所屬科目:私醫聯招◆普通化學
1. 臭氧(Ozone)是屬於下列哪類空氣污染物? (A) 光化學氧化物 (B) 工業氧化物 (C) 運輸工具廢氣 (D) 冷媒廢氣
2. 各軌域能量大小之比較,何者正確? (A) 6s>4f>3d (B) 3d>3p>3s (C) 2s>3s>4s (D) 5s=5p=5d
3. 利用 VSEPR模型推測,下列分子中何者的結構屬於平面四邊形? (A) CH4 (B) CF4 (C) SiCl4 (D) XeF4
4. 某金屬暴露在特定波長下而激射電子之現象為何? (A) 激發光譜 (B) 光電效應 (C) 電磁光譜 (D) 黑體輻射效應
5. 在氫原子光譜中,若欲激發電子由n=2到n=3需使用多少波長的光?(蒲朗克常數為 6.626 × 10-34 J.s)(A) 656.6 nm (B) 328.3 nm (C) 984.9 nm (D) 674.8 nm
6. 下列那一種碳水化合物可儲存於哺乳動物體內? (A) cellulose (B) glycogen (C) amylopectin (D) starch
7. 高密度聚乙烯(HDPE)的組成,下列敘述何者正確? (A) 以線性、無分歧的聚乙烯緊密的堆積排列 (B) 為聚乙烯與聚苯乙烯的混合物 (C) 聚乙烯中添加高密度可塑劑以增加產品密度 (D) 以上皆非
8. DNA的雙股螺旋結構是依賴其 AT,CG鹼基對的何種作用力來維持? (A) 共價鍵 (B) 離子鍵 (C) 氫鍵 (D) 凡得瓦力
9. 由於溫度昇高,造成酵素(enzyme)之活性部位的結構發生改變,影響其作用及功能,此現象稱為? (A) 形成錯合物(complex formation) (B) 水解作用(hydrolysis) (C) 抑制作用(inhibition) (D) 變性(denaturation)
10. 我們生活中可接觸到許多聚合物的產品,下列哪一種化合物單體可利用加成聚合反應製成所需要的聚合產物? (A) ethane (B) ethanol (C) propene (D) ethylene glycol
11. 下列何者所含的電子數多於中子數? (A)(B)(C) 27Al (D) 75As3-
12. 放射性元素之衰變是屬於下列何種反應? (A) 一級反應 (B) 二級反應 (C) 非自發反應 (D) 温控反應
13. ã -射線與x -射線對生物體造成的輻射性傷害是肇因於下述何種情形? (A) 發生游離現象並產生自由基(free radicals) (B) 產生同位素 (C) 發生氧化反應 (D) 發生還原反應
14. 某放射性物質,起始放射性强度為 2.0 ×103dps,經6小時後,衰變成250 dps。此放射性物質之半衰期為何? (A) 7小時 (B) 4小時 (C) 2小時 (D) 1小時
15. 下列何者不具配位子(ligand)之性質? (A) NH3 (B) (C) CO (D)
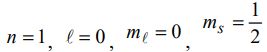
16. 下列關於量子數的組合,何者有誤? (A)(B)(C)(D)
17. 原子 E之電子組態為[Kr]4d105s25p2,如與氟離子結合,其化合物的化學式最可能為下列何者? (A)(B) EF4 (C) EF (D) EF8
18. 關於有效核電荷(effective nuclear charge, Zeff)的敘述,下列何者正確? (A) Zeff隨原子體積增加而增加 (B) Zeff隨週期由左而右遞減,同族由上而下增加 (C) Zeff隨週期由左而右遞增,同族保持固定常數 (D) Zeff隨主量子數值增加而增加
19. Tin 的元素符號為下列何者? (A) Ti (B) Tn (C) Sn (D) Se
20. 下列有關乾電池的敘述,何者有誤? (A) 鋅板為負極 (B) 碳棒為陰極 (C) 以糊狀 NH4Cl、ZnCl2、MnO2混合物作電解質 (D) MnO2僅作為氧化劑
21. 下列何者屬氧化半反應? (A)(B)(C)(D)
22. 有關下列二反應的敘述,何者有誤? (A) NO3及TiCl4為氧化劑 (B) Cu(s)及Mg(s) 為還原劑 (C) Mg(s)的活性比Ti(s) 小 (D) 氧化還原反應伴隨物質狀態的改變
23. 請自下述反應中選擇正確之敘述:
I. 更易被氧化
II. 更易被還原
III. 離子與CN離子結合後,並沒有影響其被氧化或被還原之趨勢 (A) I (B) II (C) III (D) I & II
24. 下列何者之熵值(entropy)為最低? (A) S(s) (B) O2(g) (C) SO2(g) (D)
25. 計算 298 K時下列反應之ÄG0=?
N2(g) + 3Cl2 (g) → 2NCl3 (g) K = 1.0 × at 298 K (A) -5.7 kJ (B) +11.4 kJ (C) -8.1 kJ (D) +22.0 kJ
26. 氣態氫氣與液態溴反應產生氣態溴化氫,已知此反應之 H = -17.4 Kcal,此反應在下列何種狀況下是自發反應? (A) 任何温度下 (B) 只有高溫下 (C) 只有低溫下 (D) 無法判斷
27. 利用下列數據,計算ICl之標準生成焓(kJ/mol)為何? (A) -211 (B) -14.6 (C) 16.8 (D) 33.5
28. 一瓶裝有 500 毫升蘇打水的瓶子,於5atm,25℃下,可吸收多少重量的二氧化碳? (CO2分壓為3.0 atm, ) (A) 22克 (B) 15克 (C) 4.4克 (D) 1.5克
29. 製備鹽酸可以利用下列化學反應執行,NaCl(s)+H2SO4(aq) → HCl(g) + Na2SO4(s),今準備2.0 莫耳硫酸及 150 克氯化鈉,可製備出多少鹽酸? (A) 27.30克 (B) 93.5克 (C) 64.8克 (D) 73.7克
30. 下列何者的凝固點(freezing point)最低? (A) 0.010 m NaCl (B) 0.010 m Li2SO4 (C) 0.035 m C3H8O (D) 0.015 m MgCl2
31. 已知滴定5N之NaOH水溶液60毫升需25毫升之HCI,若要配製3N的HCI溶液100毫升則應取多少量的HCI? (A) 25 毫升 (B) 30毫升 (C) 15 毫升 (D) 20毫升
32. 有一化學反應式為 2A(g)↔2B(g)+C(g),其化學平衡常數(K)在室溫為 1×104,而在較高溫時為, 如將此反應置於冰浴中進行將導致下列何種情況? (A) [A]之濃度增加 (B) [B]之濃度增加 (C) 對[A]和[B]之濃度無影響 (D) 無法判斷
33. 下列各項中,何者為化學反應達成平衡所需的條件? (A) 正、逆雙方向的反應完全停止 (B) 反應物與生成物的濃度相等 (C) 巨觀下反應系各物濃度不再隨時間而改變 (D) 反應物與生成物的總質量相等
34. 一礦物中 TiO 2 的重量百分率可由其和BrF3作用產生的氧氣量計算得到
,若2.376 克的礦物經作用後可得 0.143 克的氧氣,試問此礦物中 TiO2的重量百分率為何?(Ti 分子量為47.88 g/mol) (A) 15% (B) 30% (C) 45% (D) 60%
35. 有一反應如右: 2A+2B→C+2D,且其初始反應速率與濃度如下表,請選出反應常數之單位。
(A) (B) (C)(D)
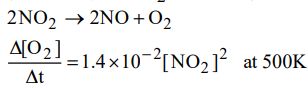
36. 四氟乙烯(C2F4 )能被轉變成八氟環丁烷,反應觀測以1/ [C2F4]對時間作圖,得斜率為0.0448 的直線 關係,此反應的速率定律(rate law)為何? (A) 速率 = 0.0448() [C2F4] (B) 速率 = 0.0448( ) [C2F4]² (C) 速率 = 22.3(Ms)[C2F4] (D) 速率 = 22.3(Ms)[C2F4]²
37. 下述反應中,NO2的起始濃度為1.00 M,請問需要多少時間,NO2的濃度才會變成起始濃度的25%? (A) 49.5s (B) 71.4s (C) 214s (D) 428s
38. O3 → O2+O
O3 + O → 2O2 上述反應中,O為_____ (A) reactant (B) product (C) catalyst (D) intermediate
39. 一個化學反應的活化能大小,可以用下列何種方式表示? (A) -(slop of a plot of In k vs. 1/T)÷ R (B) -(slop of a plot of In k vs. 1/T) × R (C) + (slop of a plot of In k vs. 1/T)×R (D) + (slop of a plot of In k vs. 1/T)÷R
40. 右列酸溶於水中之酸性強弱依序為:HI > HNO2 > CH3COOH> HCIO > HCN ,由Brønsted-Lowry定義,下列何 者鹼性最弱? (A)(B) (C) (D)
41. 由 0.5 M 醋酸及 0.4 M 醋酸鈉製備之緩衝溶液其pH值為多少?(=4.75) (A) 13.5 (B) 3.75 (C) 4.65 (D) 10.25
42. 0.60 M (CH3)3N(aq)水溶液,其pH值為多少? (A) 2.21 (B) 4.34 (C) 11.79 (D) 10.66
43. 下列何者不符合八隅體規則?
I. BF3 II. CF4 III. SF4 IV. CIF4 (A) I,II,III (B) I,III,IV (C) II,III,IV (D) I,II,III,IV
44. 電負度(electronegativity)是 (A) 從原子移去一個電子所需的能量 (B) 將一個電子加於原子所釋出的能量 (C) 於化學鍵中原子對電子的吸引力量 (D) 原子在化合物中負電荷的大小
45. π鍵的形成主要是 (A) overlap of two s orbitals (B) overlap of an s orbital and a p orbital (C) overlap of two p orbitals (D) sidewise overlap of two p orbitals
46. 下列何者具有最高的熔點? (A) H2O (B) CO2 (C) S8 (D) MgF2
47. 化合物 XeOF2中,試問其中 Xe 是以何種混成軌域產生混成鍵結? (A) sp2 (B) sp (C) sp3d2 (D) dsp3
48. 已知某樣本含有同位素 (10.013 amu)及(11.009 amu),若10B含量為48.73%,則該樣本中B的原子量為何? (A) 10.811 amu (B) 10.013 amu (C) 10.524 amu (D) 11.009 amu
49. 下列雙原子分子氣體中,在相同溫度時,何者之擴散速率為O2氣體的 0.672 倍? (A) N2 (B) F2 (C) Cl2 (D) Br2
50. 依下列相圖所作的敘述,何者正確? (A) 由點A至F表示發生昇華 (B) 點C和E表示氣、液相平衡 (C) 分子在點 D較點F之平均動能大 (D) 以上皆是