所屬科目:台電◆電工原理
26. 交流電壓 V(t) = 20 sin(120πt+30° ) V,電壓有效值及頻率分別為 (A) 20V,120 Hz (B), 120 Hz (C) 20 V,60 Hz (D) ,60 Hz (E) 20 V,60 Hz。
28. 如圖所示之電路,當開關 S 閉合後,此電路之時間常數為 (A) 10 μs (B) 1 ms (C) 0.1 μs (D) 1 μs (E) 100 μs。
30. 有效值為 10 V 之正弦電壓,其峰對峰值為 (A) 10 V (B) 20 V (C) 10 V (D) 20 V (E) 20 V。
33. 一交流電路中,電壓 V(t) = 30cos(377t +15° ) V,電流 i(t) = 0.5cos(377t +75° ) A,此電路的功率因數為 (A) 0.866 (B) (C) (D) 0.5 (E) 0.2。
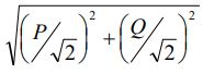
34. 若 P 為有效功率,Q 為無效功率,則視在功率 S= (A) (B) (C)(D) (E)。
36. 如下圖所示求 ab 兩端戴維寧等效阻抗 Zth為多少歐姆? (A) 6+j8 (B) 6–j8 (C) 6–j (D) 6+j (E) 6–j12。
38. 對於 Y 接線三相變壓器,VL為線間電壓,IL為線電流,VΦ 為相電壓,IΦ 為相電流,下列何者正確 (A) VL = VΦ (B) IL = IΦ (C) VΦ = VL (D) IΦ = 3 IL (E) VLIL = VΦIΦ。