阿摩線上測驗
登入
首頁
>
環境化學與環境微生物學
> 92年 - 92 專利商標審查特種考試_三等_環境工程:環境化學與環境微生物學#23872
92年 - 92 專利商標審查特種考試_三等_環境工程:環境化學與環境微生物學#23872
科目:
環境化學與環境微生物學 |
年份:
92年 |
選擇題數:
0 |
申論題數:
6
試卷資訊
所屬科目:
環境化學與環境微生物學
選擇題 (0)
申論題 (6)
一、在化學計量(stoichiometry)平衡之狀態下完全燃燒辛烷(octane)時之化學反應 式為何?所產生之二氧化碳在廢氣中之體積百分比(%)組成為何?假設導 入燃燒室中之空氣莫耳組成為 O
2
=20.9%,N
2
=79.1%(20 分)
二、試繪圖說明垃圾衛生掩埋場處理過程各階段微生物作用與產氣行為之變 化。(20 分)
三、請說明混凝土污水管發生冠狀腐蝕(crown corrosion)之原因並說明參與此反 應之微生物種類為何?(20 分)
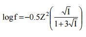
【已刪除】四、利用下列所示 Extended Debye-Huckel 方程式,計算含 −2.5 ×10
-2
M CaCl
2
以及 5 ×10
−4
M HCl 溶液之 pH 值?(20 分)
,I:離子強度,Z:離子電荷,f:活性係數。
(一)試求在 pH=6 及 8 時,C
6
H
5
OCl 與 NH
2
Cl 生成速率之比值。(15 分)
(二)若要減少 C
6
H
5
OCl 之生成,則需在加氯前昇高或降低原水 pH 值。(5 分)
相關試卷
114年 - 114 地方政府公務特種考試_三等_環境工程、環保技術、環境檢驗:環境化學與環境微生物學#134794
114年 · #134794
114年 - 114 專技高考_環境工程技師:環境化學與環境微生物學#133664
114年 · #133664
114年 - 114 公務升官等考試_薦任_環境工程、環保技術、環境檢驗:環境化學與環境微生物學#133117
114年 · #133117
114年 - 114 高等考試_二級_環境工程:環境化學與環境微生物學#131581
114年 · #131581
114年 - 114 高等考試_三級_環境工程、環保技術、環境檢驗:環境化學與環境微生物學#128512
114年 · #128512
113年 - 113 地方政府公務特種考試_三等_環境工程、環保技術:環境化學與環境微生物學#124475
113年 · #124475
113年 - 113 專技高考_環境工程技師:環境化學與環境微生物學#123903
113年 · #123903
113年 - 113 中央印製廠_新進人員甄試_環工工程員:環境化學、環境微生物學及廢棄物管理工程#123199
113年 · #123199
113年 - 113 高等考試_二級_環境工程:環境化學與環境微生物學#123082
113年 · #123082
113年 - 113 高等考試_三級_環境工程:環境化學與環境微生物學#121288
113年 · #121288