D) =AVERAGE(B2~D2)
8. 某一個智慧農場使用有線或無線網路,利用感測器即時遠端監控土壤濕度、溫度和光照等環境變數,以監控作物的生長條件。此系統應用哪種技術達成上述功能? (A) 區塊鏈(Blockchain) (B) 管線運算(Pipeline ) (C) 物聯網(Internet of Things) (D) 監督式學習(Supervised Learning)
9. 流程圖中決策(Decision)結構應使用下列哪一個圖示來表示?(A)(B)(C) (D)
10. 由於IPv4位址數量不敷使用,因而推出128位元位址長度的IPv6,下列何者是正確的IPv6 位址? (A) 192.168.0.100 (B) 30:32:34:A5:DC:81 (C) 2001:282:2:2:0:0:0:1 (D) FEC0:0:0:FFFF::1%1
11. 下列何者是TCP/IP協定組中傳輸層的標準通訊協定之一?(A) UDP(User Datagram Protocol)(B) FTP(File Transfer Protocol)(C) HTTP(HyperText Transfer Protocol)(D) SMTP(Simple Mail Transfer Protocol)
12. 某公司未經應徵者同意,私下取得當事人用藥紀錄,作為聘用與否參考。此舉主要違反我國下列何項法律? (A) 藥事法 (B) 公司法 (C) 著作權法 (D) 個人資料保護法
13. 關於資訊科技對人類文明的正面影響之敘述,下列何者正確?(A) 因網路流量變大而降低資訊傳播速度(B) 因過度使用網路媒體而降低社會互動(C) 因即時通訊軟體的使用而增加工作壓力(D) 因人工智慧工具的導入而提高生活便利性和效率
14. 當接收到可疑的電子郵件時,應該如何保護自己的個人資料安全?(A) 直接刪除信箱內所有的電子郵件(B) 查證寄件人身分與網路連結位址的安全性(C) 轉交給自稱具有資安專長的朋友代為處理(D) 提供部分資訊給對方以確認電子郵件的真實性
15. 小明與阿美在共同撰寫學習歷程檔案的小論文時,應如何合法使用他人創作的內容?(A) 只要不作商業用途即可隨意使用(B) 隨意修改內容再標註自己的名字(C) 使用翻譯工具重新表述後可視為原創(D) 引用時標明來源並符合合理使用範圍
16. 某人憑一己之力開發出一套新遊戲,在未向相關機關登記前,該作品受我國下列何項法規保護? (A) 商標法 (B) 專利法 (C) 著作權法 (D) 個人資料保護法
17. 根據所設定的條件,決定程式控制流程的走向,是屬結構化程式設計(Structured Programming) 的哪一種基本結構? (A) 循序(Sequence ) (B) 反向(Reverse ) (C) 選擇(Selection) (D) 無條件跳躍(Unconditional Jump )
18. 下列何者是使用數位合作共創的正面目標?(A) 改善團隊協作效率 (B) 增加個人的工作量(C) 減少使用科技工具 (D) 提高資訊安全風險
19. 如果演算法所採用的問題解決策略會將問題切割成較小的問題後再解決,並將所有小問題的答案合併,這種演算法設計方法屬於下列何者? (A) 暴力法(Brute Force ) (B) 回溯法(Backtracking) (C) 貪婪法(Greedy Method) (D) 分治法(Divide and Conquer)
20. 關於循序搜尋法(Sequential Search)和二分搜尋法(Binary Search)的敘述,下列何者正確?(A) 二者有相同的時間複雜度(B) 二分搜尋法的資料必須事先排序(C) 循序搜尋法的資料必須事先排序(D) 二分搜尋法比較次數絕對少於循序搜尋法
21. Google表單在數位合作共創中的應用情境通常為何?(A) 即時視訊會議 (B) 設計和繪製美工圖案(C) 繪製團隊協作專案甘特圖 (D) 蒐集意見回饋與進行數據分析
22. 在進行資料探勘(Data Mining)時,下列哪種演算法最常使用於資料分群(Clustering)?(A) 迴歸(Regression ) (B) K近鄰法(KNN)(C) 決策樹(Decision Tree ) (D) K-平均數(K-Means)
23. 資料在網路中傳遞,為維護資料保密性(Confidentiality),應採行下列何種技術?(A) 資料探勘(Data Mining) (B) 資料加密(Data Encryption)(C) 資料清理(Data Cleaning) (D) 錯誤偵測(Error Detection )
24. 使用固態硬碟(Solid -State Disk ,SSD)取代硬碟(Hard Disk Drive ,HDD),逐漸成為筆記型電腦或桌上型電腦的主流選擇。關於SSD技術的敘述,下列何者正確? (A) SSD使用高速旋轉磁碟,提供比傳統硬碟更快的資料讀寫速度 (B) SSD無機械式移動零件,使用晶片儲存資料具較快的存取速度 (C) SSD是一種只能用於雲端運算的儲存裝置,需要上網才能使用 (D) SSD使用磁性材料儲存資料,需要利用磁頭針對特定區域讀寫
25. 使用二分搜尋法在整數數列12, 15, 18, 19, 20, 25, 30中搜尋整數15時,需要耗費的整數比較次數,下者何者正確? (A) 1次 (B) 2次 (C) 3次 (D) 無限多次
26. 某人計劃釋出自行設計的一套軟體,將採行姓名標示、非商業性、禁止改作,應使用下列哪個創用CC(Creative Commons)標示? (A)(B)(C)(D)
27. 將解決問題的演算法正確表達,並讓問題相關的人皆能看懂它是一項重要的工作,下列何者較不適宜用來呈現演算法? (A) 文字 (B) 虛擬碼 (C) 流程圖 (D) 甘特圖
28. 有一個容量充裕的空白佇列 ( Queue ) 使用一維整數陣列 Q 來儲存其內部資料,佇列的出口為其前端,當此佇列依序經過加入( Enqueue ) 4個整數100,50,20,40、移除( Dequeue ) 2個整數、加入3個整數10,30,70後,位於佇列前端的整數為下列何者? (A) 20 (B) 50 (C) 70 (D) 100
29. 使用瀏覽器以超文字安全傳輸通訊協定( HyperText Transfer Protocol Secure , HTTPS )瀏覽網站時,下列敘述何者正確? (A) HTTPS在傳輸數據時僅有針對網頁內文字資訊加密 (B) HTTPS通訊時需要瀏覽器與網站都支援加密的協定 (C) HTTPS不涉及任何加密技術,利用防火牆達成安全傳輸 (D) 沒有數位憑證的HTTPS網站可以安心連線,無安全隱患
30. 在數位合作共創過程中,下列哪一項技術在實現即時多媒體協作編輯方面扮演了核心角色?(A) 區塊鏈 (B) 物聯網 (C) 雲端運算 (D) 資料探勘
31. 攻擊者送出誘騙訊息,引導使用者拜訪偽冒的交友網站,藉以竊取機敏資料,例如身分證字號、地址等。此類攻擊是屬於下列何種樣態? (A) 釣魚攻擊(Phishing Attack) (B) 零時差攻擊(Zero-Day Attack) (C) 勒索病毒攻擊(Ransomware Attack) (D) 服務阻斷攻擊(Denial-of-Service Attack)
32. 某軟體公司提供網路線上訂票服務,為應對熱門演唱會門票發售期間網站流量激增及伺服器負載過高的問題,該公司可以使用下列何種架構架設網站能有效分擔流量及負載,提升系統的穩定性和效率? (A) 封閉式系統(Closed System) (B) 嵌入式系統(Embedded System) (C) 分散式系統(Distributed System) (D) 單晶片系統(Single-Chip System)
33. C語言宣告整數陣列(Array)x有4個元素,其內容為{2,3,0,1},以及另外一個整數變數 y,令y=x[x[0]],y的正確值為下列何者? (A) 0 (B) 1 (C) 2 (D) 3
34. 下列何者為使用時間切片( Time Slice )或時間量( Time Quantum )技術以避免飢餓 (Starvation)現象的工作排程(Scheduling)演算法? (A) 循環分配(Round Robin ,RR) (B) 插入排序法(Insertion Sort,IS) (C) 最短的工作優先(Shortest Job First,SJF) (D) 先到先服務(First Come First Serve ,FCFS)
35. 下列何者最能描述監督式學習資料分類器(Supervised Learning Classifier)的核心特點?(A) 創建數據摘要和統計圖表(B) 將無標籤資料分成可重疊的群組(C) 發現資料中不同屬性之間的關聯規則(D) 根據已知類別的訓練資料集預測新的資料點所屬的類別
36. 在Google Drive上進行多人數位合作共創時,為了確保文件內容的完整性及可追溯性,下列哪一種版本控制方法最為理想? (A) 啟用平台的版本記錄功能 (B) 每次修改後將文件加密 (C) 每人離線保存自己版本的文件 (D) 每次修改後直接覆蓋舊文件
37. 下列行為何者不違反著作權法?(A) 影印全書僅供個人使用(B) 蒐集社群網路美圖出版販售(C) 購買與使用他人破解的軟體序號(D) 下載與列印公務人員高等考試試題供朋友參考
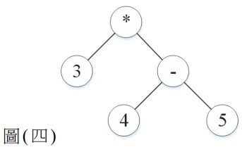
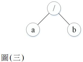
38. 運算式樹 ( Expression Tree ) 每個子樹均具有下列特性:根節點是運算子,左子樹為左運算式;右子樹為右運算式。參照圖 ( 三 ) 及圖 ( 四 ),圖 ( 三 ) 運算式樹所代表的運算式為 a/b,則圖(四)運算式樹運算結果為何? (A) - 3 (B) - 5 (C) 7 (D) 11
39. 下列哪個程式片段可以正確判斷 num 為偶數?(A) if (num / 2==0) { printf("偶數!"); } (B) if (num %2 ==0) {printf("偶數!"); }(C) if (num & 2==1) { printf("偶數!"); } (D) if (num* 2==0) { printf("偶數!"); }
40. 下列哪個程式片段可以正確判斷 num 超出1到100的範圍?(A) if (num<1 || num >100) { printf("超出範圍!"); }(B) if (num<1&&num >100) { printf("超出範圍!"); }(C) if (num >=1 || num<=100) { printf("超出範圍!"); }(D) if (num<1&&num<=100) { printf("超出範圍!"); }
41. 下列哪個程式片段可以正確輸出1到100之間的所有偶數? (A) int i; for (i=1; i<=100; i++) { printf("%d ",i); } (B) int i; for (i=2; i<=100; i+=2) { printf("%d",i); } (C) int i; for (i=0; i<=100; i+=1) { printf("%d",i); } (D) int i; for (i=1; i<=100; i+=2) { printf("%d",i); }
42. 實作方式一如圖(五)所示, 空格 應填入的正確程式片段為何?(A) sum+i (B) sum+1(C) sum+( 1+n ) * n / 2 (D) sum+1+2+3+...+n
43. 實作方式二如圖(六)所示, 空格 應填入的正確程式片段為何?
(A) sum+i (B) sum+1(C) sum+( 1+n ) * n / 2 (D) sum+1+2+3+...+n
44. 實作方式三如圖(七)所示, 空格 應填入的正確程式片段為何?(A) sum+i (B) sum+1(C) sum+( 1+n ) * n / 2 (D) sum+1+2+3+...+n
45. 某工廠的各類溫室氣體排放數據儲存於串列中,串列名稱為emissions,如下所示:emissions=[10.5,20.8,15.2, 30.0, 25.3]其中,每個數字表示不同排放來源 ( 例如移動燃燒排放源、製程排放源等 ) 的排放量,單位為公噸。已知 sum() 回傳串列中所有數值的總和; len()回傳串列中元素的數量; max()回傳找出串列中的最大值; min()回傳找出串列中的最小值。為計算所有來源的總排放量,應使用下列何種函式呼叫?(A) sum(emissions) (B) len(emissions) (C) max(emissions) (D) min(emissions)
46. 某公司採用新的減碳技術後,其排放量由P公噸減少至Q公噸,為計算減少比例(以百分比表示),下列計算敘述何者正確? (A) reduction_rate=(P/Q)*100 (B) reduction_rate=(Q-P)/Q*100 (C) reduction_rate=(P-Q)/P*100 (D) reduction_rate=(P-Q)/Q*100
47. 假設某地區的年度溫室氣體排放量為100公噸,且每年增加5%。下列哪一個程式碼片段可以正確計算滿5年之後的排放量? (range()使用說明:range(5)→代表[0, 1, 2, 3, 4];range(1,5)→代表[1, 2,3,4]) (A) (B)(C) (D)
48. 行號第7行程式碼執行完成後,此程式輸出結果為何?(A) [8, 3,4,5,6] (B) [3,4,5,6,1](C) [2, 3,4,5,6,8] (D) [1, 2, 3, 4, 5, 6, 8]
49. 行號第8行程式碼執行完成後,所增加的輸出結果為何?(A) [2, 8] (B) [2,3,4](C) [4, 6,8] (D) [2, 3, 4, 2, 3, 4]
50. 行號第9行程式碼執行完成後,所增加的輸出結果為何?(A) ~Hello~ (B) ~2025~(C) ~2025~Hello (D) Hello2025