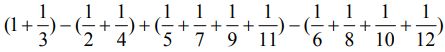
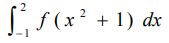
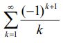
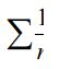
6. We already know that the series
is convergent. Now, rewrite the series by combining 2n consecutively positive terms in the series, then followed by 2n consecutively negative terms, where n = 1, 2, 3, …, to get a new series as follows:
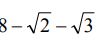
+... , then the new series is still convergent. (A)O(B)X