所屬科目:研究所、轉學考(插大)-微積分
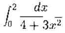
1. = ① , = ②
2. = ③
3. = ④
4. Find the interval ⑤ of convergence of.
5. Let f(x) = √1 + t² dt for all x, c = f(1), '(c) = ⑥ .
6. (3x - 5y) dA = ⑦ ,R is the triangle region bounded by the lines y = 5 + x, y = -x + 7, and x = 10.
7. Find the surface area ⑧ of the portion of the plane x + 2y + 4z = 6 in the first octant.
8. (z - 2x - y) dz dy dx = ⑨ .
9. = ⑩ , where R is the region bounded by the lines x - 2y = 1, x - 2y = 2, x + 2y = 1 and x + 2y = 3.
10. = ⑪ , where D is the solid common to the cylinder x2 + y2 = 1 and the sphere x2 + y2 + z2 = 4.
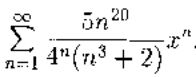
11. Let = ⑫ .
II. Prove that converges if < 1.
III. Prove that if f'(x) > 0 for each x in (a, b), then f is strictly increasing on (a, b).
1. Find and .
2. Show that f is not differentiable at (0,0).
1. Find all extreme points of f subject to g(x, y, z) = 6.
2. Find the maximum and minimum of f subject to g(x, y, z) = 6.