阿摩線上測驗
登入
首頁
>
有機化學
> 95年 - 95 地方政府特種考試_四等_化學工程:有機化學概要#42187
95年 - 95 地方政府特種考試_四等_化學工程:有機化學概要#42187
科目:
有機化學 |
年份:
95年 |
選擇題數:
25 |
申論題數:
17
試卷資訊
所屬科目:
有機化學
選擇題 (25)
1 下列四組化合物中那一組最容易使用分餾方式將二化合物分離? (A)甲醇與氯仿 (B)乙醇與苯 (C)二甲苯與苯 (D)四氫呋喃與己烷
2 右列化合物中箭頭指示的 c-H 鍵之鍵能排列順序為? (A) a>b>c (B) c>a>b (C) c>b>a (D) a>c>b
3 下列何者為酸酐?
4 蔗糖(C
12
H
22
O
11
)是: (A)還原糖 (B)己醛醣(aldohexose) (C)核糖(ribose)的變旋異構物(anomer) (D)雙醣
5 下列化合物,何者可含有不飽和鍵結? (A) C
5
H
12
(B) C
10
H
22
(C) C
8
H
18
(D) C
6
H
12
6 甲、乙、丙、丁為 2, 3-二氯戊烷異構物的費雪投影(Fischer projection),下列有關敘述,何者不正確?
(A)乙、丙為鏡像異構物(enantiomers) (B)甲、丁為鏡像異構物 (C)乙、丁為非鏡像異構物(diastereomers) (D)甲為內消旋化合物
7 下列化學鍵何者伸張振動頻率最高? (A) C-H (B) C=O (C) C=C (D) C-D(氘)
8 下列何者的命名是正確的? (A) 3-丁烯 (B) 2-己烯 (C) 2, 2-二甲基-3-戊烯 (D) 6-甲基環庚烯
9 下列化合物中何者莫耳燃燒熱最大?
10 下列反應之產物為何?
(D)沒有反應
11 在紫外線光譜區中,分子之共軛雙鍵數目越多,其吸收波長為下列何者? (A)越長 (B)越短 (C)不變 (D)不一定
12 下列那一組試劑最適合用於完成右述反應? (A) KMnO
4
(B) MnO
2
(C) CrO
3
, H
2
SO
4
(D) PCC
13 下列那一化合物與硫酸作用發生脫水反應之速率最快? (A)正丁醇 (B)乙醇 (C)異丙醇 (D)第三級丁醇
14 環戊烷有幾個可能的雙碘化衍生物?(不考慮光學異構物) (A)2 (B)3 (C)4 (D)5
15 下列何種試劑可將硝基苯還原成苯胺? (A) H
2
/Pt (B) NaH (C) NaBH
4
(D)(CH
3
CH
2
CH
2
CH
2
)
3
SnH
16 就鹼性強度而言,下列之鹼強度次序何者正確?
17 下列各化合物中何者的酸性最弱?
18 下列化合物中,何者不具有芳香族穩定性?
19 下列反應之主產物為下列何者?
20 右式反應通常採用的催化劑是下列何者? (A) Al
2
O
3
(B) AlCl
3
(C) HgSO
4
(D) HCl
21 下式反應之主產物為下列何者?
22 下面的單醣總共有幾個可能的立體異構物? (A)1 (B)2 (C)3 (D)4
23 在胜肽(Peptide)中連結二個胺基酸的碳-氮鍵性質,下列何項為最佳敘述? (A)為所有的有機物碳-氮鍵中最強的一種 (B)是最容易被氧化的鍵 (C)比其他醯胺鍵弱 (D)具有雙鍵性質
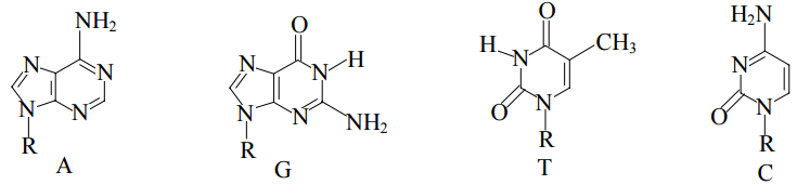
24 核酸中之四種鹼之結構如下:
由於其間之氫鍵而使兩兩成對,下列諸項何者正確? (A) A…G (B) T…G (C) A…T (D) T…C
25 下列反應之主要產物為下列何者?
(A) CH
3
CH
2
OH 及 OHC-CHO (B) CH
3
CH
2
Cl 及 ClCH
2
CH
2
Cl (C) CH
3
CHO 及 HOCH
2
CH
2
OH (D) CH
3
CH
2
OH 及 HOCH
2
CH
2
OH
申論題 (17)
【已刪除】 ⑴
【已刪除】 ⑵
【已刪除】 ⑶
【已刪除】 ⑷
【已刪除】 ⑸
【已刪除】 ⑹
【已刪除】 ⑺
【已刪除】 ⑻
【已刪除】 ⑼
【已刪除】 ⑽
⑴ (CH
3
)
3
COH+Na
+
OH
-
⇌ (CH
3
)
3
CO
-
Na
+
+H
2
O
⑵ CH
3
CH
2
SH+Na
+
OH
-
⇌ CH
3
CH
2
S
-
Na
+
+H
2
O
⑶ CH
3
CH
2
OH+CH
3
CH
2
S
-
Na
+
⇌ CH
3
CH
2
O
-
Na
+
+CH
3
CH
2
SH
⑷ C
6
H
5
OH+Na
+
OH
-
⇌ C
6
H
5
O
-
Na
+
+H
2
O
⑸ CH
3
OC(O)CH
2
C(O)OCH
3
+Na
+
OH
-
⇌ CH
3
C(O
-
)=CHC(O)OCH
3
+H
2
O
三、請寫出 α-胺基丁二酸(α-aminosuccinic acid)在生理 pH 值 7.3 的分子結構;及在 下列各種 pH 值條件的分子結構。(10 分) a. pH=11.0 b. pH=6.0 c. pH=2.6(電中性分子) d. pH=1.0
【已刪除】四、下列的加成反應為何只產生一種溴化物,而無其他位置異構物(regioisomers)的 生成?試以反應機構解釋之。(10 分)
相關試卷
114年 - 114 公務升官等考試_薦任_化學工程:有機化學#133257
114年 · #133257
114年 - 114 調查特種考試_三等_化學鑑識組、醫學鑑識組:有機化學#129586
114年 · #129586
114年 - 114 一般警察特種考試_二等_刑事鑑識人員材料及化學物品鑑析組:有機化學#127790
114年 · #127790
114年 - 114 關務特種考試_三等_化學工程(選試英文):有機化學#126661
114年 · #126661
114年 - 114 關務特種考試_四等_化學工程(選試英文):有機化學概要#126655
114年 · #126655
113年 - 113 調查特種考試_三等_化學鑑識組、醫學鑑識組:有機化學#122084
113年 · #122084
113年 - 113 關務特種考試_三等_化學工程(選試英文):有機化學#119488
113年 · #119488
113年 - 113 關務特種考試_四等_化學工程(選試英文)、化學工程(選試日文):有機化學概要#119484
113年 · #119484
112年 - 112 地方政府特種考試_四等_化學工程:有機化學概要#118363
112年 · #118363
112年 - 112 地方政府特種考試_三等_化學工程:有機化學#118140
112年 · #118140