阿摩線上測驗
登入
首頁
>
工程數學(應用數學, 線性代數、微分方程、複變函數與機率)
> 95年 - 95 地方政府特種考試_三等_電力工程、電子工程:工程數學#35873
95年 - 95 地方政府特種考試_三等_電力工程、電子工程:工程數學#35873
科目:
工程數學(應用數學, 線性代數、微分方程、複變函數與機率) |
年份:
95年 |
選擇題數:
20 |
申論題數:
7
試卷資訊
所屬科目:
工程數學(應用數學, 線性代數、微分方程、複變函數與機率)
選擇題 (20)
1 若一個有阻尼的機械系統可以二次微分方程式15y"+10y'+5y = 0 來表示,它的解滿足下列何者特性? (A) underdamping (B) overdamping (C) critical damping (D)以上皆非
2 有關 y"− y'−2 y = 0,下列敘述何者錯誤? (A)會具有 y = e
ax
形式的兩個相異解 (B) y= c
1
e
−x
+c
2
e
2x
是通解 (C) y =e
−x
和 y =e
2x
為線性獨立 (D)其 Wronskian(Wronski 行列式值) W = e
x
3 求解微分方程式 xy"− y'= (3 +x ) x
2
e
x
? (A) y= cx
2
+ x
2
e
x
+ 2xe
x
(B) y = cx
2
+ x
2
e
x
+ xe
x
(C) y = cx
2
+ x
2
e
x
+ e
x
(D) y= cx
2
+ x
2
e
x
4 利用 Frobenius 級數
的方法解微分方程式時,其中的展開點 x
0
是方程式的什麼點? (A)可解析點(analytic point) (B)正常點(ordinary point) (C)規則奇異點(regular singular point) (D)不規則奇異點(irregular singular point)
5 若矩陣
為奇異(singular)矩陣,則 k 值為何? (A)k=4 (B)k=5 (C)k=6 (D)k=7
6 試問下列那一個集合是向量空間 R
3
的子空間?
7 設矩陣
,令 λ
1
,λ
2
,λ
3
為矩陣 A
−1
之特徵值,試求(λ
1
λ
2
λ
3
) 等於多少? (A)
(B) 2 (C) 4 (D) 6
8
9
10 以下何者為
之反拉布拉斯轉換式(inverse Laplace transform)?
11 考慮複數i = √−1 ,則 (−i)
i
之主要值(principal value)為下列何者?
12 令 u(x, y) = x
2
− y
2
為一實數函數,則下列何者是u(x, y) 之調和共軛(harmonic conjugate)? (A) v(x, y) = x
2
(B) v(x, y) = y
2
(C)v(x, y) = 2xy (D)v(x, y) = 2x / y
13 C 為任一簡單封閉曲線,而 z
0
為一在 C 內之點,則下列何者正確?
14 假設 f (x) 為週期性函數,週期為 4, f (x) 定義如下,求出傅立葉級數
中b
n
項為何?
15 求傅立葉餘弦轉換
16 已知曲面 S 為空間中某封閉有界領域(closed bounded region)T 之邊界(boundary),下列何者不為T之體積?
17 一質點沿曲線 c(t) = cos(3t)i + sin(3t)j +e
-t
k 移動,則t = 0時之加速度大小為何? (A) √10 (B) √37 (C) √63 (D) √82
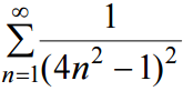
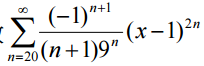
18 求級數
的收斂半徑(radius of convergence)? (A) 1/9 (B) 1/3 (C) 3 (D) 9
19 從 1 到 1000 的整數中隨意任選一個數字,求這個數字可以被 4 或是 7 或是 9 整除的機率為何? (A) 0.583 (B) 0.503 (C) 0.429 (D) 0.406
20 假設 x 是柏松分配(Poisson distribution),其機率函數為p (x = k) =e
-α
α
k
/ k! , α> 0 ,若 p(x = 2) = 2 p(x = 1)/ 3,則 p(x = 0) 為: (A) e
−1/ 4
(B) e
−3 / 4
(C) e
−1/ 3
(D) e
−4 / 3
申論題 (7)
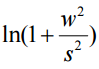
【已刪除】一、求出下列微分方程式的解:2x-ysin(xy)+ (3y
2
− xsin( xy))y'=0;y(0) = 2 (其中
)。 (15 分)
【已刪除】二、若矩陣
,
⑴請計算(I − A)
−1
=?(5 分)
⑵請計算 A
2
+ A
3
= ? (5 分)
⑶請證明 (I − A )
−1
= I + A + A
2
。(5 分)
三、若 f (x) = cos(x / 2), −π ≤ x ≤ π. 求 ⑴ f (x)定義於[ −π ,π] 的傅氏級數(Fourier series)(5 分)
【已刪除】⑵
=?(5 分)
【已刪除】四、給定一個常態分布(Normal distribution)的隨機變數 X,它的機率密度函數(probability density function)為 f (x) = Ke
, −∞ < x< ∞ 。求 K 之值為何?(5 分)求 X 的 期望值(mean)(3 分)以及變異值(variance)(2 分)。