所屬科目:研究所、轉學考(插大)-微積分
1. If f and g are continuous functions with f(4) = 1 and 3f(x) - g(x)] = 5, find g(4). (A) g(4) = 8 (B) g(4) = -2 (C) g(4) = 1 (D) g(4) = 2
2. Find the derivative of the following function y(x) = a³ + 3 cos³(x). (A) 3a²-9 cos²(x) sin(x) (B) -9 cos²(x) sin(x) (C) 3a²-9 cos²(x) (D) 9 cos²(x) sin(x) (E) -9 cos²(x) (f) 9 cos²(x)
3. Let g be the inverse for the function f(x) = x+x³. Which of the followings is incorrect. (A) g(0) = 0 (B) g(2) = 1 (C) g'(0) = 1 (D) g'(2) = 1/13
4. Find g'(x) if g(x) = (6 + cos(t)) dt. 0 (A) g'(x) = 6 + cos(x) (B) g'(x) = 6x + sin(x) (C) g'(x) = - sin(x) (D) g'(x) = -6 - cos(x)
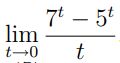
5. Find the limit (A) ∞ (B) (C)0(D)(E) -∞
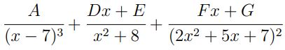
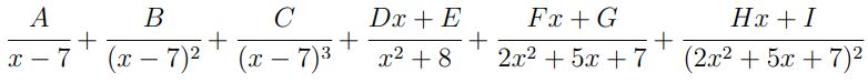
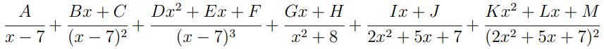
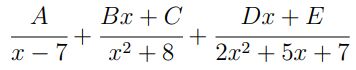
6. Write out the form of the partial fraction decomposition of the expression (A)(B)(C)(D)
7. (A) (B)(C)(D)
8. Find the area of the region enclosed by the lemniscate r² = cos(2θ). (A)(B) 1 (C) (D) 2 1
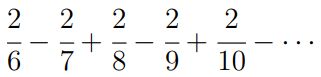
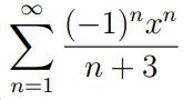
9. Which of the following series is divergent? (A)(B)(C)(D)
10. Find the interval of convergence of the series (A) (-1,1) (B) (-1,1] (C) [-1,1] (D) diverges everywhere (E) [-1,1)
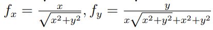
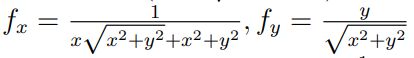
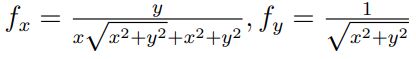
11. Find the first partial derivatives of the function . (A) (B)(C)(D)
12. Find an equation of the tangent plane to the surface at the point (16,2,4). (A) z=-4x-4y+76 (B) z=-4x-4y+71 (C) z=-8x-8y+76 (D) z=-8x-8y+71
13. Find the directional derivative of f(x,y)= at the point $(1,0) in the direction theta. (A) (B) -2√2 (C)(D) 2√2 (E) $0
14. Find the maximum value of the function f(x,y,z)=4x+10y+14z subject to the constraint x2+y2+z2=78. (A) f(2,5,7)=156 (B) f(4,10,14)=312 (C) f(5,3,5)=120 (D) $(15,8,19)=406
15. Find the integral dA, where R={(x,y)| 16≤ x2+y2 ≤81, y≥0. (AB) (AC)(AD) (AE) (BC)(BD)
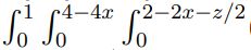
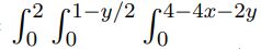
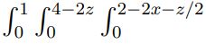
16. Let I= (x-2y+z) dz dy dx. Which of the followings is incorrect. (A) I= (x-2y+z) dz dx dy. (B) I= (x-2y+z) dz dx dy. (C) I=(x-2y+z) dy dx dz.
II. 計算證明題:
1. Find the right circular cylinder of maximum volume that can be inscribed in a sphere of radius 10 centimeters.
2. Show that the surface area of a sphere of radiusr is 4πr2.