所屬科目:研究所、轉學考(插大)-微積分
1. (7分) Let f(x) be a differentiable function on R satisfying for all x R. Then f(π)=__________.
2. (7分) Let L be the line tangent to the polar curve r(θ) = at θ = 0. The equation of L in x and y is_________ .
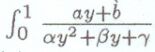
3.(7分) Evaluate the improper integral by transforming it into a definite integral of the form via an appropriate 1-1 onto differ-entiable function .
4.(7分) Evaluate dx=_____.
5. (8分) Let p(x)=x6+2x5-x+1. Find =_________·
6.(8分) Evaluate S Sn xydady, where Ωis the region in the first quadrant bounded by the curves:x2 + y2 =4,x2+y2 =9,x2 -y2 =1,x2-y2=4.
7.(8分) Evaluate the line integraldy along the path C: y = tan(x) from x = 0 to x = .
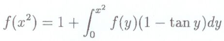
1.(10分) Find
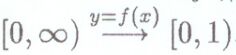
2. (10分) Let 0.a1a2a3a4 ...be the decimal expansion of the rational number . Let bk = a2k,h = 1,2,...The decimal 0.b1b2b3b4... also represents a rational number . Find .
3.(10分) Find the shortest distance from the point (1,2,0) to the elliptic cone z =
4.(10分) Evaluate the surface integral f ∫ ∫s(x4 + y4+ z4)dσ, where do is the surface element and S ={ (x, y, Z) : x2 + y2 + z2 =1}