阿摩線上測驗
登入
首頁
>
技師◆化工熱力學
> 96年 - 96 專技高考_化學工程技師:化工熱力學#36305
96年 - 96 專技高考_化學工程技師:化工熱力學#36305
科目:
技師◆化工熱力學 |
年份:
96年 |
選擇題數:
0 |
申論題數:
10
試卷資訊
所屬科目:
技師◆化工熱力學
選擇題 (0)
申論題 (10)
【已刪除】一、根據下表-水之熱力學性質,請計算出過熱水蒸氣在1 bar,200o C(state 1)及400 bar, 800
o
C(state 2)之熱力學性質差值,即:
(6 分), 其中Δθ=θ(state− 2) −θ(state 1),A 為 Helmholtz free energy,G 為 Gibbs free energy。
【已刪除】⑴ 根 據 臨 界點具反曲點( inflection point )的特性,即
及
,請推導出 a 及 b 以臨界溫度 T
c
及臨界壓力 P
c
來表示之關係式。 (8 分)
⑵某一氣體之 T
c
為 425.2 K,P
c
為 38 bar,請由⑴所得關係式求得凡德瓦爾斯狀態 方程式之 a 及 b 值。(6 分)
【已刪除】⑶由⑵所得之結果,請求得此一氣體在 550 K 及摩爾體積 3.0×10
-3
m
3
/mol 之熱膨脹 係數(coefficient of thermal expansion)α ,其中
。(6 分)
⑴請寫出一組獨立化學反應式(an independent set of chemical reactions)來代表此反 應系統。(7 分)
⑵請問此反應系統之自由度(degrees of freedom)為何?(3 分)
【已刪除】四、某一雙成份系統之氣液平衡(vapor-liquid equilibrium)可由 y
i
P=x
i
γ
i
P
i
sat
來表示,其 中 y
i
為成份 i 在平衡時之氣體摩爾分率, x
i
為成份 i 在平衡時之液體摩爾分率,P 為系統壓力, γ
i
為成份 i 之活性係數(activity coefficient), P
i
sat
為成份 i 之飽和蒸 氣壓。此雙成份系統若當溫度為 125
o
C 及x
i
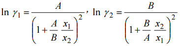
= 0.76 ,請計算出平衡時之P(10 分)及 yi (10 分)。 可用數據:成份 i 之飽和蒸氣壓
其中 P
i
sat
之單位為 kPa, t 為
o
C。活性係數可由范拉方程式(van Laar equation)求得
,其中 A = 0.42,B = 0.75。
⑴若出口水蒸氣之狀態為 420
o
C,1 bar,請問渦輪所作的軸功(shaft work)(5 分) 及出入口水蒸氣之 entropy 變化值(5 分)為何?
⑵若出口壓力保持為 1 bar,請估算渦輪出口水蒸氣可能之最低溫度(5 分)及渦輪 所可作最大的軸功(5 分)。 可用水蒸氣數據如下:
【已刪除】六、某一雙成份系統之氣液平衡數據如下:
若此系統之氣液平衡(vapor-liquid equilibrium)可由yiP=x
i
γiP
i
sat
來表示,請計算 混合物中各成份之活性係數 γ
1
、 γ
2
(4 分)及過剩吉普氏自由能
(6 分)。
相關試卷
114年 - 114 專技高考_化學工程技師:化工熱力學#133634
114年 · #133634
113年 - 113 專技高考_化學工程技師:化工熱力學#123950
113年 · #123950
112年 - 112 專技高考_化學工程技師:化工熱力學#117618
112年 · #117618
111年 - 111 專技高考_化學工程技師:化工熱力學#111969
111年 · #111969
111年 - 111 高等考試_二級_化學工程:高等化工熱力學#110966
111年 · #110966
110年 - 110 專技高考_化學工程技師:化工熱力學#104162
110年 · #104162
109年 - 109 專技高考_化學工程技師:化工熱力學#93195
109年 · #93195
108年 - 108 專技高考_化學工程技師:化工熱力學#80730
108年 · #80730
107年 - 107 專技高考_化學工程技師:化工熱力學#72934
107年 · #72934
106年 - 106 專技高考_化學工程技師:化工熱力學#66577
106年 · #66577