所屬科目:有機化學
(一)
(二)
(三)
(四)
(五)HO2C-CO2H
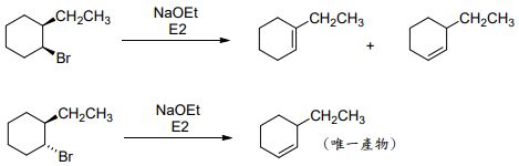
二、請解釋這兩個立體異構物進行消去反應(E2)的產物分布,順式得到二個消去反應產物,而反式只得到一個消去反應產物。
(五)
(六)
(七)
(八)
(九)
(十)