阿摩線上測驗
登入
首頁
>
程式語言
> 96年 - 96 地方政府特種考試_三等_資訊處理:程式語言#39248
96年 - 96 地方政府特種考試_三等_資訊處理:程式語言#39248
科目:
程式語言 |
年份:
96年 |
選擇題數:
0 |
申論題數:
6
試卷資訊
所屬科目:
程式語言
選擇題 (0)
申論題 (6)
⑴請說明 SS 的用途是做什麼?(10 分)
⑵在編譯程式的時候,大部分編譯器(compiler)都會藉由系統的環境參數把程式 區分為 tiny、small、lager、…等等不同編譯模式。請問這些模式有何不同?為什 麼需要做這些不同模式區分?(10 分)
二、令 N 為一個 10-bit 的正整數,其倒裝數 M 為一 10-bit 的正整數,其二進位位元正好 與 N 之二進位位元前後顛倒。給予一個 10-bit 的正整數 N,請設計程式求此整數的 倒裝數 M。程式中請不要使用陣列儲存 N 的二進位位元。(20 分)
【已刪除】三、請設計一個最小(儘量減少不必要的 statements)C++的 head file “yourhead.h”定義 class POSITION 和相關的運算,配合下列的測試程式使用:(儘量正確,但不用太 顧慮語法細節。)(20 分)
四、上述的測試程式,有三種寫法是 C 無法做到的。請說明那三種寫法?並解釋 C++之 所以能這樣寫,及其所對應的功能為何。(20 分)
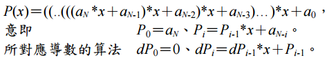
【已刪除】五、用 Horner’s method 計算多項式的方法為
請設計一程式,傳入引數 x、N、ai , i=0,1,2,…,N,回傳函數和導數值。(20 分)
相關試卷
114年 - 114 公務升官等考試_薦任_資訊處理:程式語言#133261
114年 · #133261
114年 - 114 司法特種考試_三等_檢察事務官電子資訊組:程式語言#129571
114年 · #129571
113年 - 113 司法特種考試_三等_檢察事務官電子資訊組:程式語言#122108
113年 · #122108
112年 - 112 公務升官等考試_薦任_資訊處理:程式語言#117323
112年 · #117323
112年 - 112 司法特種考試_三等_檢察事務官電子資訊組:程式語言#116208
112年 · #116208
111年 - 111 司法特種考試_三等_檢察事務官電子資訊組:程式語言#110333
111年 · #110333
111年 - 111 身心障礙特種考試_三等_資訊處理:程式語言#107554
111年 · #107554
110年 - 110 公務升官等考試_薦任_資訊處理:程式語言#103744
110年 · #103744
110年 - 110 司法特種考試_三等_檢察事務官電子資訊組:程式語言#103229
110年 · #103229
110年 - 110 高等考試_三級_資訊處理:程式語言#102818
110年 · #102818