所屬科目:研究所、轉學考(插大)-微積分
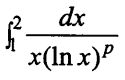
(a);
(b)
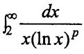
(c).
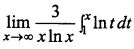
(a) ;
(b).
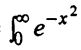
6. (12 pts)The usual way to evaluate the improper integral I = dx is first to calculate its square: I² = dxdy. Evaluate the integral and solve the resulting equation for I.