所屬科目:研究所、轉學考(插大)-微積分
1. Let If the function f is continuous on the entire real line. Then a =_________.
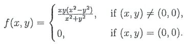
2. Let Then fxy(0,0) = f(x, y) = and fyx(0,0) =__________.
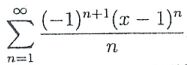
3. Let f(x) = .Then the interval of convergence of f(x) is________.
and the interval OF convergence of f'(x) is________.
4. Let R be the region inside the ellipsoid where a,b,c> 0, and abovethe plane z = b-y, then the volume of the region R is =______.
(a)
(b)
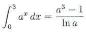
(b) dx. Hint: for a > 0,a ≠ 1.
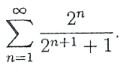
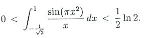
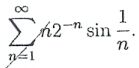
9. Show that
10 Consider the funetion f(x,y) = ax2 + βy2. Find values for a and β so that (a) (0,0) is a local minimum (b) (0,0) is a local maximum, and (c) (0,0) is a saddle.