所屬科目:四技二專統測◆數學C
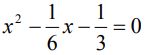
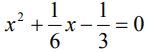
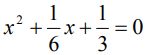
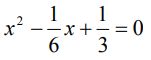
6. 已知一個一元二次方程式的兩根為,則此方程式為何? (A) (B)(C)(D)
7. 將展開時,x 項之係數為何? (A) −2 (B) 0 (C) 1 (D) 2
8. 若a 為之解,則下列那個選項正確? (A) − 3 < a < −1 (B) −1 < a < 1 (C) 0 < a < 2 (D) 2 < a < 4
9. 下列那個函數的圖形為一直線? (A)f(x)= x2 +1 (B)g(x)= −x2 +2 (C)h(x) = −x +1 (D)k(x)= x3−1
10. 化簡=? (A)(B) (C)(D)
11. 已知兩指數函數與 x ( 的圖形相交於一點,則下列何者為此交點的坐標? (A) (1, 0) (B) (0, 1) (C) (0, 0) (D) (1, 1)
22. 某校護理科學生含小鳳在內共 12 人,任選 3 人到甲醫院實習,則小鳳被選到的機率為何? (A)(B) (C)(D)
23. 擲一枚公正的硬幣 3 次,恰好出現兩次正面的機率為何? (A) (B) (C) (D)
24. 擲一粒公正的骰子 3 次,則 3 次點數之和小於 6 的機率為何? (A) (B) (C) (D)