所屬科目:天氣學
一、請說明為何氣象預報員在地面天氣圖上分析等壓線,而在高空天氣圖上卻是分析等高線?換言之,請說明等壓面上的等高線和等高面上的等壓線是 具有相同的物理意義。(25 分)
二、請說明大氣中產生上升運動的主要強迫機制(Forcing Mechanism)有那三種?並舉例說明各種強迫運動伴隨的物理過程為何?(25 分)
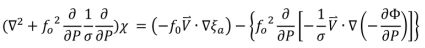
三、準地轉趨勢方程(Tendency Equation)可以寫成下列形式,其中χ表示重力位隨時間的變化。請就方程式中各項的物理意義及其在大氣高低層中的重要性說明之。(25 分)
四、氣團移出其源地後,因環境(主要是地表特徵)改變,其特性即受到氣團經過地區特性之影響而改變,稱為氣團變性(air mass transformation)。請說明發生氣團變性主要的過程有那三種?並利用探空圖說明這三種氣團 變性過程在探空圖的溫度曲線之變化為何?(25 分)