所屬科目:研究所、轉學考(插大)-微積分
(a)
(b)
(c)
(d)
(e)
(d) sin(xy) + x = x²-y
(c) ∫ cosx ln(sinx) dx
(a) f(x) = sinx at x = 0
(b) f(x,y) = sinxcosy at (0, π)
5. Find the velocity and acceleration vectors for the position vector r(t) = (4cos2t, 4sin2t, 4t) at t = π/4.
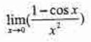
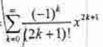
6. Prove that the Taylor expansion of sinx at x is sinx = and use it to approximate dx with first 3 terms (i.e., n=3).
7. (a) Use Jacobian between Cartesian coordinates and polar coordinates to derive the evaluation formula for polar coordinates: (x, y) dxdy = (rcosθ, rsinθ) rdrdθ
(b) Evaluate 2xdydx by converting to polar coordinates using the formula of (a).