所屬科目:放射線器材學(包括磁振學與超音波學)
4 下圖為氣體充填式偵測器(gas-filled detector)偵測機轉中,施加電壓及產生相對電流之關係圖,在 實際臨床應用之放射偵測器中,主要是採用那三區之特性為設計基礎? (A)Ⅰ,Ⅱ,Ⅲ (B)Ⅰ,Ⅲ,Ⅳ (C)Ⅱ,Ⅲ,Ⅳ (D)Ⅲ,Ⅳ,Ⅴ
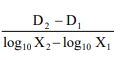
18 在 X 光照相軟片上,可偵檢的最小曝露差異將取決於特性曲線之斜率,此斜率稱為軟片之加馬值 (gamma value),其定義為γ等於:(D 為光密度;X 為曝露) (A) (B) (C) (D)
58 下列那一元素的原子核其核自旋(Nuclear spin,Ⅰ)值等於零,不會產生核磁共振影像? (A)1 H (B)14C (C)19F (D)31P