所屬科目:高中指考◆數學甲
1. 設方程式x5=1的五個根為1,ω1,ω2,ω3,ω4,則(3-ω1)(3-ω2)(3-ω3)(3-ω4)= (A)81 (B)162 (C)121 (D)242
3. 正四面體的四個頂點落在以原點O(0,0,0)為球心、半徑為1的球面上,已知一頂點的坐標為(0,0,1),另一頂點Q的坐標為(a。下列選項有哪些必定是正確的? (A)的夾角為120°。 (B)a2+b2>c2。 (C)ab>0。 (D)c<0。
4. 設a>0,令A(a)表示x軸、y軸、直線x=a與函數y=2+sin x的圖形所圍成的面積。下列選項有哪些是正確的? (A)A(a+2π)=A(a)恆成立。 (B)A(2π)=2A(π)。 (C)A(4π)=2A(2π)。 (D)A(3π)-A(2π)>A(2π)-A(π)。
6. (單選題,6分)如果現在袋子內的球是一白一黑(即狀態2),請問經過一次操作後,袋中會變成兩顆黑球(狀態3)的機率是多少? (A)(B)(C)(D)
把從狀態j經過一次操作後會變成狀態的機率記為(例如上題的機率就是),由此構成一矩陣。
7. (多選題,8分)針對矩陣,下列選項有哪些是正確的? (A)矩陣P滿足。 (B)P是轉移矩陣(即每行之和皆為1)。 (C)P的行列式值為正。 (D)p11=p33。
A. 若坐標平面上滿足2x2+axy+2y2=1的點(x,y),都滿足x2+y2≤1,則a的最小可能值為__⑨⑩__。
B. 將tan x=x的所有正實根由小到大排列,得一無窮數列x1,x2,...,xn,...則(四捨五入到小數第二位)。
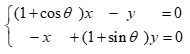
一、 若有θ使下述方程組不只有一組解,求sinθ+cosθ的值。(12分)