所屬科目:教甄◆資訊科技概論專業(電腦科)
1.給予資料依序建立二元搜尋樹,以下哪一個資料所建立的二元搜尋樹的 level(階層)最多 (A) [10, 5, 15, 3, 7, 12, 18] (B) [2, 1, 3, 4, 5] (C) [8, 12, 4, 15, 10, 6, 2] (D) [20, 10, 30, 25, 22] (E) [20, 10, 18, 15, 16]
2. 在人工神經網路中,ReLU 函數的定義為 (A) f(x) = x 2(B) f(x) = max(0, x) (C) f(x) = 1/x (D) f(x) = log(x) (E)
3 若有一個初始為空的堆疊(Stack)與一個初始為空的佇列 (Queue)。可執行的指令有
執行以下指令: Push (10)、Enqueue(20)、Push(30)、Enqueue(40)、Swap()、Pop()、Dequeue()、 Enqueue (50)、Push (60)、Swap()、Pop()、Pop()。問 Pop()指令依序輸出的資料為? (A) 20 40 10 (B) 30 20 10 (C)30 60 10 (D)40 60 50 (E)40 20 10
4.下面哪一個邏輯運算為恆等式?
(⊕由為互斥,為not)
(甲) (AB) = A V B
(乙) A→B =-AVB
(丙) A⊕B = (A V B)
(丁) (ΑΛ (Β v C)) = (ΑΛΒ) ν (ΑΛC)(A)甲乙丙丁 (B)甲乙丙 (C) 甲丙丁 (D)甲乙丁 (E)乙丙丁
5. 關於人工智慧與機器學習的原理,下列敘述那一個是正確的? (A) 梯度消失(Vanishing Gradient):這主要發生在網路層數過淺時,導致反向傳播的數值過大,使 得神經元權重更新劇烈而無法收斂 (B) 損失函數(Loss Function):在進行二元分類任務時,若最後一層使用 Sigmoid 激活函數,通常會 搭配「均方誤差(MSE)」作為損失函數,以達到最佳的收斂效果。 (C) 過擬合(Overfitting):當模型在訓練集上的準確率遠高於測試集時,代表模型發生了過擬合。 此時應減少模型的參數數量或神經元層數,以提升其泛化能力。 (D) CNN: 主要透過全連接層來處理影像,每個神經元必須與前一層的所有像素點相連。這種設計使 模型對物體在影像中的位移極為敏感。 (E) 隨機森林(Random Forest): 隨機森林是基於 Boosting 演算法的集成學習方法,透過循序地 (Sequential)修正前一個弱學習器的錯誤來提升準確度。
6.關於常見排序演算法,下列敘述何者正確? (A)氣泡排序法(Bubble Sort)在最佳情況下時間複雜度為O(n²),是不穩定的排序 (B)快速排序法(Quick Sort)在最差情況下時間複雜度為 O(n log n),是不穩定的排序 (C)合併排序法(Merge Sort) 無論任何情況時間複雜度均為 O(n log n),但需要額外的記憶體空間, 是穩定排序(Stable Sort) (D)選擇排序法(Selection Sort)在最差情況下時間複雜度為O(n²),是穩定排序 (E)堆積排序 (Heap)在最差情況下時間複雜度為O(n²),是不穩定排序
7.在資料庫中有兩個資料表,第一個是 customers,欄位:[id, name],存「客戶資料」,第二個是 orders,欄位:[id, customer_id, amount],存「訂單資料」,若想找出「有下過訂單的客戶名稱, 以及他們的訂單總金額」,下面一個 SQL 語法是正確的(預設客戶姓名不會重複)?
(A)(B)(C)(D)(E)
8. 關於區塊鏈(Blockchain)的敘述,下列何者正確?
(甲) 區塊鏈中的資料一旦寫入後,難以被竄改
(乙) 區塊鏈是由單一中央伺服器負責管理資料
(丙)每個區塊透過雜湊(Hash)與前一個區塊相連
(丁) 區塊鏈中的所有節點都必須儲存完整帳本資料,才能維持系統運作
(戊) 區塊鏈的資料通常由多個節點共同維護(A)甲乙丙丁 (B)乙丙丁戊(C)甲丙丁(D) 乙丙 丁(E)甲丙戊
9. 關於電腦記憶體階層(Memory Hierarchy)的敘述,下列何者正確?(A)主記憶體(RAM)的存 取速度比快取記憶體(Cache)快(B)記憶體階層設計的主要目的是在成本與效能之間取得平衡(C)所 有記憶體的存取時間都相同,只是容量不同(D)硬碟(HDD/SSD)屬於揮發性記憶體 (E)暫存器 (Register) 容量最大且速度最快
10. 利用 Bubble Sort,將下列五個數字 33,17,9,32,24 由小到大排序,則需經過幾次的交換(swap) 動作?(A) 6 (B) 7 (C) 8 (D) 9 (E) 10
(1). FIFO (First-In, First-Out):_________
(2). LRU (Least Recently Used) :_________
2. 某二元樹走訪結果如下,中序: DBEAFCGHIJKLM,後序:DEBFGCAIJHMLK。求請求出 此二元樹的前序:_________
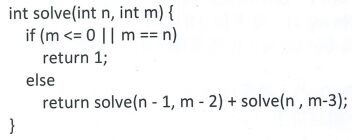
3. 觀察下列C++ 程式碼,請問呼叫 solve(3, 7) 後的傳回值為多少?_________
4. 下列程式片段的時間複雜度為何?_________
5. 下列程式片段的執行完,列印資料為何?_________
6.使用者將輸入一個m*n 大小的矩陣A資料,假設宣告變數與輸入資料都已完成。若想完成一功能 將程式逆時針旋轉90度,放入矩陣 B(矩陣B也宣告完成),下面空格處應填入:_________
例如輸入矩陣 A m=2 n=4
逆時針旋轉90度後,變成矩陣 B
7. 8-bit 二補數 11110110 = 十進位(_________)
8. 進位轉換計算:(72)8+(10010111)2=(_________)16
9.使用霍夫曼編碼,若有字元集合 ={a,b,c,de,f,g,h},其對應出現機率如下:
使用霍夫曼編碼後,每個字元所需用幾個位元表示:(僅需寫出幾個位元,無須寫出其編碼)
10.以下程式執行後,會列印出_________ (共三行,需全對才計分)
11.在一個使用先到先服務排程(FCFS)的系統中,有四個程序,其到達時間(Arrival Time)與執行 時間(Burst Time)如下表,請問平均等待時間(Average Waiting Time)為何(單位為毫秒)?_________
12.已知有一個二維陣列:A[0..4][0..5]用來存放整數(每個元素佔2個記憶體位置),以row-major 方式排列,已知A[2] [3]的起始記憶體位置為1100,請問A[4] [1]的起始記憶體位置為多少?(記憶體 空間以10進制表示)_________
13.若有已排序資料如下:1,5,8,11,15,18,22,27,30,33,44,使用二分搜尋法(若區間長度為偶數,則 middle 取較左側的元素),尋找20,問搜尋過程中,會拜訪的數字依序為:_________
1
2
15.以下 python 程式碼執行結果為:_________
1.請計算該 WAN 介面所在網段之網路位址(Network Address)。
2.請計算該 WAN 介面所在網段之廣播位址(Broadcast Address)
3.請寫出該 WAN 子網路中,所有可分配給主機使用的IP範圍。
4.若本校路由器 WAN 介面IP為213.72.247.25,且上游 ISP設備使用同一網段中的另個可用IP,請問 預設路由(Default Route)的下一跳(Next Hop)應設定為哪一個IP?
5.(進階實務)請說明在點對點(Point-to-Point) 專線中,使用/30子網掩碼優於/24 的兩個主要原 因
(1). 網路位址(Network Address)
(2). 廣播位址(Broadcast Address)
(3).可用 IP位址範圍
二、校園網路位址分配與CIDR 計算實務(共10分)某校電腦教室共2間(電教一45 台、電教二45台),合計 90台有線電腦。每間電腦教室各配置一台具 NAT 功能之有線路由器,電教一與電教二各自獨立使用192.168.40.0/25 作為其內部私有IP 網段(兩間電腦教室之內部網路彼此不互通,僅分別透過各自路由器進行 NAT 對外連線)。兩台路由器之 WAN 介面均接入校園核心交換器,公有IP 分別設定為120.101.175.241/24(電教一)與120.101.175.242/24(電教二)。
2. Gateway 規劃 若規畫將 192.168.40.0/25 中最後一個可分配給主機使用的合法 IP位址作為此網段之 Gateway IP,則 Gateway 應設定為何?
(1). 電腦教室之用戶端電腦採用 DHCP或靜態 IP 皆可成立,應視學校實際管理方式而定。若考生能 清楚說明其選擇理由,且理由符合電腦教室管理情境,均可酌予給分。
(2). 若學生自行將電腦手動設定 IP(如192.168.40.50)而未依 DHCP規劃取得位址,可能造成什麼問 題?請說明一項管理或技術上的防範作法。
三、請實作寫出插入排序法,假設要排序的陣列大小為N,陣列名稱為A,(N,A 已正確宣告),請將 陣列N的數字由小到大進行排序,完成插入排序的功能即可(不需要寫輸入陣列與輸出陣列結果) 其餘所需任何變數需撰寫程式時自行宣告,(直接使用排序函數等,無法清楚辨識為插入排序法不計 分),程式請使用 C/C++或 python 三種程式語言擇一撰寫,
(1)若由A點出發,進行廣度優先搜尋,拜訪的路徑為:_________
(2)若由A點出發,進行深度優先搜尋,拜訪的路徑為:_________
(3)使用 Kruskal's Algorithm,所得之最小生成樹(請畫出來,並標示其權重): _________
進行廣度優先搜尋與深度優先搜尋時,若有多個相同優先順序之可拜訪節點(例如同一層或同一分 支),則一律依「字母順序(A Z)」較小者優先進行拜訪。