所屬科目:研究所、轉學考(插大)-微積分
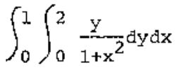
(1)
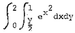
(2)
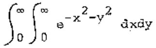
(3)
(4)
3. Let f(x,y)=Show that fx(0,0) and fy(0,0) both exist but the limit of f(x,y) at (0,0)does not exist.
6. Find the Maclaurin series for , -1<x<1.
(a) The area of the surface z=x2+y2 below the plane z=1 is (A) .
(b) The curvature $\kappa$ of the ellipse 4x2+9y2=36 at the point (3,0) is (B) .
(c) The local maximum value of f(x,y)=sin x + sin y + sin(x+y), 0<x<2pi, 0<y<2pi is (C) .
(d) The point P on the sphere x2+y2+z2=4 is closest to the point (3,1,-1), P= (D) .
(e) The volume of the solid that lies under the paraboloid z=x2+y2, above the xy-plane, and inside the cylinder x2+y2=4 is (E) .
(f) Evaluate the line integral , where C is the circle x2+y2=9 is equal to (F) .