阿摩線上測驗
登入
首頁
>
程式設計
> 96年 - 096年地方資訊處理(四等)#32438
96年 - 096年地方資訊處理(四等)#32438
科目:
程式設計 |
年份:
96年 |
選擇題數:
0 |
申論題數:
6
試卷資訊
所屬科目:
程式設計
選擇題 (0)
申論題 (6)
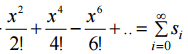
【已刪除】一、週期函數f(x) =1-
,其中第 i 項為s
i
=
。引數(argument)x 的週期範圍0 ≤ x < 2π。請設計函數先將 x 模化(modulus)到0 ≤ x < 2π,然後用級數 相加計算 f (x)的值準確到項數| s
N
| < 10
-8
。(25 分)
二、請設計程式求一個 1-byte(8-bit)的正整數 N 的二進位之互補數(complement)。 (互補:把 0 變 1、1 變 0)。(25 分)
【已刪除】⑴
【已刪除】⑵
四、請設計一個函數,引數為一正整數 N(0<N<100),讓使用者有五次的機會猜到 這個整數。並有以下的設計:(20 分) ⑴一開始要有整數範圍的提示,然後等待答案輸入。 ⑵猜對或猜錯的告知。猜對時,結束返回。 ⑶猜錯時,需要做太大或太小的提示,等下一個答案。 ⑷超過五次時,通知失敗,返回呼叫程式。
五、請用 C 語言,寫出用隨機亂數產生一個大於 0 且小於 100 的隨機正整數的程式碼。 (10 分)