所屬科目:研究所、轉學考(插大)-微積分
(1-1) y = xlnx, 求與。
(1-2) y = tan²(cosx), 求與。
(1-3) y = x²cos3x, 求與 。
(1-4) y = tan-13x, 求與。
(1-5) xy + = 7, 求。
(2-1) ∫xcosx dx
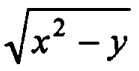
(2-2) dx
(2-3) ∫dx
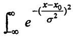
(2-4) dx
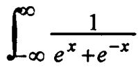
(2-5) 證明dx =π/4
(3-2) 求方程式 x²y + y² + 1 = 0 的圖形在 (, -1) 處的切線與法線方程式。
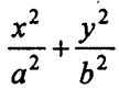
(3-3) 求= 1 (a>0, b>0) 曲線所包圍的面積。
(5-1) 提示: dy =dxdy然後將上式之面積分轉換為極座標之面積分。
(5-2)∫∫∫, 其中 b2 ≦ (x² + y² + z²) ≦ a²